历史上的今天
今天是:2024年12月06日(星期五)
2019年12月06日 | 带故障注入功能的高精度旋转变压器仿真系统
2019-12-06 来源:EEWORLD
简介
由于旋转变压器能够在严苛和恶劣的环境中长期保持出色的可靠性和高精度性能,因此被广泛用在EV、HEV、EPS、变频器、伺服、铁路、高铁、航空航天,以及其他需要获取位置和速度信息的应用。
在上面的系统中,很多旋转变压器转换芯片(RDC),例如ADI公司的AD2S1210和AD2S1205用来获取数字位置和速度数据。客户的系统会出现干扰和故障问题,很多时候,他们都想评估角度和速度在受干扰条件下的精度性能,找出和验证引发问题的根本原因,然后修复和优化系统。带故障注入功能的高精度旋转变压器仿真系统(模拟连接到以恒速运行或位置固定的真实电机的旋转变压器)可以解决干扰和故障问题,而无需搭建复杂的电机控制系统。
本文将首先分析旋转变压器仿真系统中的误差贡献,并给出一些误差计算示例,帮助您了解为何高精度对于旋转变压器仿真器如此重要。然后展示现场应用干扰条件下的故障示例。接下来,介绍如何使用最新的高精度产品,构建具有故障仿真和注入功能的高精度旋转变压器仿真器。最后,将展示旋转变压器仿真器能实现的功能。
旋转变压器仿真系统中的误差贡献
首先,本节将介绍理想的旋转变压器结构。然后,将给出五个常见的非理想特性和误差分析方法,帮助您理解为什么旋转变压器仿真器系统需要高精度。
如图1所示,旋转变压器仿真器将模拟连接到以恒速运行或位置固定的真实电机的旋转变压器。经典款或可变磁阻旋转变压器包含转子和定子。可以将旋转变压器视为一种特殊的变压器。在初级侧,如方程式1所示,EXC表示正弦激励输入信号。在次级侧,如方程式2和方程式3所示,SIN和COS表示两个输出端的调制的正余弦信号。

其中:
θ是轴角,ω是激励信号频率,A0是激励信号幅度,T是旋转变压器变比。
调制的SIN/COS信号如图2所示。对于不同象限中的恒定角θ,SIN/COS信号会出现同相和反相情况。对于恒速,SIN/COS包络的频率是恒定的,指示速度信息。

图1.旋转变压器结构

图2.旋转变压器电气信号
对于ADI的所有RDC产品,解调信号如方程式4表示。当φ(输出数字角度)等于旋转变压器的角度θ(转子的位置)时,Type II跟踪环路完成。在真实旋转变压器系统中,幅度失配、相移、不完全正交、谐波激励和感应谐波这五种非理想情况都有可能发生,导致出现误差。
![]()
幅度失配
幅度失配是SIN和COS信号达到峰值幅度(COS为0°和180°,SIN为90°和270°)时,它们的峰峰值幅度之差。旋转变压器绕组的差异或者SIN/COS信号的不平衡增益控制都可能导致失配。为了确定幅度失配引起的位置误差,可以将方程式3更改为方程式5。
![]()
其中a表示SIN和COS信号之间的失配量,解调之后余下的包络信号则可以如方程式6所示轻松显示。通过将方程式6设置为等于0来促使Type II跟踪环路中的包络信号归0时,可以发现位置误差ε = θ – φ。然后我们可以得到误差信息,如方程式7所示。

在真实情况中,如果a很小,位置误差也很小,意味着sin(ε) ≈ ε,θ + φ ≈ 2θ。所以,方程式7变成方程式8,误差项用弧度表示。
![]()
如方程式8所示,误差项按两倍转动速度起伏,最大误差a/2在45°的奇整数倍时达到。假设幅度失配为0.3%,代入方程式8中的变量,并使用45°的奇整数倍,最大误差将在方程式9中表示,其中m是一个奇整数。
![]()
当RDC模式为12位时,可以通过方程式10将按弧度计算的误差转化为LSB,约为1LSB。
![]()
相移
相移包含差模相移和共模相移。差模相移是旋转变压器的SIN和COS信号之间的相移。共模相移是激励参考信号与SIN和COS信号之间的相移。为了确定差模相移引起的位置误差,可以将方程式3更改为方程式11。
![]()
其中a表示差模相移,当正交项cos(wt)(sin(a)sin(θ)cos(φ))被忽略时,解调之后余下的包络信号可以使用方程式12表示。在真实情况下,当a很小时,cos(a) ≈ 1 – a2/2。通过将方程式10设置为等于0来促使Type II跟踪环路中的包络信号归0时,可以发现由此导致的位置误差ε = θ – φ。然后我们可以获得误差信息,如方程式13所示。

