历史上的今天
今天是:2025年03月20日(星期四)
2019年03月20日 | 技术文章—电流检测技术综述
2019-03-20
摘要:现如今,电流检测的技术在工业发展的推动下日臻完善。然而并不是传统的方案就不可取,在不同的应用环境下还是有一席用武之地。电流检测之后通常被用来执行测量“多大”电流和当电流“过大”时动作判断的两个基本功能。
1、欧姆定律
(1) 分流电阻

这种拓扑结构,都存在一定的风险性,低端检测电路易对地线造成干扰;高端检测,电阻与运放的选择要求高。
检测电阻是最简单的电流测量方法,既可用于测量交流电流也可用于测量直流电流。用该方法进行电流测量的最大弊端是向待测回路中接入了电阻,造成了电能消耗(I^2*R)。
优 | 成本低、精度较高、体积小 |
劣 | 温漂较大,精密电阻的选择较难,无隔离效果 |
(2)TRACE电阻
由欧姆定律表明,导电体两端的电压与通过导电体的电流成正比。而对于电阻物质,该定律可以衍生为:J=σ(E + v × B)。
式中J是电流密度,E是电场强度,v是电荷流动速度,B是作用在电荷上的磁通量密度,σ为材料的导电性。此时上式又能简化为:J=σE
这方式采用电路中导体的自身的 TRACE电阻代替分流电阻测量电流也是一种可选择的电流测量方法。
优 | 不引入额外的电阻,不产生额外的电能损失 |
劣 | 产生的电压信号非常小 |
如果使用TRACE电阻,则需要高增益放大器来放大电压信号,但放大器的带宽性能一直未能突破的瓶颈。
众多的专家学者针对TRACE电阻的电流测试性能进行了大量研究,结果表明:金属铜具有典型的热漂移性,因此该测量方式在高精度的应用环境下并不适合。
(3)电感直流电阻
电感直流电阻测量电路属于一种无损采样电路。该电路在采样前需要对其进行精准的调试;目前只适用于对电流进行粗略测量。通常用在开关电源无损电流测量和低压(小于 1.5V )电流测量场合。

图 1 电感测量原理图
2、法拉第电磁感应定律
电磁感应现象是指因磁通量变化产生感应电动势的现象,例如,闭合电路的一部分导体在磁场里做切割磁感线的运动时,导体中就会产生电流(感应电流)。
(1)罗氏线圈
Rogowski Coil是一种可以直接套在被测量的导体上来测量交流电流的线圈。其实也就是一种特殊类型的互感器,通常用来测量交流高电压和瞬时电流。
任何封闭电路中感应电动势的大小,等于穿过这一电路磁通量的变化率,可表示为:

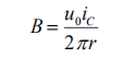
由安培环路定则,进而能得到罗氏线圈中的磁通量密度与待测电流之间的关系:

B 是磁通量密度, r是罗氏环的半径,u0是磁常数,ic是待测电流。

图 2 无磁芯罗氏线圈原理图
由于罗氏线圈的内部没有铁磁材料,线圈不能被驱动到饱和,因而是一种线性器件。
Rogowski线圈不仅能校准较低的电流,并且能在电流非常高的情况下使用。这也进一步降低了操作的难度和校准高电流的成本。
不过,该方式也有缺点:待测电流不在线圈中心时,以上原理依旧能够正常工作,只是会产生一定的误差。

图 3 测量误差与待测电流位置的关系
(2)变压器测量
相对于罗氏线圈,电流变压器测量最大的优势是输出端电压与待测电流成正比例关系;同时待测量线圈的位置变化对测量精度的影响得到了抑制。测量的输出信号可以无需放大器放大而直接使用模数变换器采样。
3、磁效应
磁传感器是把磁场、电流、应力应变、温度、光等外界因素引起敏感元件磁性能变化转换成电信号,以这种方式来检测相应物理量的器件。
其被广泛用于现代工业和电子产品中以感应磁场强度来测量电流、位置、方向等物理参数。在现有技术中,有许多不同类型的传感器用于测量磁场和其他参数。
(1)霍尔电流传感器
霍尔效应(Hall effect)是指当固体导体(或者半导体)放置在一个磁场内,且有电流通过时,导体内的电荷载子受到洛伦兹力而偏向一边,继而产生电压(霍尔电压)的现象。
式中nq为电荷密度,d为导体的厚度。
![]()
Hall器件是一种采用半导体材料制成的磁电转换器件。如果在输入端通入控制电流,当有一磁场B穿过该器件感磁面,则在输出端出现霍尔电势。
通过测量霍尔电势的大小间接测量载流导体电流的大小。因此,电流传感器经过了电-磁-电的绝缘隔离转换。

