首页 > 器件类别 > 存储 > 存储
 PDF数据手册

MS81V10160-12TA

描述:
FIFO, 664320X16, 9ns, Synchronous, CMOS, PDSO70, 0.400 INCH, 0.50 MM PITCH, PLASTIC, TSOP2-70
分类:
存储    存储   
文件大小:
303KB,共19页
制造商:
概述
FIFO, 664320X16, 9ns, Synchronous, CMOS, PDSO70, 0.400 INCH, 0.50 MM PITCH, PLASTIC, TSOP2-70
器件参数
参数名称
属性值
厂商名称
LAPIS Semiconductor Co Ltd
零件包装代码
TSOP2
包装说明
TSSOP, TSSOP70,.46,20
针数
70
Reach Compliance Code
unknown
ECCN代码
EAR99
最长访问时间
9 ns
周期时间
12 ns
JESD-30 代码
R-PDSO-G70
长度
18.41 mm
内存密度
10629120 bit
内存宽度
16
功能数量
1
端子数量
70
字数
664320 words
字数代码
664320
工作模式
SYNCHRONOUS
最高工作温度
70 °C
最低工作温度
组织
664320X16
可输出
YES
封装主体材料
PLASTIC/EPOXY
封装代码
TSSOP
封装等效代码
TSSOP70,.46,20
封装形状
RECTANGULAR
封装形式
SMALL OUTLINE, THIN PROFILE, SHRINK PITCH
并行/串行
SERIAL
电源
3.3 V
认证状态
Not Qualified
座面最大高度
1.2 mm
最大待机电流
0.006 A
最大压摆率
0.21 mA
最大供电电压 (Vsup)
3.6 V
最小供电电压 (Vsup)
3 V
标称供电电压 (Vsup)
3.3 V
表面贴装
YES
技术
CMOS
温度等级
COMMERCIAL
端子形式
GULL WING
端子节距
0.5 mm
端子位置
DUAL
宽度
10.16 mm
文档预览
Dear customers,
About the change in the name such as "Oki Electric Industry Co. Ltd." and
"OKI" in documents to OKI Semiconductor Co., Ltd.
The semiconductor business of Oki Electric Industry Co., Ltd. was succeeded to OKI
Semiconductor Co., Ltd. on October 1, 2008.
Therefore, please accept that although
the terms and marks of "Oki Electric Industry Co., Ltd.", “Oki Electric”, and "OKI"
remain in the documents, they all have been changed to "OKI Semiconductor Co., Ltd.".
It is a change of the company name, the company trademark, and the logo, etc. , and
NOT a content change in documents.
October 1, 2008
OKI Semiconductor Co., Ltd.
550-1 Higashiasakawa-cho, Hachioji-shi, Tokyo 193-8550, Japan
http://www.okisemi.com/en/
Semiconductor
MS81V10160
(664,320-word
×
16-bit) FIFO memory
This version: Sep. 2000
Preliminary
GENERAL DESCRIPTION
The MS81V10160 is a 10Mb FIFO (First-In First-Out) memory designed for 664,320-words
×
16-bit high-speed
asynchronous read/write operation.
The MS81V10160 is best suited for a field memory for digital TVs or LCD panels which require high-speed, large
memory , and is not designed for high end use in professional graphics systems, which require long term picture
storage and data storage.
The MS81V10160 is provided with independent control clocks to support asynchronous read and write operations.
Different clock rates are also supported, which allow alternate data rates between write and read data streams.
The first data read operation can be performed after 1600 ns + 4 cycles from read reset and the first data write
operation is enabled after 1600 ns + 4 cycles from write reset. Thereafter, the high-speed read/write operation is
possible every cycle time.
Additionally, a write mask function by IE pin and a read-data skipping function by OE pin implement image data
processing easily.
The MS81V10160 provides high speed FIFO (First-in First-out) operation without external refreshing:
MS81V10160 refreshes its DRAM storage cells automatically, so that it appears fully static to the users.
Moreover, fully static type memory cells and decoders for serial access enable the refresh free serial access
operation, so that serial read and/or write control clock can be halted high or low for any duration as long as the
power is on. Internal conflicts of memory access and refreshing operations are prevented by special arbitration
logic.
The MS81V10160’s function is simple, and similar to a digital delay device whose delay-bit- length is easily set by
reset timing. The delay length and the number of read delay clocks between write and read, is determined by
externally controlled write and read reset timings. The MS81V10160 uses a thin and small 70-pin plastic TSOP.
1/18
Semiconductor
MS81V10160
FEATURES
664,320 words
×
16 bits
Fast FIFO (First-In First-Out) operation: 12 ns cycle time
Self refresh (No refresh control is required)
High speed asynchronous serial access
Read/Write Cycle Time
12 ns/15 ns
Access Time
9 ns/12 ns
Variable length delay bit (600 to 664,320)
Write mask function (Output enable control)
Cascading capability
Single power supply: 3.3 V ± 10%
Package:
70-pin plastic TSOP TYPE II (TSOP II 70-P-400-0.5-K) (Product name: MS81V10160-xxTA)
xx indicates speed rank.
