历史上的今天
今天是:2025年03月31日(星期一)
2021年03月31日 | 如何使用手持式分析仪完成时域和故障点距离(DTF)测量
2021-03-31 来源:eefocus
引言
通信或雷达系统由器件和系统构成,要对这些器件和系统的功能进行测试并确定其是否合格,常常要求这些器件的电子性能要达到其工作频率范围内的某一规定性能。这些技术指标包括电压驻波比(VSWR)、回波损耗和插入损耗等。当被测器件(DUP)达到或未达到其作为频率函数的性能要求时,这些技术指标将提供一个明确区分。图 1a 所示为某个系统上的测得的 VSWR,在 8.5 至 12 GHz 的测得频率范围内, VSWR 在多个地方超出了技术指标。本例中使用的 Keysight FieldFox 矢量网络分析仪(VNA)使用了限制线配置,以帮助操作人员快速确定被测器件是通过还是未通过测试。
虽然频率测量能够提供系统是否正常工作的有用信息,但只有扫描频率无法提供足够信息来确定问题的根本原因。当系统无法达到技术指标时,进行故障诊断常常很困难,因为此时需要将器件插入或拔出系统直至性能再次达到规定要求。所幸的是,现在有另一种测量技术能够针对此类问题提供详细的位置和大小信息。该技术依赖于时域测量和矢量网络分析仪,例如 Keysight FieldFox,能够显示单端口或两端口元件和系统的时域特征。图 1b 所示为 VSWR 测量的时域转换,同时个别断点的位置显示为时间的函数。在本例中, 我们假设时域中的最大峰值与造成系统超出技术指标的元件有关。在了解信号在传输系统中的传播速度后, 便能确定故障点的位置,然后快速修复系统。
本应用指南将介绍时域和故障点距离(DTF)测量技巧。利用这些技巧,您可以在现场测量时识别断点的位置和相对幅度。

图 1a. 测得 VSWR 作为频率的函数 (1a),以及时域响应显示作为时间函数的多个断点 (1b)。
时域分析测量基础知识
时域分析在观察传输线系统上的失配影响时非常有用。当射频或微波信号沿传输线传播时,一小部分信号会在路径上的任何断点反射回来。使用时域分析法,每个断点的位置可显示了为沿 x 轴的时间函数, 而反射信号的幅度,或 S11,则沿 y 轴进行绘制。在了解了沿传输线的传播速度之后,时间测量就能按比例换算为物理距离。另外,它还能检查发射信号的时域响应, 或 S21,但这个测量需要在系统的两个端口进行连接。由于现场测量常常限制为只能接入系统的一个端口,本应用指南将会主要针对反射的时域响应,或称 S11 测量。

