历史上的今天
今天是:2025年08月19日(星期二)
2021年08月19日 | 如何理解FIT和MTBF
2021-08-19 来源:EEWORLD
在我们的日常工作中,经常会碰到器件失效或系统故障,这时为了清楚界定失效事件的严重性,就需要定量的来描述具体的失效率,这就需要用专业的术语来沟通,而有的工程师喜欢谈FIT,有的工程师喜欢谈MTBF,其实这两个概念所描述的主体是不一样的,因此有必要在此简析一下。
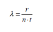
FIT,是英文Failures In Time的缩写,从其字面意思可知,它是以时间维度来表述失效率的,实际上它是描述“器件”失效率或故障率的单位。故障率(λ)是指正常工作的n个器件在运行一定时间t之后,其中丧失其规定的功能的r个器件所占的比例,公式表述为:

这里λ的单位即是fit,定义是在109h(小时) 内,出现一次故障即为1fit。因此,如果某个器件失效率为100fit,则平均预期可安全工作107小时。
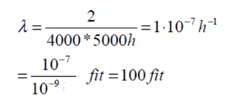
举例来讲,如果测试某批次的器件,被测器件共4000个,在工作了5000小时后出现了2个器件失效,则该器件的失效率λ为:

MTBF,是英文Mean Time Between Failures的缩写,即平均无故障时间,是指设备从一次故障到下一次故障的平均时间,是衡量一个“设备”的可靠性指标(仅用于发生故障经修理或更换器件能继续工作的设备或系统),单位为“小时”。具体来说,是指相邻两次故障之间的平均工作时间,也称为平均故障间隔,它仅适用于可维修设备或系统,同时也可表述为设备或系统在总的使用阶段累计工作时间与故障次数的比值为MTBF。
假定某个设备由i个器件构成,而这些器件分别对应的失效率为λi,则该设备的MTBF用公式计算为:

简单举例来讲,如果一个系统由50个器件组成,每个器件的失效率均为250fit,则该系统的MTBF为:1/(50*250fit)=80000h(小时)。
进而,如果该系统平均每天运行18h,每年运行300天,则该系统的安全寿命为:
80000h/(300*18h)=14.8年。
下面,我们来看一个更贴近实际应用的某变流器MTBF的估算示例,表中的器件对应fit值均为假设或近似,只是为了说明计算方法:

由上表中计算出系统整体失效率为5300fit,假定其常年无休一直在运行,则其MTBF=10E9/5300/ (24x365)=21.5(年),即该变频器预期可安全运行21.5年。
综上,MTBF是用来描述系统或设备级别的故障间隔时间,而FIT是用来描述某单一器件的失效率的单位。
英飞凌为部分器件提供了FIT率报告,登录myInfineon,在产品页面下就可以查看。下面就是IKW40N120T2的报告。可以看到,这颗器件包含了IGBT和二极管芯片,总的FIT率为单颗器件FIT相加,仅为0.8,即器件平均预期可安全工作1.25*109小时,表征了器件非常好的可靠性。

史海拾趣




