首页 > 器件类别 > 嵌入式处理器和控制器 > 微控制器和处理器
 PDF数据手册

ML63189B-XXX

描述:
Microcontroller, 4-Bit, MROM, 2MHz, CMOS, 4.238 X 4.914 MM, DIE-111
分类:
文件大小:
302KB,共36页
制造商:
概述
Microcontroller, 4-Bit, MROM, 2MHz, CMOS, 4.238 X 4.914 MM, DIE-111
器件参数
参数名称
属性值
厂商名称
LAPIS Semiconductor Co Ltd
零件包装代码
DIE
包装说明
DIE,
针数
111
Reach Compliance Code
unknow
具有ADC
NO
地址总线宽度
位大小
4
最大时钟频率
2 MHz
DAC 通道
NO
DMA 通道
NO
外部数据总线宽度
JESD-30 代码
R-XUUC-N111
I/O 线路数量
20
端子数量
111
最高工作温度
70 °C
最低工作温度
-20 °C
PWM 通道
NO
封装主体材料
UNSPECIFIED
封装代码
DIE
封装形状
RECTANGULAR
封装形式
UNCASED CHIP
认证状态
Not Qualified
ROM可编程性
MROM
速度
2 MHz
最大供电电压
5.5 V
最小供电电压
1.8 V
标称供电电压
3 V
表面贴装
YES
技术
CMOS
温度等级
COMMERCIAL
端子形式
NO LEAD
端子位置
UPPER
uPs/uCs/外围集成电路类型
MICROCONTROLLER
文档解析

设计基于ML63187/63189B微控制器的系统时,需要特别注意以下几个常见的电气问题:

  1. 电源电压:确保电源电压在微控制器的工作电压范围内。对于使用电源备份的情况,VDDI应为1.8至5.5V;如果不使用备份,则VDDI应为0.9至5.5V。

  2. 时钟振荡:选择适当的时钟振荡源,低频时钟可以选择晶体振荡或RC振荡,高频时钟可以选择陶瓷振荡或RC振荡。注意,如果选择晶体振荡,需要在XT0和XT1之间连接晶体,并在XT0和VSS之间连接适当的电容。

  3. 输入/输出端口配置:I/O端口可以配置为不同的输入/输出模式,包括上拉/下拉电阻输入、高阻态输入、P沟道开漏输出、N沟道开漏输出、CMOS输出等。确保根据应用需求正确配置。