图 2. 时域响应的配置和测量显示沿同轴传输线有三个断点
图 2 所示为一个简单的时域响应示例, 测试将两小段同轴线使用适配器连接在一起,并端接一个 50 Ω 的同轴负载。如果对线路的输入施加短脉冲波形激励,则可能观察到从每个断点反射的脉冲响应,该响应与时间有函数关系。在这种情况下, 将会出现来自输入连接器 (1)、适配器 (2) 和端接 (3) 的反射信号。过大的峰值可能代表这些器件中存在一个或多个问题。另外还能使用阶跃波形来激励传输线,有关该技术的详细信息参见是德科技时域应用指南 1287-12 [1]。
来自任何单端口或双端口设备的测量可在时域和 / 或频域中进行表征。如果测量在一个域中进行,则另一个域可使用众所周知的数学技术——傅立叶变换(FT)来计算。这种变换提供了解决问题的通用方法,让人们可以从一个完全不同的视角来检查特定的测量问题 [2]。如果使用时域方法来记录测量,那么 FT 计算能得出数据的频域表示。反之, 如果开始捕获的是频域数据,那么经过反傅立叶变换(IFT),可生成数据的时域表示。实际情况就是相同的数据可同时在时域和频域中显示,打造出一个功能强大的分析和解决问题的工具。现代化的测试仪器,如 VNA,将这个数学转换功能集成为固件的一部分, 使用户可以显示时域或频域数据,或同时显示两种数据。例如,图 1a 和 1b 所示为使用 Keysight FieldFox VNA 记录的频率测量和时域转换。
具有时域分析功能的仪器
有两种基本仪器能够显示单个断点沿传输系统的时域响应:时域反射计(TDR)和矢量网络分析仪(VNA)。时域反射计使用传统方法,发射一个激励或阶跃波形到被测设备,并直接测量作为时间函数的响应 [3]。使用阶跃信号发生器和宽带示波器,如 Keysight 86100D DCA 及 54754A TDR 模块,可将快速边沿发射到传输线路中。入射和反射电压波形可用宽带示波器来监测,每个断点的位置可显示为时间的函数。
矢量网络分析仪,如 Keysight FieldFox N9918A VNA,主要是频域测量仪器,能够测量单端口和两端口设备的反射和传输特征。使用在频域内测得的经过误差校正的数据,就可以使用 IFT 计算出网络对脉冲或阶跃函数的响应,并且显示为时间函数。如果 VNA 使用的是窄带测量接收机,动态范围通常会高于基于示波器的TDR 系统。另外 VNA 还具有用于测量带宽有限设备的时域功能,称为带通模式, 本应用指南将在稍后讨论此功能。最后, FieldFox VNA 有一项被称为电缆和天线
(CAT)分析仪的配置,它能执行相同的频域至时域转换,但会将时间测量标度为对应的物理距离,以帮助操作人员在现场快速确定射频和微波传输线路中的故障点位置。
使用喇叭天线的测量实例
在图 3 所示的测试配置中,我们使用一个 X 频段波导喇叭天线和在天线附近放置一个独立的金属板来进行空中频域和时域响应测量。高增益喇叭天线连接至一小段WR-90 波导传输线,然后将传输线连接到波导至同轴适配器以连接 VNA。VNA 在适配器与仪器端口相连接的平面上进行校准以进行 S11 测量。测量将包括图 3 中所示所有部件的响应,还将包括周围环境中其他项目的响应。金属板是一个安装在三角架上的 0.3 平方米的铝板,放置在天线正前方。金属板与天线之间的距离可变化以便检查频率与时间响应的变化。
图 4 所示为该系统在三种测试条件下的频率响应;其中两种的金属板靠近天线,另一种不使用金属板。黄色迹线显示的是不使用金属板的测量。由于各种传输线间的交互作用以及周围环境中各项目的反射, 测量的 S11 响应有小的纹波。蓝色迹线显示的是金属板距喇叭天线 1.7 米时的频率响应。在这种情况下,S11 与不使用金属板时相比有更大的纹波。橙色迹线显示的是金属板再靠近一些、间距为 1.2 米时的结果。此时,纹波更加明显,因为来自金属板的反射信号有更大的接收幅度。
事实上,放置在天线系统附近的金属结构可能对系统性能产生了负面影响,因为来自这些额外结构的反射所产生的纹波可能大到足以使得性能超出技术指标。如上所述,仅检查频率响应并不足以找出问题的根源。在这些测量条件下的时域响应将在接下来进行检查。

