历史上的今天
今天是:2024年11月08日(星期五)
2021年11月08日 | 毫米波雷达在ADAS与智能驾驶方面的应用
2021-11-08
毫米波 (mmWave) 是一类使用短波长电磁波的特殊雷达技术。雷达系统发射的电磁波信号被其发射路径上的物体阻挡继而会发生反射。通过捕捉反射的信号,雷达系统可以确定物体的距离、速度和角度。
毫米波雷达可发射波长为毫米量级的信号。在电磁频谱中,这种波长被视为短波长,也是该技术的优势之一。诚然,处理毫米波信号所需的系统组件(如天线)的尺寸确实很小。
短波长的另一项优势是高准确度。工作频率为 76–81GHz(对应波长约为 4mm)的毫米波系统将能够检测小至零点几毫米的移动。
完整的毫米波雷达系统包括发送 (TX) 和接收 (RX) 射频 (RF) 组件,以及时钟等模拟组件,还有模数转换器 (ADC)、微控制器 (MCU) 和数字信号处理器 (DSP) 等数字组件。过去,这些系统都是通过分立式组件实现的,这增加了功耗和总体系统成本。关于距离和距离分辨率的内容请阅读《毫米波雷达基本原理-距离和距离分辨率测量原理》
速度测量
在本节中,让我们使用相量表示(距离、角度)来求一个复数。
使用两个线性调频脉冲进行的速度测量
为了测量速度,FMCW雷达会发射两个间隔Tc 的线性调频脉冲。每个反射的线性调频脉冲通过 FFT 加以处理,以便检测物体的距离(距离FFT)。对应于每个线性调频脉冲的距离 FFT 将在同一位置出现峰值,但相位不同。该测得的相位差对应于速度为 vTc 的物体的移动。

相位差通过方程式 6 推导出方程式 10:

可以使用方程式 11 推导速度:

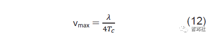
由于速度测量基于相位差,因而会存在模糊性。这种测量仅在 |DF|< p 时具有非模糊性。使用上述方程式11可通过数学方法推导出
方程式 12 给出由间隔 Tc 的两个线性调频脉冲可以测得的最大相对速度(vmax)。更高的 vmax 需要两个线性调频脉冲之间更短的传输时间。

使用位于同一距离处的多个物体进行的速度测量
如果速度不同的多个移动物体在测量时与雷达的距离相同,则双线性调频脉冲速度测量方法不起作用。这些物体由于与雷达的距离相同,因而会生成IF 频率完全相同的反射线性调频脉冲。因此,距离FFT会产生单个峰值,该峰值表示来自所有这些距离相同的物体的合并信号。简单的相位比较技术将不起作用。
在这种情况下,为了测量速度,雷达系统必须发射两个以上的线性调频脉冲。它发射一组N 个等间隔线性调频脉冲。这组线性调频脉冲称为线性调频脉冲帧。图 7 显示了一个线性调频脉冲帧随时间变化的频率。

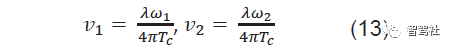
下面以两个与雷达的距离相等但速度分别为 v1 和 v2的两个物体举例说明了处理技术。
距离 FFT处理反射的一组线性调频脉冲,从而产生一组 N个位置完全相同的峰值,但每个峰值都有一个不同的相位,包含来自这两个物体的相位成分(来自各个物体的单独相位成分由图 8 中的红色和蓝色相量表示)。

称为多普勒 FFT 的第二个FFT 在 N 个相量上执行,以分辨两个物体,如图9 所示。

w1 和 w2 对应于各个物体连续线性调频脉冲之间的相位差(方程式 13):

速度分辨率
离散傅里叶变换的理论指出,两个离散频率 w1 和w2 在 Dw = w2 – w1 > 2p/N 个弧度/样本时,是可以分辨的。
由于Dw也是由以下方程式
定义的,因而 当帧周期为(Vres)Tf=NTc(方程式14),可通过数学方法推导出速度分辨率:

雷达的速度分辨率与帧时间 (Tf) 成反比。
角度检测
角度估算
FMCW 雷达系统可以使用水平面估算反射信号的角度,如图 10 所示。该角度也称为到达角(AoA)。

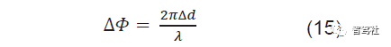
角度估算基于下面的观测,物体距离的很小变化即可导致距离 FFT或多普勒 FFT峰值的相位变化。该结果被用于执行角度估算,该估算使用至少两个RX天线,如图 11所示。物体与两个天线的距离差会导致 FFT 峰值的相位变化。相位变化使您能够估算AoA。

在此配置中,相位变化在数学上可以推导出方程式 15:

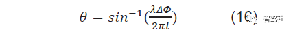
在假设平面波前的前提下,基本几何显示
=lsin(q),其中 l是天线之间的距离。因此,到达角(q) 可根据使用方程式 16 测得的
计算出来:

请注意,
取决于sin(q)。这被称为非线性依赖关系。sin(q) 仅在q的值很小时,才是线性函数的近似值:sin(q) ~ q。
因此,估算准确度取决于 AoA,且在 q 的值很小时更准确,如图 12 所示。

最大角视场
雷达的最大角视场由雷达可以估算的最大 AoA 来界定。请参阅图 13。

角度的准确测量离不开
< 180°。如果使用方程式16,则这对应于
方程式 17 显示了两个间隔 l 的天线可以服务的最大视场:

两个天线之间的间隔 l = l/2 会导致 ±90°的最大角视场。
可以看到,FMCW 传感器通过结合使用射频、模拟和数字电子组件,能够确定附近物体的距离、速度和角度。
TI 将 DSP、MCU 以及 TX RF、RX RF、模拟和数字组件集成到RFCMOS 单芯片中,将创新带入了FMCW 传感领域。

毫米波雷达是提高安全性和便利性的核心ADAS技术。是实现智能驾驶的必要传感器。欢迎大家关注、收藏和转发,小编将更新更多的关于智能汽车方面的知识。










































上一篇:车载SOC计算芯片典型架构
下一篇:安森美的智能成像方案使道路更安全
史海拾趣
|
PIC单片机开发的若干问题 ~~~~~~~~~~~~~~~~~~~~~~~~~~~~~~该贴不属于此版块,过两天移走! [ 本帖最后由 youki12345 于 2010-5-8 10:49 编辑 ]… 查看全部问答> |
|
我有一块ARM7 S3C44B0的开发板,我最近买了一个320X240的液晶屏。 商家提供了320X240.bin的驱动,但是我不知道怎么把驱动加载到开发板的系统中。 我刚开始学这个,我想检验一下这块屏能不能正常使用。哪位高人能不能详细解释一下??… 查看全部问答> |
|
我前不久从深圳优龙公司买了一块YLP2410开发板,发现在WINCE下usb鼠标有时能用,有时又用不了(移动鼠标,光标没有反应)。用不了的时间占多数。开始我还怀疑是我的WINCE操作系统定制的有问题,但后来我使用他们配套光盘里的NK_shp640.nb0,还是一样, ...… 查看全部问答> |
|
我向请教下一个问题: 我想对PC机并口进行操作,操作步骤是这样的; 先用ioperm(0x378,3,1);取得控制权,然后 _outp(0x378,0x55); 但是用_inp(0x378)读出的数据是255,是我哪地方用的不对的吗? … 查看全部问答> |
|
Cortex-M3与ARM7TDMI-S内核MCU运算性能比较 还是21IC人气旺,转一篇我在EDN的博文:http://blog.ednchina.com/htjgdw/140162/message.aspx自从STM32推出后,我对它很感兴趣,由于它采用了ARM的Cortex-M3内核,所以很想了解一下其性能和ARM7相比究竟如何?很巧的机会知道了EDNCHINA,参加了EDN ...… 查看全部问答> |