Parameter
Access Time
Read/Write
Cycle Time
Operation current
Standby current
Symbol
tAC
tSWC
tSRC
Icc1
Icc2
MS81V10160-TA
–12
9 ns
12 ns
210 mA
6 mA
–15
12 ns
15 ns
170 mA
6 mA
2/18
Semiconductor
MS81V10160
PIN CONFIGURATION (TOP VIEW)
V
CC
NC
NC
NC
V
SS
DI0
DI1
DI2
DI3
V
SS
DO0
DO1
V
CC
DO2
DO3
V
SS
V
SS
V
CC
V
CC
DO4
DO5
V
CC
DO6
DO7
V
SS
DI4
DI5
DI6
DI7
V
SS
OE
RE
RSTR
SRCK
V
CC
1
2
3
4
5
6
7
8
9
10
11
12
13
14
15
16
17
18
19
20
21
22
23
24
25
26
27
28
29
30
31
32
33
34
35
70
69
68
67
66
65
64
63
62
61
60
59
58
57
56
55
54
53
52
51
50
49
48
47
46
45
44
43
42
41
40
39
38
37
36
V
SS
NC
NC
NC
V
CC
DI15
DI14
DI13
DI12
V
SS
DO15
DO14
V
CC
DO13
DO12
V
SS
V
SS
V
CC
V
CC
DO11
DO10
V
CC
DO9
DO8
V
SS
DI11
DI10
DI9
DI8
V
CC
IE
WE
RSTW
SWCK
V
SS
70-pin Plastic TSOP
SWCK
SRCK
WE
RE
IE
OE
RSTW
RSTR
DI0-15
DO0-15
V
SS
V
CC
NC
Serial Write Clock
Serial Read Clock
Write Enable
Read Enable
Input Enable
Output Enable
Reset Write
Reset Read
Data Input
Data Output
Ground (0 V)
Power Supply (3.3 V)
No Connection
Note: The same power supply voltage must be provided to every V
CC
pin, and the same GND voltage
level must be provided to every V
SS
pin.
3/18
Semiconductor
MS81V10160
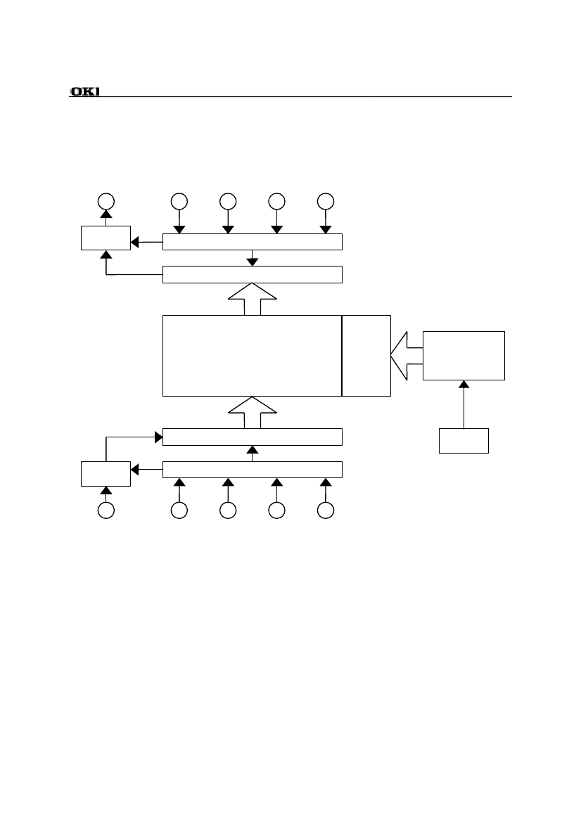
BLOCK DIAGRAM
DO (X16)
OE
RE
RSTR
SRCK
Data-output
Buffer
Serial
Read
Controller
Read Data Register
(X16)
664,320 x 16
Memory
Array
X
Decoder
Read/Write
Refresh
Timing Generater
(X16)
Write Data Register
Refresh
Counter
Data-input
Buffer
Serial
Write
Controller
DI (X16)
IE
WE
RSTW
SWCK
4/18
参数对比
与MS81V10160-12TA相近的元器件有:MS81V10160-15TA。描述及对比如下:
型号 MS81V10160-12TA MS81V10160-15TA
描述 FIFO, 664320X16, 9ns, Synchronous, CMOS, PDSO70, 0.400 INCH, 0.50 MM PITCH, PLASTIC, TSOP2-70 FIFO, 664320X16, 12ns, Synchronous, CMOS, PDSO70, 0.400 INCH, 0.50 MM PITCH, PLASTIC, TSOP2-70
厂商名称 LAPIS Semiconductor Co Ltd LAPIS Semiconductor Co Ltd
零件包装代码 TSOP2 TSOP2
包装说明 TSSOP, TSSOP70,.46,20 TSSOP, TSSOP70,.46,20
针数 70 70
Reach Compliance Code unknown unknown
ECCN代码 EAR99 EAR99
最长访问时间 9 ns 12 ns