图 4 霍尔电流传感器基本原理图
(3)磁通门电流传感器
磁通门电流传感器具有超高的测量精度和良好的温度稳定性。但是其容易受到激励源带来的外界磁场的干扰。Guillermo等人采用激励绕组差分的形式,从而减小激励源带来的外界磁场的干扰。由于变压器效应,高频激励源会耦合到反馈绕组中对传感器产生噪声干扰。为了降低内外部磁场造成的干扰,传感器可以使用额外的磁芯和额外的线圈。

图 5 磁通门传感器基本原理
基本磁通门传感器,信号线圈在 P 端输出的电压信号如下:
(4)巨磁阻传感器
基于巨磁阻效应的传感器其感应材料主要有三层:即参考层(Reference Layer或Pinned Layer),普通层(Normal Layer)和自由层(Free Layer)。
GMR传感器基于巨磁电阻效应,即在外磁场的作用下传感器电阻会发生的变化。当磁场正向为零时,磁阻材料的电阻最大;在磁场正向或负向增大时,磁阻材料的电阻都减小。
从巨磁电阻GMR被发现以来,各应用已处于开发及实用化阶段,其首先在硬盘磁头上成功实现商品化,除直接测量磁场外,在电流、位移、线速度和加速度等物理量的测量也得到应用。

图 6 巨磁阻传感器结构
巨磁阻电流传感器具有广阔的应用前景。其与传统电磁式电流互感器相比,能够测量直流到高频(MHz量级)的电流信号,尤其是它能够测量直流电流,这对于直流输电系统中换流站中直流的监测极为有利。
四、结语
不同方式的测量性能各有优缺点,除了电流变压器和罗氏线圈无法直接测量直流电流之外,其他测量方法都能够测量直流电流;Trace 电阻和电感电阻测量电流的方法并未在测量电路直接接入分流电阻,因此对待测量电路的影响相对较小;磁通门是目前测量精度最高的测量技术,且提供电气隔离和低能量损失等一些优点。
史海拾趣
|
VisualAudio设计和开发环境是设计和开发音频系统的新软件,它的实时架构特别适合音频产品的开发.本文简短介绍VisualAudio,然后描述它的构架,音频模块和在音频产品上的应用… 查看全部问答> |
|
PXA270核心板方案: CPU:PXA270 SDRAM:128M FLASH:32M 接口:USB、SDCARD、SERIAL等 LCD+TOUCH:3.5‘ 支持WIFI 方案可提供:SCH + PCB + BOOM + WINCE ...… 查看全部问答> |
|
CoCreateInstance返回:没有注册类别(wince6.0 emulator sdk 中使用msxml) 大家好!我想在Wince的模拟器上使用msxml发送xml文件,代码如下: MSXML2::IXMLHTTPRequest* pIXMLHTTPRequest = NULL; CoInitialize(NULL); HRESULT hr; hr = CoCreateInstance (__uuidof(MSXML2::XMLHTTPRequest), NU ...… 查看全部问答> |
|
我想问下,驱动什么的都弄好了,板上只有一个usb口,我外接了一个四口的USB HUB,接四个摄像头 再在dev文件夹中新建设备文件video0,video1,video2,video3,这四个摄像头能否同时使用啊 我现在只能做到四个来回的切换,想实现一个窗口中同时显示四 ...… 查看全部问答> |
|
请问:拉丁文(西班牙语)是否支持7bit编码方式? 在给客户做一个短信终端,客户要求已7bit编码方式实现拉丁文的短信内容 多谢!… 查看全部问答> |
|
徐家骏:从应届毕业生到年薪千万2009-03-02 14:48从一个应届毕业生,到年薪千万的华为副总裁,再到离开华为转战百度,徐家骏(博客)的十年从业经历和经验对于今年的应届毕业生来说绝对可资借 鉴,我们从中也可以一窥华为公司的运作过程和徐的职 ...… 查看全部问答> |