θ ≈ φ时,在θ ≈ 45°时,sin(θ)cos(φ)的最大值为0.5。所以,方程式13变成方程式14,误差项用弧度表示。
![]()
假设差模相移为4.44°,当RDC模式为12位时,可以使用方程式15转化为LSB的误差值约为1 LSB。

当共模相移为β时,可以将方程式2和3分别改写为方程式16和17。
![]()
同样,误差项可以用方程式18表示。
![]()
在静态工作条件下,共模相移不会影响转换器的精度,但由于转子阻抗和目标信号的无功分量,运动中的旋转变压器会产生速度电压。速度电压位于目标信号象限内,它仅在运动时产生,在静态角度下并不存在。当共模相移为β时,跟踪误差几乎可以用方程式19表示,其中ωM是电机速度,ωE是激励速度。
![]()
如方程式19所示,误差与旋转变压器的速度和相移成正比。因此,一般而言,使用高旋转变压器激励频率大有裨益。
不完全正交
不完全正交表示在这种情况下SIN/COS所指的两个旋转变压器信号并不是准确的90°正交。当两个旋转变压器相位并不是以完全空间正交的方式加工或装配时,就会发生这种情况。当β表示不完全正交的量时,可以将方程式2和3分别改写为方程式20和21。
![]()
和之前一样,解调之后余下的包络信号可以如方程式22所示轻松显示。当您将方程式22的值设置为0,假设β很小,cos(β) ≈ 1,sin(β) ≈ β时,可以发现有此导致的位置误差ε = θ – φ。然后我们可以接收误差信息,如方程式23所示。
![]()
如方程式23所示,当β/2的最大误差达到45°的奇整数倍时,误差项按两倍转动速度起伏。与幅度失配引起的误差相比,在本例中,平均误差为非零,峰值误差等于正交误差。在幅度失配示例中,当β = 0.0003,弧度= 0.172°时,在12位模式下可能产生约1 LBS误差。
谐波激励
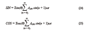
在前面的分析中,假设激励信号是一个理想的正弦信号,不包含附加谐波。在实际系统中,激励信号确实含有谐波。因此,方程式2和方程式3可以改写为方程式24和方程式25。

解调之后余下的包络信号可以如方程式26所示轻松显示。在Type II跟踪环路中促使此信号归零。
![]()
将方程式26设置为0,可以发现由此导致的位置误差ε = θ – φ。然后我们可以获得误差信息,如方程式27所示。

如果旋转变压器激励具有相同的谐波,则方程式27的分子为零,不产生位置误差。这意味着即使值非常大时,共激励谐波对RDC的影响也可以忽略不计。但是,如果SIN或COS中的谐波含量不同,所产生的位置误差与方程式8所示的幅度失配具有相同的函数形状。这会严重影响位置精度。
感应谐波
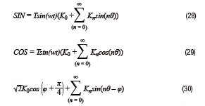
实际上,不可能建立一个电感曲线是位置的完美正弦和余弦函数的旋转变压器。正常情况下,电感中包含谐波,VR旋转变压器包含直流分量。因此,方程式2和方程式3可以分别改写为方程式28和方程式29,其中K0表示直流分量。

解调之后余下的包络信号可以如方程式30所示。
在Type II跟踪环路中,促使此信号归零,在谐波幅度较小,n > 1且Kn << 1时,可利用方程式31计算误差信息ε = θ – φ。

