历史上的今天
今天是:2025年05月08日(星期四)
2021年05月08日 | 为什么示波器带宽和被测频率有“5倍法则”?
2021-05-08 来源:eefocus
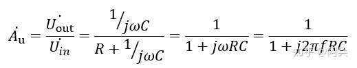
今天和大家讲讲示波器带宽 f 和被测频率 fH 的关系,这就要从示波器的幅频响应曲线讲起。示波器内部的幅频响应曲线可以近似等效为一个RC低通滤波电路。

图 1 RC低通滤波电路
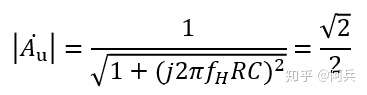
考虑阻抗分压,可以写出电压传输系数:
公式 (1)
截止频率 fH考虑为|Au|衰减-3dB的时候对应的频率 f
公式 (2)
经过简单的计算,可以得到截止频率的表达式:
公式 (3)
结合公式(1)、(3),重新写出示波器的幅频特性:
公式 (4)
当我们仔细观察示波器等效的幅频特性时会发现,当f< 当f=1/5 f_H的时候,通过简单的计算可以发现: 因此,可以得到一个结论,所谓的“5倍法则”,就是幅值衰减小于等于2%的时候,对应的示波器带宽和被测频率的比例。 以我们实验室的三台100MHz、200MHz、1GHz的示波器而言,计算各类示波器在各比例下的幅值衰减情况,如图2所示。 图 2 不同示波器下的信号衰减情况 可以看出,当被测频率为100MHz的情况下,三台示波器的衰减分别是30%、10。5%和0.5%,可见根据我们的应用需求,“f / fH 的5倍法则”是比较适用的。 当我们在测试功率器件的开关特性时,就需要关注这个问题。如图3所示,是我们的电压关断曲线,在此曲线上,通常会叠加一个震荡分量。 图 3 电压关断波形 结合图4的表格可知,如果这个震荡的周期在10ns的范围内,那么在这三台示波器上的测试将会有很大的区别。 图 4 不同情况对比 我做了一个小测试,硬件平台如图5所示,使用一个小驱动板,产生一个驱动信号Vgs,故意加长输出的杜邦线,增加过冲信号,使它变得很大,测试不同示波器下的幅值衰减。 图 5 硬件平台 实验结果如图6所示,几乎没有很大的区别,推断应该是100MHz和200MHz示波器的测量精度不够。 图 6 测试结果 Summary: 示波器带宽大于等于被测频率的5倍意味着被测波形的衰减 ≤ 2% 。 所以示波器带宽到底是被测频率的多少倍是需要根据我们实际误差需求以及示波器的带宽来决定 ,如图7所示。 图 7 不同比例下的幅值衰减 3. 对于中低端示波器(BW ≤ 1GHz)而言,内部的幅频响应基本等效为一个RC低通滤波,而对于高端示波器(BW > 1GHz),内部通常会有补偿算法,会得到比较平坦的幅频响应曲线,此时“98%-5倍”就不一定适用了。 







上一篇:全网最全示波器探头知识!
史海拾趣
|
简介: 工业控制自动化技术是一种运用控制理论、仪器仪表、计算机和其它信息技术,对工业生产过程实现检测、控制、优化、调度、管理和决策,达到增加产量、提高质量、降低消耗、确保安全等目的的综合性技术,主要包括工业自动化软件、硬件和系统三 ...… 查看全部问答> |
|
SEDR18系列模块是一款高效的LED驱动IC。可以直接介入110V和220V交流电,获得稳定的横流输出。输出电流稳定、输出电压范围大是SEDR18系列模块的主要特点。改变负载LED的数量,使得SEDR18模块的输出电压随之变化,则SEDR18模块的输出电流可以稳定在15 ...… 查看全部问答> |
|
众所周知,LED是将电能直接转换成光的晶体管元件,LED 背光模块(BLU)正在推动总体LED市场成长,但在未来一段时间,LED照明将引领这个市场的增长。 如何使LED将大部分能量转换为可见频谱的冷光,而不以发热的形式浪费电能,德州仪器(TI) ...… 查看全部问答> |
|
有个问题和大家讨论一下,我已经没招了,不知道各位大神们有什么高见啊。 我是做STB(机顶盒)设计的,最近遇到一个很头疼的问题,平台的大概配置是: CPU+DDR2+DVBC silicon Tuner+3.3V power supply的modulator,CVBS+AV output. 电源状况是: ...… 查看全部问答> |