图 3. 使用 X 频段喇叭天线测量空中频域和时域响应的配置

图 4. 比较 X 频段天线系统在三种测试条件下的频率测量;两种情况下金属板靠近天线, 一种情况下不使用金属板

图 5. 天线系统在三种测试条件下的时域测量;两种情况下金属板靠近天线,一种情况下不使用金属板
图 5 所示为使用 Keysight FieldFox VNA 及时域选件时天线系统的时域响应。不采用金属板时的结果如黄色迹线所示,来自周围环境的信号反射的峰值比来自适配器和天线的峰值低。这种类型的测量将为新系统安装提供一个良好基准,并可用作对比, 因为本系统周围将会添加更多的天线元件和结构。图 5 还显示了金属板放在天线附近时的时域响应。金属板与天线间距 1.7 米时的结果如蓝色迹线所示,其中有一个大的峰值代表来自金属板的反射,右侧的较小峰值代表来自三角支架的反射。当金属板和三角架移近至 1.2 米时,结果如橙色迹线所示,测得的时域响应显示了这些峰值的等效时间偏移。通过这些测量,您会发现与适配器和天线有关的峰值是静态的,因为这些器件在测试过程中未发生改变。另外,当金属板向天线移动时,与金属板有关的峰值幅度有一个明显增加。这种峰值幅度的增加是由于信号现在沿更短的距离进行传播,空间损耗降低造成的。
如之前的图 4 所示,环境反射会在频域响应中产生纹波。这对于确定不受环境影响的系统性能非常有用。在这种测试要求下,VNA 有一个在时域中配置的选通功能,用于过滤出特定反射,使得这些反射不影响频域响应的查看。下一节将会介绍时域过滤的基本概念,也称为选通。
选通和频率响应
选通的基本概念是引入时间滤波器,移除时域响应的多余反射。这个时间滤波器的工作方式与频率滤波器在频域中的工作方式相同。一旦从时域中移除多余响应,便可观察到剩余器件的频域响应。图 6 是一个拥有三个峰值的理想时域响应的简单示例。在此例中,时间滤波器或“选通”配置为要移除其中的两个峰值。通过调整选通的时间中心和扫宽,可在时域中创建一个等效的带通滤波器。一旦选通激活,便可在时域和频域的测量中移除高峰值和低峰值与带通选通一起,FieldFox VNA 还有另一种类型的选通能够传输一个峰值,或者对峰值进行分组,使剩下的峰值高于或低于滤波器响应。在任何一种情况下,一旦选通在时域中进行正确配置,用户便可将 VNA 返回频域以检查系统的频率响应及滤波后峰值的影响。
为继续探讨上一节中所述天线示例,图7a 展示了使用和不使用选通功能时的时域响应。在此例中,对带通选通进行配置以移除金属板和环境的影响。黄色迹线是原始测量,其中包括来自金属板反射的峰值。蓝色迹线显示的是,带通选通配置为能够过滤天线中任何响应时的时域响应。应用带通选通时,时域响应仅包括同轴适配器和天线的响应。另外还能使用陷波选通来移除一个峰值或一组峰值。
图 7b 所示为原始频率响应比较,其中金属板和环境反射的频率响应用黄色表示, 应用选通时的频率响应用蓝色表示。
如选通响应所示,当来自环境的反射从测量中滤除后,整个测得的频率扫宽上的纹波会有所降低。选通是一个非常强大的工具,能够通过有选择性地移除任何域中测量的特定响应,来检查器件或系统的反射和传输属性。
需要注意的是,当沿传输线的断点反射能量时,这一部分的能量不能到达沿线路的后续断点。这种效应可能隐藏或“掩蔽” 后面断点的真实响应。当传输路径在沿线长度上存在插入损耗时可能出现这种情况。选通功能不能对这种掩蔽效应进行补偿,掩模将在下一节进行探讨。

图 6. 拥有三个峰值的理想时域响应的简单示例,以及对原始响应施加时间“选通”时的结果

图 7. 对测得数据施加和不施加选通功能时 X 频段天线系统的(7a)时域和(7b)频域响应
同轴线中的掩蔽
图 8 所示的是一段短 RG58 同轴电缆在末端端接开路时的时域响应。时间响应显示一个大的峰值,代表着来自电缆末端的反射。由于所有能量都将反射回源,我们期待理想的开路拥有 0 dB 的 S11。如图 8 所示,这个测试配置的测得峰值较低,为4.2 dB。测得的峰值比平均电缆损耗低三分之二,平均电缆损耗来自正向信号损耗与从开路反射回后第二次通过电缆的损耗的组合。电缆的插入损耗会“掩蔽”开路的真实响应。由于选通是在测量完成后的一个后续过程,围绕开路的峰值响应的选通将不能对幅度测量进行校正。这一点很重要:如果传输系统的插入损耗非常高, 那么反射信号的幅度可能低于 VNA 的动态范围,无法在时域显示中观察到。如果传输路径包含的一个非常大的断点,而该断点反射了绝大多数的能量,就会发生这种情况,并可能阻碍在时域显示中观察到任何后期反射。
如果电缆的插入损耗已知,那么 Keysight FieldFox VNA 和 CAT 分析仪允许电缆损耗进入到仪器中。对电缆损耗进行补偿能改善时域中的幅度测量。应该注意同轴电缆插入损耗是频率的函数,损耗在更高频率时会有所增加。电缆插入损耗因数可作为代表平均损耗的一个值输入,或者在使用 CAT 模式 DTF 时,可以输入到频率 / 损耗对表中。FieldFox CAT 模式还包括一套内置的电缆技术指标,可根据系统中安装的电缆类型进行快速选择。需要注意的是,任何时域显示上测得的幅度实际上都是整个测量频率范围内的平均值。因此,如果传输系统包括耦合器、滤波器以及具有可变插入损耗的其他器件,那么仅使用一个因数对作为频率函数的插入损耗进行补偿,可能无法提供精确的幅度结果。本指南将在下一节介绍这种效应。

