历史上的今天
今天是:2025年02月13日(星期四)
2019年02月13日 | 电阻的选择将决定差分放大器的共模抑制比
2019-02-13 来源:电子创新网
在各种应用领域,采用模拟技术时都需要使用差分放大器电路。例如测量技术,根据其应用的不同,可能需要极高的测量精度。为了达到这一精度,尽可能减少典型误差源(例如失调和增益误差,以及噪声、容差和漂移)至关重要。为此,需要使用高精度运算放大器。放大器电路的外部元件选择也同等重要,尤其是电阻,它们应该具有匹配的比值,而不能任意选择。

图 1. 传统的差分放大器电路。
理想情况下,差分放大器电路中的电阻应仔细选择,其比值应相同 (R2/R1 = R4/R3)。这些比值有任何偏差都将导致不良的共模误差。差分放大器抑制这种共模误差的能力以共模抑制比(CMRR) 来表示。它表示输出电压如何随相同的输入电压(共模电压)而变化。
在最佳情况下,输出电压不应该改变,因为它只取决于两个输入电压之间的差值(最大 CMRR);但是,实际使用中情况会有所不同。CMRR 是差分放大器电路的重要特性,通常以 dB 来表示。
对于图 1 所示的差分放大器电路,CMRR 取决于放大器本身以及外部连接的电阻。对于后者,取决于电阻的 CMRR 在本文下述部分以下标"R"表示,并利用下式计算:

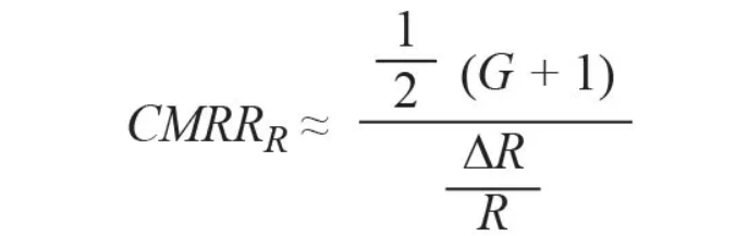
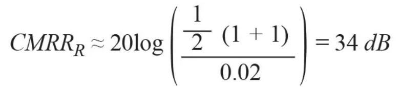
例如,在放大器电路中,所需增益 G = 1 且使用容差为 1%、匹配精度为 2% 的电阻产生的共模抑制比为

or in dB

在 34 dB时,CMRRR 相对较低。在这种情况下,即使放大器具有非常好的 CMRR,也无法实现高精度,因为链路的精度总是取决于其精度最差的环节。因此,对于精密的测量电路而言,必须非常精确地选择电阻。
实际使用中传统电阻的阻值并不恒定。它们会受机械负载和温度的影响。根据需求的不同,可以使用具有不同容差的电阻或匹配电阻对(或网络),其大部分使用薄膜技术制造并具有精确的比值稳定性。利用这些匹配的电阻网络(如LT5400 四通道匹配电阻网络),可以大幅提高放大器电路的整体 CMRR。LT5400 电阻网络在整个温度范围内具有出色的匹配性,结合差分放大器电路使用则匹配性更佳,因而可确保 CMRR 比分立电阻提高两倍。

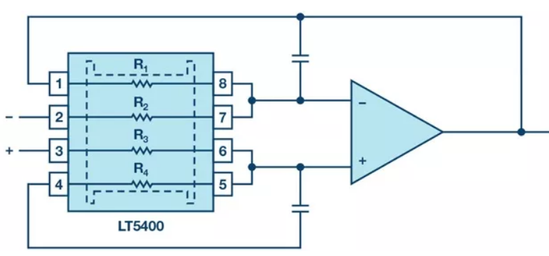
图 2. 带有 LT5400 的差分放大器电路。
LT5400 提供 0.005% 的匹配精度,从而使 CMRRR 达到 86 dB。
然而,放大器电路的总共模抑制比 (CMRRTotal) 由电阻 CMRR 和运算放大器共模抑制比 CMRROP 的组合构成。对于差分放大器,可利用公式 3 计算:

例如, LT1468提供的 CMRROP 典型值为 112 dB,采用 LT5400 的增益为 G = 1,其 CMRRTotal 的值为 85.6 dB。
或者,可以使用集成式差分放大器,如LTC6363。这种放大器在单芯片中内置放大器和最佳匹配电阻。它几乎消除了上述所有问题,同样也可提供最大精度,其 CMRR 值达 90 dB 以上。

结论:在设计中必须根据差分放大器电路的精度要求仔细选择外部电阻电路,以便实现系统的高性能。或者,可以使用集成式差分放大器,如在单芯片中集成了匹配电阻的 LTC6363。
如何通过精确匹配的电阻网络提高差分放大器的共模抑制比,你get到了么?
史海拾趣
|
本帖最后由 paulhyde 于 2014-9-15 03:32 编辑 一本电子设计竞赛赛题解析,希望各位好运~~~ 打开这本电子书需要用到超新星图书浏览器,也放在附件中了 下载地址:http://www.ssreader.com/download/download.html [ 本帖最后由 open82977352 于 ...… 查看全部问答> |
|
求助:保定飞凌OK2440-III开发板,启动wince时,无法进入系统,始终停止在启动画面。 开发板:ok2440-III 问题:启动wince时,无法进入系统,始终停留在启动画面。指示灯LED0亮。(注:可启动Linux操作系统,但无法使用触屏功能。) DNW启动时内容如下: +------------------------------------------------------------+ | ...… 查看全部问答> |
|
我们的CE产品要求显示是potrait mode。为了降低成本,我们用的是landscape形式的LCD。然后在注册表中旋转90度。这样,显示就成了标准的portrait mode。大部分对话框的显示也是正常的,但是只有程序安装界面还是landscape mode的宽度和高度。所以, ...… 查看全部问答> |
|
1.为什么仿真时总出现脉冲?那就是竞争冒险吗?可是实验给出的图形是很完美的响应啊,我的却总是激励过后一段时间才有响应的波形 答:数据的过渡状态,可以认为是冒险竞争,不是所有的情况都是这样的2.在引脚分配时同样的字母大小写不一致 ...… 查看全部问答> |
|
我想用一个定时器:实现定时一个时间,以s为单位,在这段时间里计数外部光电倍增管电子脉冲数,请问问能否实现呀? 可能一个定时器实现不了,那有没有门控计数器,可以用外部光电倍增管做计数脉冲,再找另一个管脚做触发(计数时间控制),ST ...… 查看全部问答> |