根据这个方程式,相比谐波效应,误差对直流项更为敏感,它与感应谐波幅度成正比。与此同时,第n个电感谐波决定了位置误差的第(n – 1)个谐波的幅度。
旋转变压器仿真器系统中的误差贡献总结
除了上述误差源外,耦合到SIN和COS线的干扰、放大器的失调误差、偏置误差等也会导致产生系统误差。旋转变压器仿真器系统的误差源和贡献总结如表1所示,其中包括12位模式1 LSB这个最差的示例。也可以参考该表,计算另一种RDC分辨率模式的值。
表1.旋转变压器仿真器系统中的误差源和贡献总结
误差源 | 错误表达 | 描述 | 1 LSB示例 |
幅度失配 |
| a = 幅度失配 | 0.003幅度失配会导致1 LSB误差 |
相移 |
| a = 差分相移 | 4.44°差分相移导致1 LSB误差 |
| β = 共模相移 | ||
不完全正交 |
| β = 相对于完全正交的角度偏差 | 0.172°非完全正交导致1 LSB误差 |
谐波激励 |
| Acn, Asn = 谐波幅度 | |
感应谐波 |
| K0 = 直流分量,Kn= 谐波幅度 |
RDC系统中的故障类型
在真实的RDC系统中,会出现大量故障情况。以下章节将显示现场测试期间出现的不同故障类型和一些故障信号,以及如何使用第三节介绍的旋转变压器仿真器解决方案来模拟故障类型。除上述故障类型外,还可能存在随机干扰,导致出现另一故障,或者同时发生一些其他故障。
错接故障
错接是指通过不正确的连接将旋转变压器激励和SIN/COS对连接到RDC SIN/COS输入和激励输出引脚。错接发生时,RDC也可以解码角度和速度信息,但是角度输出数据会显示跳变,就像DAC输出中的偏置误差。请参考图3,查看错接案例和结果数据。其中,第一列显示EXC/SIN/COS引脚和输出角度,其余列显示错接情况。

图3.旋转变压器错接和角度输出
相移故障
从误差贡献章节,我们了解了相移包括差模相移和共模相移。鉴于差模相位可以被视为共模相移的差,所以,在本节中,相移故障是指由共模相移引起的故障。
请参考图4,查看共模相移误差贡献。相位1表示激励滤波器延迟。相位2表示旋转变压器相移。相位3表示线路延迟。相位4表示SIN/COS滤波器延迟。在现场RDC系统中,当相移误差发生时,意味着相位1、相位2、相位3和相位4的总值大于44°。正常情况下,旋转变压器相移误差为10°。非正常情况下,总相位误差可以达到30°。出于量产考虑,需要留下足够的相位裕度。
当SIN/COS的相移不同时,会引起相移失配故障。如果发生这种情况,角度和速度精度将会受到影响。

图4.相移误差贡献
断开故障
当旋转变压器的任何线路与RDC平台接口断开连接时,就会发生断开故障。随着产品的安全水平不断提高,线路断开检测一再受到客户关注。我们可以模拟这个故障,将SIN/COS设置为零电压。发生连接断开的情况时,可以在AD2S1210中触发LOS/DOS/LOT故障。
幅度失配/超限故障
当电路增益控制或SIN/COS的旋转变压器比值不同时,会发生幅度失配,这也意味着SIN/COS包络的幅度值不同。当幅度接近AVDD时,会触发幅度超限故障。对于AD2S1210,这被称为削波故障。请参考图5,查看不错的SIN/COS信号示例。

图5.理想的SIN/COS信号
IGBT干扰故障

图6.SIN/COS耦合IGBT干扰
IGBT干扰是指干扰信号与IGBT开关的开/关效应相耦合。当信号与SIN/COS线耦合时,位置和速度性能会受影响,角度值会发生跳变,速度方向可能变化。图6所示为一个现场示例,其中通道1是SIN信号,通道2是COS信号,毛刺表示干扰与IGBT开关耦合。
超速故障
当电角度的速度高于旋转变压器解码系统的速度时,就会发生超速故障。例如,在12位模式下,AD2S1210所能支持的最大速度为1250 SPS,当旋转变压器电角度的速度为1300 SPS时,就会触发超速故障。
旋转变压器仿真器系统架构和描述
从第一节,我们知道幅度和相位误差会直接决定解码角度和速度性能。幸运的是,ADI提供庞大的精密产品组合,您可以从中选择合适的产品来构建旋转变压器仿真器系统。下面的描述将展示如何构建高精度的旋转变压器仿真器,并讨论应选择哪些器件。
对于图7所示的仿真器框图,有7个模块需要注意:
1.用于数据分析和控制的过程控制平台。
2.同步时钟生成模块,为子系统生成同步时钟。
3.故障信号生成模块,生成不同的故障信号。
4.SIN/COS生成模块,生成经过调制的SIN/COS信号作为旋转变压器输出。
5.信号采集模块,作为激励和反馈信号采集模块。
6.SIN/COS输出模块,处理包含缓冲区、增益和滤波器的SIN/COS输出。
7.激励信号输入模块,自带缓冲和滤波电路。
8.电源模块,为ADC、DAC、开关、放大器等元器件提供电源。
旋转变压器仿真器系统工作时,让信号采集模块从输入模块采集激励信号样本,然后由处理器分析其频率和幅度。处理器使用CORDIC算法计算SIN/COS DAC输出数据代码,然后通过SIN/COS模块生成与激励输入相同频率的正弦信号。系统将同时采集激励和SIN/COS信号,计算并调整SIN/COS相位/幅度,补偿激励和SIN/COS之间的相位误差,使其等于零,然后将SIN/COS幅度校准到相同水平。最后,系统将生成经过调制的SIN/COS信号和故障信号,以模拟角度性能、速度和故障情况。