  4. LCD驱动:微控制器内置了1024点矩阵LCD驱动,需要根据LCD显示的需求配置LCD驱动的段和公共线,并注意调整对比度。

  5. 复位和测试引脚:复位引脚(RESET)需要正确连接,以确保系统能够正常复位。测试引脚(TST1和TST2)用于生产测试,用户不能使用这些引脚。

  6. 电源备份:如果设计中需要电源备份功能,需要连接电压倍增器电路,并在CB1和CB2之间连接适当的电容。

  7. 电磁兼容性(EMC):设计时要考虑电磁干扰问题,确保系统符合EMC标准,可能需要在电源线和信号线上添加适当的滤波和去耦电容。

  8. 热设计:微控制器在工作时会产生热量,需要考虑散热问题,确保系统在规定的工作温度范围内运行。

  9. 外部接口:如果微控制器需要与外部设备通信,如传感器、执行器等,需要确保接口电路设计正确,包括电平转换、信号隔离等。

  10. 软件编程:微控制器的编程也很重要,需要确保程序能够正确地初始化硬件,处理中断,以及管理不同的任务。

  11. 电气特性:参考电气特性表,了解输入电流、输出电流、输入电压等参数,确保设计时不会超过这些参数的最大值。

在设计过程中,应仔细阅读和理解微控制器的数据手册,遵循推荐的操作条件和电气特性,以避免潜在的电气问题。

文档预览
E2E0053-59-71
¡ Semiconductor
ML63187/63189B
¡ Semiconductor
This version: Jul. 1999
ML63187/63189B
Previous version: Mar. 1999
4-Bit Microcontroller with Built-in 1024-Dot Matrix LCD Drivers and Melody Circuit,
Operating at 0.9 V (Min.)
GENERAL DESCRIPTION
The ML63187/63189B is a CMOS 4-bit microcontroller with built-in 1024-dot matrix LCD drivers
and operates at 0.9 V (min.). The ML63187/63189B is suitable for applications such as games,
toys, watches, etc. which are provided with an LCD display.
The ML63187/63189B is an M6318x series mask ROM-version product of OLMS-63K family,
which employs Oki's original CPU core nX-4/250.
FEATURES
• Rich instruction set
408 instructions
Transfer, rotate, increment/decrement, arithmetic operations, comparison, logic operations,
mask operations, bit operations, ROM table reference, stack operations, flag operations,
branch, conditional branch, call/return, control.
• Rich selection of addressing modes
Indirect addressing of four data memory types, with current bank register, extra bank
register, HL register and XY register.
Data memory bank internal direct addressing mode.
• Processing speed
Two clocks per machine cycle, with most instructions executed in one machine cycle.
Minimum instruction execution time : 61
ms
(@ 32.768 kHz system clock)
1
ms
(@ 2 MHz system clock)
• Clock generation circuit
Low-speed clock
High-speed clock
: Crystal oscillation or RC oscillation selected with
mask option (30 to 80 kHz)
: Ceramic oscillation or RC oscillation selected with
software (2 MHz max.)
• Program memory space
• ML63187 : 16K words
• ML63189B : 32K words
Basic instruction length is 16 bits/1 word
• Data memory space
• ML63187 : 1024 nibbles
• ML63189B : 1536 nibbles
1/35
¡ Semiconductor
• Stack level
Call stack level
Register stack level
ML63187/63189B
: 16 levels
: 16 levels
• I/O ports
Input ports: Selectable as input with pull-up resistor/input with pull-down resistor/high-
impedance input
Input-output ports: Selectable as input with pull-up resistor/input with pull-down resistor/
high-impedance input
Selectable as P-channel open drain output/N-channel open drain
output/CMOS output/high-impedance output
Can be interfaced with external peripherals that use a different power supply than this device
uses.
Number of ports:
ML63187
Input-output port
: 2 ports
¥
4 bits
ML63189B
Input port
: 1 port
¥
4 bits
Input-output port
: 4 ports
¥
4 bits
• Melody output
Melody frequency
Tone length
Tempo
Melody data
Buzzer driver signal output
:
:
:
:
:
529 to 2979 Hz
63 types
15 types
Resides in the program memory
4 kHz
• LCD driver
Number of segments
: 1024 Max. (64 SEG
¥
16 COM)
1/1 to 1/16 duty
1/4 or 1/5 bias (regulator built-in)
Selectable as all-ON mode/all-OFF mode/power down mode/normal display mode
Adjustable contrast
• Reset function
Reset through RESET pin
Power-on reset
Reset by low-speed oscillation halt
• Battery check
Low-voltage supply check
The value of the judgment voltage is selected by the software by setting the LD1 and LD0 bits
of BLDCON.
LD1
0
0
1
1
LD0
0
1
0
1
Judgment Voltage (V)
1.05 ±0.10
1.20 ±0.10
1.80 ±0.10
2.40 ±0.10
Remarks
Ta = 25°C
Ta = 25°C
Ta = 25°C
Ta = 25°C
2/35
¡ Semiconductor
ML63187/63189B
• Power supply backup
Backup circuit (voltage multiplier) enables operation at 0.9 V minimum
• Timers and counter
8-bit timer
¥
4
Selectable as auto-reload mode/capture mode/clock frequency measurement mode
Watchdog timer
¥
1
100 Hz timer
¥
1
Measurable in steps of 1/100 sec.
15-bit time base counter
¥
1
1, 2, 4, 8, 16, 32, 64, and 128 Hz signals can be read
• Shift register
Shift clock
Data length
• Interrupt sources
ML63187
External interrupt
Internal interrupt
ML63189B
External interrupt
Internal interrupt
: 1
¥
or 1/2
¥
system clock, timer 1 overflow,
external clock
: 8 bits
: 2
: 12 (watchdog timer interrupt is a nonmask-
able interrupt)
: 3
: 12 (watchdog timer interrupt is a nonmask-
able interrupt)
• Operating temperature
–20 to +70°C
• Operating voltage
When backup used
When backup not used
: 0.9 to 2.7 V
(Operating frequency: 30 to 80 kHz)
1.2 to 2.7 V
(Operating frequency: 300 to 500 kHz)
1.5 to 2.7 V
(Operating frequency: 200 kHz to 1 MHz)
: 1.8 to 5.5 V
(Operating frequency: 200 kHz to 2 MHz)
• Package:
128-pin plastic QFP (QFP128-P-1420-0.50-K) : (Product name: ML63187-xxxGA,
ML63189B-xxxGA)
Chip
: ML63187-xxx, ML63189B-xxx
xxx indicates a code number.
3/35
¡ Semiconductor
ML63187/63189B
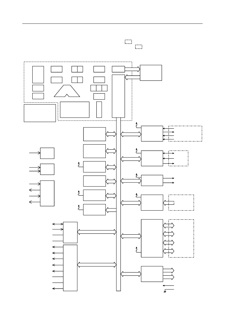
BLOCK DIAGRAM (ML63187)
An asterisk (*) indicates the port secondary function.
indicates that the power is supplied
to the circuits corresponding to the signal names inside
from V
DDI
(power supply for
interface).
nX-4/250
CBR
H
L
RA
PC
TIMING
CON-
TROL
ROM
16KW
EBR
SP
RSP
X
Y
C
A
G
MIE
Z
BUS
CON-
TROL
ALU
STACK
CAL : 16-level
REG : 16-level
INSTRUCTION
DECODER
IR
INT
4
RAM
1024N
TIMER
8bit
¥
4
TM0CAP/TM1CAP*
TM0OVF/TM1OVF*
T02CK*
T13CK*
RESET
RST
INT
INT187
INT
1
TBC
SFT
SCLK*
SIN*
SOUT*
BLD
DATA BUS
4
TST1
TST2
TST
XT0
XT1
OSC0
OSC1
INT
1
OSC
INT
1
100HzTC
INT
1
MELODY
MD
MDB
WDT
V
DDH
V
DD
CB1
CB2
V
DD1
V
DD2
V
DD3
V
DD4
V
DD5
C1
C2
V
DDL
V
DDI
V
SS
BIAS
LCD
&
DSPR