图 8. 短 RG58 同轴电缆端接开路时的测试配置和时域响应
使用带通滤波器的测量实例
图 9 是一个系统中包括两条同轴电缆使用在线带通滤波器进行互相连接的测试配置。较长的电缆端接 50 Ω 负载或保持开路。当对系统进行故障诊断或试图确定传输系统的末端时,能够在传输系统末端交换端接非常有用。在时域响应中,通常会使用开路或短路来提供较大反射以确定电缆末端。

图 9. 系统包括的两个同轴电缆与带通滤波器互联并端接开路或 50 Ω 负载时的测试配置
这个简单示例将会显示反射信号通过在线带通滤波器时的掩蔽效应。测得的 S11 频域响应如图 10a 所示。对于这个测量,电缆端接 50 Ω 负载以仿真具有适当端接的系统。时域模式激活,测得的时间响应如图 10b 所示。在此情况下,电缆端接开路以查看电缆末端时间响应的较大反射。如图 10b 所示,时域图形显示了与传输线路和路径上的各个器件有关的一系列的峰值。左侧的第一个峰值来自输入电缆的反射。下一组峰值与带通滤波器有关。
滤波器就是一组在时域中交互作用以生成独特响应的谐振器。除非使用参考滤波器进行对比,否则在检查时域测量时,很难确定滤波器的响应是否正确。是德科技针对使用时域技术的滤波器调谐提供了优秀的应用指南 [4, 5]。右则的最后一组峰值与开路有关。我们通常会期望开路会导致一个峰值,因为脉冲功能会在传输线的一个点上进行完全反射。但如本测量所示,来自开路的时间响应有一个相当复杂的波形。因为信号在正向通过滤波器时,来自开路的反射会被带通滤波器的传输响应所修改, 然后来自开路的反射会沿反向再次通过滤波器。在此例中,带通滤波器会掩蔽来自开路的反射响应。

(a) 频率响应

(b) 时间响应
图 10. 测得的频域响应 S11 (10a) 和 (10b) 测得的时域响应显示了来自输入连接器、滤波器和开路端电缆的反射特征
为了检查本例所示通过在线带通滤波器的掩模效果,图 11 显示的是对开路周围的反射信号施加选通时的时间和频率响应。图 11a 所示为使用和不使用选通时的时域响应。蓝色曲线所示为选通位于开路端电缆中心时的时间响应。图 11b 所示为来自开路选通信号的频域响应。该响应显示, 系统的在线滤波器会掩蔽来自开路端电缆的理想响应。在这种情况下,频域响应显示的是典型的带通传输响应。如上所述, 当信号两次通过滤波器时,一次为正向, 一次为经过开路的反射后反向通过,围绕开路的选通响应显示了这一结果。如果要验证系统组件是否已妥善安装,以及当用户只能接入系统一端时,这种类型的测量将会非常有用。
需要注意,在图 11b 中,选通频率响应的边沿拥有增加的幅度。这种增加并非在线带通滤波器的功能,而是涉及选通功能的信号处理的假象。 通过调整 FieldFox VNA 前面板的选通功能的特征,可能降低频域中的边沿效应。有关优化选通窗口的详细介绍请参见“FieldFox 用户指南”和“是德科技时域应用指南”1287-12 [1]。

a. 时间响应

b. 频率响应
图 11. 带有在线带通滤波器的传输系统的时域响应(11a)和来自开路端电缆的选通信号(具有掩蔽效应) 的频域响应(11b)
时间测量结果与物理距离的关联
一旦系统插入损耗超出预期或回波损耗和 VSWR 超出技术指标范围,有必要找出传输系统中的物理故障位置。如果信号在电缆中的传输速度已知,则损坏的物理距离可利用反射测量结果,通过下列公式计算出来。


时间乘以信号在介质中的速度 vcable。速度单位采用米 / 秒,也可使用英尺 / 秒来计算。我们已经知道信号在真空中的速度等于光速 c。信号在介质中的速度等于光速 c 乘以小于或等于 1 的速度系数(VF)。VF 为传输线介电常数 er 的平方根的倒数。例如,同轴电缆使用固体PTFE 作为电介质,则 VF 为 0.7,因为PTFE 的介电常数为 2.1。当使用 VNA 来测量故障位置时,向 VNA 中精确输入速度系数很重要。 当使用 FieldFox VNA 来测量 DTF 时,只要正确输入VF,FieldFox 游标便能同时正确显示时间和到断点的经过校正的单向距离。另外,使用配置为 CAT 模式的 FieldFox 时,所有时域显示参数都可自动转换为距离。是德科技应用指南 [6] 针对未知电缆的速度系数估计提供了更多信息。
频率扫宽与脉冲宽度之间的关系
使用 VNA 测量频域中的器件或系统的 S 参数时,测得数据跨越了用户选择的频率范围(扫宽)。
在时域模式下操作时,脉冲宽度大约与频率扫宽的倒数相关。