图7.旋转变压器仿真器框图
图8中所示的信号链显示了一个双16位sim SAR ADC AD7380,用于在OSR使能,SNR可以达到98 dB时采集激励和反馈信号。它非常适合同时进行高精度的相位和幅度校准数据采集。超低功耗、低失真的ADA4940-2被作为ADC驱动器。采用高精度、低噪声的20位DAC AD5791来生成SIN/COS信号和故障信号,从降低分辨率和成本方面考虑,可以使用AD5541A或AD5781来代替AD5791。高精度、可选增益差分放大器AD8475被用作输入/输出缓冲器。具有超低失调漂移和电压噪声放大功能的高精度轨对轨运算放大器AD8676和AD8599用于构建有源滤波器和加法电路。最大电阻0.8 Ω的单电源轨对轨双SPDTADG854用于开关和选择SIN/COS信号,然后发送至数据采集模块。

图8.旋转变压器仿真器信号链
整个旋转变压器仿真器系统通过外部的12 V适配器供电,该适配器使用直流-直流转换器和LDO稳压器,提供不同的电压电平。参考图9,查看详细的电源信号链。使用ADP5071可以产生正负16 V电压,但使用ADP7118和ADP7182可以生成更清晰、更稳定的正负15 V电压。这些电源主要用于为DAC相关电路供电。同样,可以使用ADP2300、ADP7118、ADM660和AD7182生成清晰稳定的+3.3 V、+5 V、-5 V和-2 V电源。这些电源主要用于为ADC相关电路供电,且满足详细的设计要求。

图9.电源信号链
旋转变压器仿真器平台测试和结果
参考图10,查看完整的系统平台测试。它包含一个旋转变压器仿真器板、一个AD2S1210评估板和一个GUI。请参见图11,查看GUI和平台测试图。AD2S1210 GUI用于直接评估旋转变压器仿真器的性能,尤其是角度和速度性能。通过旋转变压器仿真器GUI,可以配置速度、角度性能和故障信号。

图10.实验测试框图

图11.实验测试和GUI

图12.角度/速度INL
参考图12,查看已禁用迟滞模式的16位AD2S1210的角度和速度性能INL。
请参考表2,查看与标准旋转变压器仿真器器件相比,此解决方案的性能数据。使用AD5791得出的理论角度精度为0.0004°,在实际基准测试中,角度精度为0.006°,最大速度输出为3000 rps,速度精度为0.004 rps,很容易满足AD2S1210在10为至约16位模式下的要求。
参考表3,查看此仿真器支持的故障模式。对于与相位相关的故障,0°至大约360°的范围可以支持SIN/COS信号。对于与幅度相关的故障,0 V到大约5 V的范围可以支持SIN/COS信号。此解决方案还可以用于模拟超速、IGBT、连接断开等故障。
表2.性能比较
产品/参数 | North Atlantic 5330A | North Atlantic 5300A | 此解决方案 | 需要AD2S1210 |
激励频率 | 47 Hz至10 kHz | 360 Hz至20 kHz | 2 kHz至20 kHz | 2 kHz至20 kHz |
角精度 | 0.003° - ~0.015° | 0.00055556° - ~0.0167° | 12.2070 kHz载波时,优于0.006° | 0.0417°和1 LSB |
等级范围 | 高达277 rps | 高达278 rps | 高达3000 rps | 在8.19 MHz时钟时,高达2500 rps |
等级精度 | ±1% | 0.004 rps (<150 rps) | ±0.0305 rps (<125 rps) |
表3.故障模式和支持的范围
故障模式 | 相移 | 相移失配 | 幅度失配 | 幅度超限 | IGBT干扰 | 随机干扰 | 超速 | 连接断开 |
范围 | 0° - ~360° | 0° - ~360° | 0 V - ~5 V | 0 V - ~5 V | ✓ | ✓ | 0 rps - ~3000 rps | ✓ |