COM1-16
SEG0-63
BACK
UP
INT
2
I/O
PORT
PB.0-PB.3
PE.0-PE.3
4/35
¡ Semiconductor
ML63187/63189B
BLOCK DIAGRAM (ML63189B)
An asterisk (*) indicates the port secondary function.
indicates that the power is supplied
to the circuits corresponding to the signal names inside
from V
DDI
(power supply for
interface).
nX-4/250
CBR
H
L
RA
PC
TIMING
CON-
TROL
ROM
32KW
EBR
SP
RSP
X
Y
C
A
G
MIE
Z
BUS
CON-
TROL
ALU
STACK
CAL : 16-level
REG : 16-level
INSTRUCTION
DECODER
IR
INT
4
RAM
1536N
TIMER
8bit
¥
4
TM0CAP/TM1CAP*
TM0OVF/TM1OVF*
T02CK*
T13CK*
INT
RESET
RST
INT
4
TST1
TST2
TST
TBC
INT
1
MELODY
INT189
1
SFT
SCLK*
SIN*
SOUT*
DATA BUS
MD
MDB
BLD
XT0
XT1
OSC
OSC0
OSC1
INT
1
INT
1
WDT
100HzTC
INT
1
INPUT
PORT
P0.0-P0.3
V
DDH
V
DD
CB1
CB2
V
DD1
V
DD2
V
DD3
V
DD4
V
DD5
C1
C2
V
DDL
BIAS
LCD
&
DSPR
INT
2
BACK
UP
P9.0-P9.3
I/O
PORT
PA.0-PA.3
PB.0-PB.3
PE.0-PE.3
COM1-16
SEG0-63
V
DDI
V
SS
5/35
参数对比
与ML63189B-XXX相近的元器件有:。描述及对比如下:
型号 ML63189B-XXX
描述 Microcontroller, 4-Bit, MROM, 2MHz, CMOS, 4.238 X 4.914 MM, DIE-111
厂商名称 LAPIS Semiconductor Co Ltd
零件包装代码 DIE
包装说明 DIE,
针数 111
Reach Compliance Code unknow
具有ADC NO
位大小 4
最大时钟频率 2 MHz
DAC 通道 NO
DMA 通道 NO
JESD-30 代码 R-XUUC-N111
I/O 线路数量 20
端子数量 111
最高工作温度 70 °C
最低工作温度 -20 °C
PWM 通道 NO
封装主体材料 UNSPECIFIED
封装代码 DIE
封装形状 RECTANGULAR
封装形式 UNCASED CHIP
认证状态 Not Qualified
ROM可编程性 MROM
速度 2 MHz
最大供电电压 5.5 V
最小供电电压 1.8 V
标称供电电压 3 V
表面贴装 YES
技术 CMOS
温度等级 COMMERCIAL
端子形式 NO LEAD
端子位置 UPPER
uPs/uCs/外围集成电路类型 MICROCONTROLLER
【瑞米派】交叉编译环境单独编译内核,更新内核后,reboot,卡死在start kerneling...
想把瑞米派配置成一个通用的摄像头设备被,能电脑成功识别成摄像头设备 问题:把编译好的kernel...
abbsuner 工业自动化与控制
普源DS1102Z-E双通道示波器全拆解,看一看里面使用了哪些芯片
今天拆解一下我去年买的普源DS1102Z-E示波器,双通道,100Mhz带宽,1G采样率。 当...
Wendydeee 以拆会友
【STM32H5 NUCLEO H533RE测评】07 Labview上位机控制LED亮灭
本帖最后由 Maker_kun 于 2024-8-18 17:40 编辑 上位机程序设计:...
Maker_kun stm32/stm8
《嵌入式软件的时间分析》书友问答接龙 第八集:软件运行时间优化
读到了这里,小伙伴们是不是已经get如何优化软件运行时间? 《嵌入式软件的时间分析》的书友们...
nmg 汽车电子
《机器学习算法与实现》8、目标检测
一、说明 本次来学习目标检测的相关内容,上一篇学习的是神经网络,这一篇直接就是目标检测,中间跨度...
xinmeng_wit 嵌入式系统
「星闪体验教程」1、如何添加自己的应用工程
前言 我也是第一次接触海思这种SDK,并不熟悉对应的构建系统,只是照着其他例子的配置,借鉴一下小...
walker2048 无线连接
热门器件
热门资源推荐
器件捷径:
L0 L1 L2 L3 L4 L5 L6 L7 L8 L9 LA LB LC LD LE LF LG LH LI LJ LK LL LM LN LO LP LQ LR LS LT LU LV LW LX LY LZ M0 M1 M2 M3 M4 M5 M6 M7 M8 M9 MA MB MC MD ME MF MG MH MI MJ MK ML MM MN MO MP MQ MR MS MT MU MV MW MX MY MZ N0 N1 N2 N3 N4 N5 N6 N7 N8 NA NB NC ND NE NF NG NH NI NJ NK NL NM NN NO NP NQ NR NS NT NU NV NX NZ O0 O1 O2 O3 OA OB OC OD OE OF OG OH OI OJ OK OL OM ON OP OQ OR OS OT OV OX OY OZ P0 P1 P2 P3 P4 P5 P6 P7 P8 P9 PA PB PC PD PE PF PG PH PI PJ PK PL PM PN PO PP PQ PR PS PT PU PV PW PX PY PZ Q1 Q2 Q3 Q4 Q5 Q6 Q8 Q9 QA QB QC QE QF QG QH QK QL QM QP QR QS QT QV QW QX QY R0 R1 R2 R3 R4 R5 R6 R7 R8 R9 RA RB RC RD RE RF RG RH RI RJ RK RL RM RN RO RP RQ RR RS RT RU RV RW RX RY RZ
索引文件:
40  2791  2871  2411  1538  1  57  58  49  31 
需要登录后才可以下载。
登录取消
下载 PDF 文件