基于rfPIC无线发射器件的环形天线的设计
2008-02-19 来源:comm.eccn.com
1 引言
随着无线通信技术的发展和应用,低功耗、便携式微小型无线通信产品也日益受到消费者的青睐。为了能使微小型的无线通信产品收发数据效率更高,提高产品的实用性和可靠性,设计了一种针对于rfPIC12F675基于PCB板的环形天线。天线是将无线电发射机输出的射频信号功率由电磁波的形式辐射出去的一个重要的无线电设备。
目前,有许多柱式天线或其他体积较大的外置天线。为了在保证传输效率的情况下,减小天线的体积和降低功耗,将天线设计在PCB板上,以适合于低功耗、便携式的无线通信产品的需求。该设计基于MICROCHIP公司的发射芯片,其内部集成了压控晶振VCO和锁相环PLL等电路,简化了无线通信中其他电路的设计,降低整体设计难度和设计成本,同时提高了系统的电磁兼容能力和可靠性。该系统采用的RF芯片为rfPIC12F675,其发射功率可达10dB。此外(1),该单片机采用精简指令系统(RISC)、哈佛总线结构和两级流水线取指令方式,对恶劣的环境具有很强的适应性。
2 环形天线工作原理
环形天线和人体非常相似,有普通的单极或多级天线功能。再加上小型环形天线的体积小、高可靠性和低成本,使其成为微小型通信产品的理想天线。典型的环形天线由电路板上的铜走线组成的电回路构成,也可能是一段制作成环形的导线。其等效电路相当于两个串连电阻与一个电感的串连(如图1所示)。Rrad是环形天线实际发射能量的电阻模型,它消耗的功率就是电路的发射功率。假设流过天线回路的电流为I,那么Rrad的消耗功率,即RF功率为Pradiate=I¬2•Rrad。电阻Rloss是环形天线因发热而消耗能量的电阻模型,它消耗的功率是一种不可避免的能量损耗,其大小为Ploss=I2•Rloss。如果Rloss>Rrad,那么损耗的功率比实际发射的功率大,因此这个天线是低效的。天线消耗的功率就是发射功率和损耗功率之和。实际上,环形天线的设计几乎无法控制Ploss和Prad,因为Ploss是由制作天线的导体的导电能力和导线的大小决定的,而Prad是由天线所围成的面积大小决定的。
3 参数值的计算
(1) 电阻值的计算

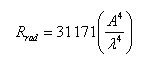
环形天线的发射电阻Rrad可以参考如下公式(2):
式中A为环形天线所围成的面积,单位为米; 为无线电的波长,可以通过发射频率和光速计算出,其单位为米。由该公式可以计算出,Rrad的大小在毫欧级的范围内。
环形天线的损耗电阻大小的公式为:

式中l为环形天线的周长,w为PCB走线的宽度,f为射线频率, =4 •10-7, 为PCB板走线的电导率,典型的铜电导率为5.7•107S/m。
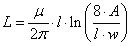
(2) 电感值的计算
图1中的第三个元器件就是环形天线的电感L。天线的电感性主要是磁效应而产生的结果。通常,即使是简单形状的天线的电感系数计算公式也是很难得到的。目前,计算导体电感率的公式也比较多,但一般都是比较冗长的。现给出一个简单而相对准确的公式:

。
4 电路设计
本设计使用的频率为是最常用的433.92 MHz。在调试方式上,无论ASK还是FSK,对于天线的设计方法是相同的,本设计采用的是ASK方式。采用的芯片是rfPIC12F675。
(1) 阻抗匹配
为了使天线达到发射电磁波的目的,必须对其参数进行匹配,使天线回路发生震荡。在回路中加入电容,使得天线回路阻抗值最小。在这个谐振电路(如图2所示)中,电容C的值的计算公式为:

计算该谐振电路的品质因素的公式为:

式中Rs为回路中的总电阻,不仅包括Rrad和Rloss,而且还包括实际电路中电容产生的电阻效应,一般的陶瓷电容在UHF频段范围内的电阻值为0.2欧到0.8欧之间。
为了使天线达到更好的效果,通常把电容C拆开为两个电容C1和C2,如图3所示。通常,C2远大于C1,在本设计中,C1用来调节共振频率,而C2调节天线的阻抗匹配。
(2) 原理图设计
原理图的设计(如图4所示)是从图3中演变而来的,C1即是图3中的C1,C2和C3串联组成图3中的C2。这点对于调整电路板的谐振频率很重要。
(3) PCB图的设计


在PCB图(如图5所示)设计时,使天线的线宽为2mm,所围成的面积尽可能大,在天线上及天线所围的范围内不要放置元器件,否则其参数将很难计算出来。
在设计电路板其他部分时,需要将电路板两面用地敷铜,并且用许多的过孔将其连接。
(4) 参数值的计算
当电路板设计结束之后,确定相应的参数值。在本设计中,天线的走线宽度为2mm,宽度为16mm,长度为35mm,三个电容的总阻值约为1.7欧。由前面的公式可以计算出:Rrad=0.0573欧,Rloss=0.289欧,L=68.3nH,C1=2.27pF,C2=14.8pF。
试验表明这些电容值比实际的值高15%,而使用的元器件也有5%的误差。最后确定参数值为C1=12P;C2=15P;C3=2P。
5 调整与测试
调试设备要求:一个信号发生器、一个信号分析器和一根接收天线。
测试方法:将信号发生器的信号频率调整到433.92MHz,作为激励连接在天线上,用示波器从接受天线上获取接收到的信号,以此来观察天线发射的有效功率。调节匹配电容,以使获取功率最大。
调整方法:将电容C1的电容值翻倍,然后逐渐减小,理解该电容是如何影响天线的性能,并使输出功率达到最大,观察在峰值附近时的灵敏度以及哪个电容对其影响最大。
在调试的过程中,你可能会发现,当你用调节工具调节的时候,发射功率随着调节的工具的移开而减小。克服这个困难的方法是调节电容使发射功率通过峰值并记录峰值位置,然后继续调整电容,使输出功率达到峰值的另外一侧,然后移走调试工具,观察输出功率的变化情况。如果输出功率变小,则调整电容,使输出功率达到峰值的另外一侧,然后移走调试工具。反复试验,最终得到最大值。调试结果如图6所示。
6 结束语
本文的创新在于基于MICROCHIP公司生产的rfPIC12F675芯片,提出了一种微小型天线设计技术和调试技术。系统实现了无线发射数据的同时具有一下优点:
1. 由于天线体积减小,使整个系统的体积减小,可以减小无线通信产品的体积,也可以使其外表美观。
2. 该天线调试技术可以使整个系统的发射效率达到最大,从而最大限度地节约能量。
3. 该天线设计方法简单,成本很低,因此有很大的实用价值。
实际应用表明,该天线有成本低,效率高,穿透性好和体积小的等显著特点。
7 参考文献
1 刘建新,谭平 基于PIC18F458的车载CAN总线仪表系统 微计算机信息 2006年第2-2期 P222
2. K.Fujimoto,A.Henderson,K.Hirasawa,and J.R.James,”Small Antennas”.Research Studies Press Ltd.John Wiley &Sons,1987
3. Faron Dacus, “Introducing Loop Antennas for Short Range Radios,Part5”(Microwave &RF [July 2002]80-88)
4. Frederick W. Grover, Introduce Calculations Working Formulas and Tables Dover Publications Inc. 1946
5. 王朴中,石长生著 天线原理 清华大学出版社 北京 1993.8
6. 刘笃仁 PIC软硬件系统设计 电子工业出版社 北京 2005
本文使用海纳锐利编辑并转载, 版权归原作者所有。
上一篇:RFID技术及在轨道交通的应用