更宽的扫宽将在时域中显示更多的细节或分辨率。这在时域中试图确定两个间距非常接近的断点时特别有用。这个公式得到的结果是近似的,因为我们对测量数据应用了一个时间窗口,以改善时域响应的动态范围。这个动态范围会极大增加或降低脉宽。有关窗口功能的更多信息请参见是德科技时域应用指南 1287-12 [1]。
例如,图 12 所示为两条同轴电缆使用同轴适配器连接在一起并端接 50 Ω 负载时的时域响应。图 12a 所示为使用配置了500 MHz 扫宽的 VNA 的时间响应。在此, 由于时域中的宽脉冲宽度,个别断点无法观察到。图 12b 所示为频率扫宽增加至 4 GHz 时的频率扫宽。在这种情况下, 个别断点可以使用更窄的脉冲宽度清晰观察到。
虽然较大的频率扫宽能够提高时域分辨率,但它同时也会对可测量的总时间扫宽或最大量程产生不利影响。下一节将讨论频率扫宽与最大可测量时间之间的关系。

a. 采用 500 MHz 扫宽时的时间响应

b. 采用 4 GHz 扫宽时的时间响应
图 12. 两条同轴电缆使用同轴适配器连接在一起并端接 50 Ω 负载时的时域响应测量
频率扫宽与时间扫宽之间的关系
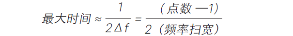
使用 VNA 测量频域中器件或系统的 S 参S 参数时,测得数据跨越了用户选择的频率范围(扫宽),并在这个扫宽上以离散点存储。数据点之间的频率间距 Δf,直接与频率扫宽成正比,与总测量点数成反比,如下面的公式所示。

表 1. 使用 10,001 个点,且速度因数(VF)等于 0.66 时,时间范围用作测得频率扫宽的函数。

沿频率扫宽,点数也由用户来选择。频度间隔,Δf,然后由 VNA 自动计算。FieldFox VNA 可使用点数来配置,设置为101 至 10,001。例如,使用 1 GHz 的扫宽扫描 101 个点时,数据每隔 10 MHz = Δf 测得。
测量电气长度较大的器件和系统时,要对VNA 进行恰当配置以测量到传输路径末端的所有方向。特别是当系统(例如天线塔) 中安装了长电缆时,这点很重要。我们发现最大时间跨度直接与频域的测量点数成正比,与下列公式中所示的测量频率扫宽成反比。在此,由于反射测量是一个往返经过传输系统的测量过程,所以需要除以 2。对于传输测量,例如 S21 和 S12,不再需要除以 2。