图13.IGBT干扰示例
参考图13,查看关于IGBT故障的测试示例。将仿真器输出配置为45°,然后在SIN/COS输出中添加周期性干扰信号。从AD2S1210评估板GUI显示的角度和速度性能可以看出,角度性能在45°左右波动,而速度则在0 rps左右波动。
结论
大多数RDC相关应用中都存在干扰,干扰严重时会触发多种类型的故障。当您构建自己的旋转变压器仿真器时,请遵循此解决方案,因为它不仅可以帮助您评估干扰条件下的系统性能,还可以像标准仿真器一样校准和验证您的产品。详细的误差分析可以帮助您理解为什么需要精确的模拟SIN/COS信号;可以模拟本文讨论的所有故障类型,以帮助进行一些功能安全验证。
史海拾趣
|
【急求】现金5000RMB急求pci转8串口TTL设计 要求: 制作一块pci板卡,可以在“设备管理器”里面扩展出8个串口,对应控制8路TTL电平收发设备。速率要求低。19200波特率。 目前市面上有很多公司生产pci转串口的多用户卡 ...… 查看全部问答> |
|
现需要在winxp下开发核心API库,实现usbkey的功能和一些算法,如DES,RSA的实现,提供给usbkey驱动调用。 现了解到:内核API应该是一种DLL,但工作在内核模式中,区别于用户模式的DLL,可以被驱动调用,如hal.dll(硬件抽象层) ...… 查看全部问答> |
|
如提: evc环境 串口通信, 同步。 方法:单片机中已经采集的48000直接的数据,存在一个rom中,上位机从中读取。 在release版本下,数据一般正确,有时候不正确 在debug版本下,数据一直不正确 代码执行过程: 先发送一个字符0x03,然后开始 ...… 查看全部问答> |
|
硬件:PXA310+sido8686:系统wince6.0wifi已经调试通过了,可以正常联网。现在整个终端去无委过认证。wifi需要测试传导杂散等参数,需要终端上有一个小软件配合测试。软件要求可以控制ch power rate等。有人做过这个认证吗?如果有做过同样认证的前 ...… 查看全部问答> |
|
由于原来的方案中的一棵IC没有买到,所以,辅助电源也一直没有做。 刚好在翻箱倒柜时看到了几只TOP223Y,所以想就用它做个辅助电源吧,这棵IC的历史有十多年了,相信大家都知道 [ 本帖最后由 dontium 于 2012-4-10 17:49 编辑 ...… 查看全部问答> |
|
发一些launchpad的boosterpack,都不是官方的扩展板,供大家来开拓下思路:1、实时时钟和EEPROM扩展板2、红外扩展板3、LED显示扩展板4、以太网扩展板(调试中的)5、LCD扩展板是不是特别多… 查看全部问答> |
|
【10款典型实验室电路推荐】之一:用于工业级信号的精密单电源差分ADC驱动器。它采用差分放大器AD8475 执行衰减、电平转换和差分转换,无需任何外部元件。其交流和直流性能兼容18位、1MSPSAD7982 PulSARADC以及该系列的其它16/18位产品,采样速率可 ...… 查看全部问答> |
|
用matlab(R2015b和R2014a版)自动生成DSP代码with ccs5/6 本帖最后由 平湖秋月 于 2016-1-11 00:06 编辑 给大家一个用新版matlab生成的F28027代码。这里给出最新版MATLAB 2015B(64BIT) & MATLAB 2014A(32位),无论盗版的MATLAB2015b,还是我申请的试用版32位MATLAB2015B这部分都有 问题,请各位注意。 ...… 查看全部问答> |




