历史上的今天
今天是:2024年11月10日(星期日)
2021年11月10日 | 安泰功率放大器在超磁致伸缩换能器孔裂纹缺陷检测中应用
2021-11-10 来源:eefocus
实验名称: 功率放大器基于超磁致伸缩换能器的CFRP板孔裂纹缺陷检测中的应用
研究方向:无损检测
测试目的:验证磁致伸缩换能器在CFRP板孔缺陷识别的有效性
测试设备: ATA-2021H功率放大器,信号源,示波器,换能器等
实验内容:对换能器施加扫频信号确定换能器的最佳工作频段,对换能器施加激励信号,利用超声导波检测CFRP孔缺陷,并进行信号处理,确定缺陷位置。
实验过程:
实验板材为CFRP材质,边长500mm,厚度2mm,通过信号发生器产生激励波形,通过功率放大器放大,磁致伸缩换能器产生高能超声信号,将PZT-5方形贴片用于信号采集,通过分析信号来判断导波信号中包含的缺陷信息。

实验结果:
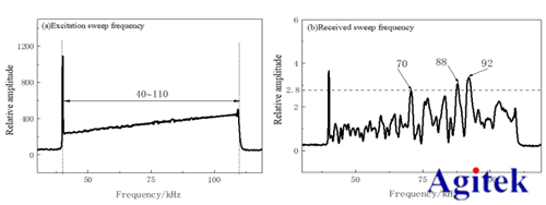
(1)扫频可快速测试元件的频率特性, 通过产生不间断频率连续变化的信号,作用于换能器,获得不同频率下换能器的响应特性。由于超磁致伸缩材料其工作频率不超过100KHz,因此扫频范围为40-100kHz.激励端响应信号幅度随频率逐渐提升呈线性增大。扫频信号通过复合板传播后到达接收端,由图中课件在频率70,80,92kHz处,信号幅值为局部峰值,为换能器的相对优选激励频率。

(2)通过对信号进行短时傅里叶变换的得到的最终的缺陷云图。

放大器在该实验中发挥的效能:驱动换能器、激励超声导波信号
选择功率放大器ATA-2021H的原因:放大器可以很好的驱动电感线圈,给电感线圈施加稳态和瞬态电流。
实验中用到的功率放大器ATA-2021H参数指标:

最大输出电压200Vp-p(±100Vp,输出电流 500mAp,带宽(-3dB)高达DC~1MHz
下一篇:用吉时利万用表瞬态恢复测量
史海拾趣
|
驱动使用DDK写的,不是DS+DDK,以前用DS+DDK的时候是应用把一个Event的HANDLE传进去,然后驱动里面用传进来的HANDLE生成一个KEVENT,应用那里启动一个线程,线程里面等待那个Event就行了,这样当发生中断时驱动的DPC就把KEVENT设置,应用的那个线程就 ...… 查看全部问答> |
|
初学DSP,用了一片TMS320VC5409和10M无源晶振,板子做起来以后不能用,测量时钟信号发现X1管脚的信号是一个比较畸形的正弦波,X2管脚的波形是一个规则的正弦波;但是时钟输出CLKOUT的波形则是在高低电平两个位置剧烈震荡。由于对晶振和时钟信号不熟 ...… 查看全部问答> |
|
在做430向SD卡写数据时候,SD卡可以,但是用SDHC卡初始化过程中CMD0的响应正确,ACMD41响应总是0x01,是不是argument有问题呢?… 查看全部问答> |
|
2012TI杯山东省大学生电子设计竞赛 基本仪器和主要元器件清单 1、基本仪器清单 数字电桥 直流稳压电源 量角器 米尺 四位半数字万用表 0~200℃温度 ...… 查看全部问答> |