在某些条件下,VNA 经过配置可用来显示超出计算的最大时间跨度的时域响应。在这种条件下,它能观察杂散响应,也称为混叠,混叠可显示为真实响应,但实际上是从频域到时域进行数学转换的假象。FieldFox 提供了一个表格,显示当前测量是否有混叠的。如果 FieldFox 标记出有混叠可能时,可以采用一个简单测试来验证响应是否真实。首先,将游标放在有问题的峰值上并注明到故障点的时间(距离)。接下来,更改分析仪上的开始或停止距离。真实的时域峰值将不会在时间(距离)上移动,但混叠响应将能显示出移动。
有一重要事项需要指出,它不能同时优化在此前一节中讨论的窄脉宽,以及此处讨论的最大时间范围。窄脉宽需要宽频扫宽, 但宽频扫宽会降低最大时间跨度。因此, 将需要在时间分辨率和时间跨度之间进行一定的折中。所幸的是,对于某些类型的设备,FieldFox VNA 还提供了另一种时域模式,能够进一步提高时间分辨率,同时又不会牺牲时间跨度,这种模式将在本应用指南的下一节中进行介绍。
配置带通和低通时域模式
FieldFox VNA 和 CAT 分析仪两种时域模式,可选用于优化时间测量。这两种模式分别是低通和带通。模式的选择取决于被测器件的工作频率范围。例如,测量宽带设备时,例如同轴电缆和适配器,它们的工作频率范围可从直流扩展到射频和微波频率范围。对于这些设备,VNA 最好采用低通模式进行所有时域测量。当设备指定为可在窄带频率范围上操作时,VNA 的带通模式将能提供最佳结果。当滤波器、耦合器、天线和波导器件作为传输路径的一部分时,主要使用带通模式。
使用带通模式时,仪器的开始和终止频率应设置为大约是被测器件的工作范围。当被测器件为宽带时,低通模式将在更大的频率范围上进行配置。低通模式可将测量频率范围往下推断至直流,然后映射关于直流的测量频率范围数据,以极大改善时间分辨率功能。有关这些模式的更多信息请见 FieldFox 用户指南和是德科技应用指南 1287-12 [1]。
FieldFox 的时域特性是对复杂器件和系统进行验证和故障诊断的强大工具。除了本应用指南中的示例之外,用于执行时域测量的很多应用程序和仪器配置将在本应用指南参考部分列出的其他是德科技应用指南中进行探讨。是德科技非常乐意通过网站提供这些指南或提供现场技术支持。是德科技还对所有手持式和台式 VNA 和CAT 分析仪提供本地和现场支持。
随时随地进行精确测量。
现场套件中的每一件工具都必须证明其不可替代。凭借出色的功能赢得现场工作人员的信赖是 Keysight FieldFox 分析仪一贯的理念。它们适用于常规维护、深入故障诊断等。更重要的是,无论用户需要到什么地方工作,FieldFox 都能执行出色的测量,体现是德科技仪器的卓越品质。将 FieldFox 加入工具箱中,您可以随时随地进行精确测量。
史海拾趣
|
各位大虾们,我刚上班不久,单片机知识只限于书本的知识,根本没实际经验,现在碰到一个设计一个单片机控制系统的难题,望各位哥哥姐姐们帮偶看下,能不能讲的详细些(最好帮我出个电路原理图),在此先谢过了~ 开关量:69个 38输入31输出 温度模拟量3路 ...… 查看全部问答> |
|
做个家用带有温湿度测试仪的电子表,原理图、PCB在17楼,欢迎讨论 这个应用很简单,取代家用的电子表,除了具有普通电子表具有的显示时间,报警功能外,添加温度和湿度显示,这样可以随时了解室内的温湿度状况。市场挺好。… 查看全部问答> |
|
我在看书看到这样一段话: 对于arm指令集来说,PC指向当前指令的下两条指令的地址,由于ARM指令是字对齐的,PC值的第0位和第一位总为0, 这句话全不懂,谁能解释下呢… 查看全部问答> |
|
应用API: BOOL ReadFile( HANDLE hFile, //端口句柄 LPVOID lpBuffer, //接收缓冲的指针 DWORD nNumberOfBytesToRead, //要读取的字节长度 LPDWORD lpNumberOfBytesRead, //P ...… 查看全部问答> |
|
好不容易把EBOOT整出来了,可是用它通过USB下载NK.BIN时,却出现以下提示信息,然后就没有了,请问有谁遇到过这种情况或者请高手帮我分析一下原因所在。谢谢啦! Ethernet Boot Loader Configuration: 0) IP address: 192.168.0.15 1) Subnet ma ...… 查看全部问答> |
|
WinCE6.0 设备挂载点命名方法是怎么用的?? 如: \\$device\\COM23 , 是怎么在CE6.0注册在使用的? 比如说注册表是怎么写的?, 或者是那里需要怎么操作?才能实现这样设备挂载点命名方法? 跪求高人指点!!… 查看全部问答> |
|
请问mw5一定要用TI的通讯模块吗?如果用wavecom的通讯模块,我该如何对ril进行处理 请问mw5一定要用TI的通讯模块吗?如果用wavecom的通讯模块,我该如何对ril进行处理?哪怕是给个思路也好,谢谢… 查看全部问答> |
|
spartan 6 warning HDLCompiler:89 在spartan 6 中,我调用了一个除法器,结果出现如下warning: HDLCompiler:89 - \"E:\\qiaodong\\FPGA\\test_FPGA\\test_div\\top.vhf\" Line 53: <div_lx16> remains a black-box since it has no binding entity. 如何解决? ...… 查看全部问答> |
|
先前使用的都是51单片机,用它编写小程序实在再方便不过了,但是那次将项目的总程序量增加到5个K我就对文件和软件的格式发傻了,各种不规范,各种无用功,从那时开始我就萌生了关注单片机的软件工程的想法,直到最近接触MSP430单片机,尤其是看到《 ...… 查看全部问答> |