周期时间 12 ns 15 ns
JESD-30 代码 R-PDSO-G70 R-PDSO-G70
长度 18.41 mm 18.41 mm
内存密度 10629120 bit 10629120 bit
内存宽度 16 16
功能数量 1 1
端子数量 70 70
字数 664320 words 664320 words
字数代码 664320 664320
工作模式 SYNCHRONOUS SYNCHRONOUS
最高工作温度 70 °C 70 °C
组织 664320X16 664320X16
可输出 YES YES
封装主体材料 PLASTIC/EPOXY PLASTIC/EPOXY
封装代码 TSSOP TSSOP
封装等效代码 TSSOP70,.46,20 TSSOP70,.46,20
封装形状 RECTANGULAR RECTANGULAR
封装形式 SMALL OUTLINE, THIN PROFILE, SHRINK PITCH SMALL OUTLINE, THIN PROFILE, SHRINK PITCH
并行/串行 SERIAL SERIAL
电源 3.3 V 3.3 V
认证状态 Not Qualified Not Qualified
座面最大高度 1.2 mm 1.2 mm
最大待机电流 0.006 A 0.006 A
最大压摆率 0.21 mA 0.17 mA
最大供电电压 (Vsup) 3.6 V 3.6 V
最小供电电压 (Vsup) 3 V 3 V
标称供电电压 (Vsup) 3.3 V 3.3 V
表面贴装 YES YES
技术 CMOS CMOS
温度等级 COMMERCIAL COMMERCIAL
端子形式 GULL WING GULL WING
端子节距 0.5 mm 0.5 mm
端子位置 DUAL DUAL
宽度 10.16 mm 10.16 mm
现在的SP在做什么?
移动的政策出台后,给了SP行业一个很大的打击,目前的SP只能做点播业务了,对于这样的政策,大家在观...
mdreamj 无线连接
智能模块IPM在双PWM变频器中的应用
前言 变频技术自发展以来,随着技术的进步,变频器的功率器件也经历了从 S...
feifei 工业自动化与控制
MPS 隔离式稳压 DCDC 模块——痛点讨论|你理想中的电源模块是怎样的?活动开始啦~
MPS 隔离式稳压 DCDC 模块 MIE系列,小且不凡! 痛点讨论|你理想中的电源模块是怎样的?...
EEWORLD社区 电源技术
GD32使用STM32的库写flash返回页错误
延时也加了 GD32使用STM32的库写flash返回页错误 有没可能是不兼容? 过来学习下...
ena GD32 MCU
小熊派华为物联网操作系统LiteOS裸机驱动移植06-E53_ST1扩展板驱动及使用
1.E53_ST1扩展板及其驱动 关于E53标准 接口 ...
小熊派开源社区 编程基础
利用ir2110驱动来做一个buck电路
我想做一个BUCK电路,开关电源小白。设计了一个电路图,大佬帮我看看可行得通。参数还没配。主要是i...
光芒。 开关电源学习小组
热门器件
热门资源推荐
器件捷径:
S0 S1 S2 S3 S4 S5 S6 S7 S8 S9 SA SB SC SD SE SF SG SH SI SJ SK SL SM SN SO SP SQ SR SS ST SU SV SW SX SY SZ T0 T1 T2 T3 T4 T5 T6 T7 T8 T9 TA TB TC TD TE TF TG TH TI TJ TK TL TM TN TO TP TQ TR TS TT TU TV TW TX TY TZ U0 U1 U2 U3 U4 U6 U7 U8 UA UB UC UD UE UF UG UH UI UJ UK UL UM UN UP UQ UR US UT UU UV UW UX UZ V0 V1 V2 V3 V4 V5 V6 V7 V8 V9 VA VB VC VD VE VF VG VH VI VJ VK VL VM VN VO VP VQ VR VS VT VU VV VW VX VY VZ W0 W1 W2 W3 W4 W5 W6 W7 W8 W9 WA WB WC WD WE WF WG WH WI WJ WK WL WM WN WO WP WR WS WT WU WV WW WY X0 X1 X2 X3 X4 X5 X7 X8 X9 XA XB XC XD XE XF XG XH XK XL XM XN XO XP XQ XR XS XT XU XV XW XX XY XZ Y0 Y1 Y2 Y4 Y5 Y6 Y9 YA YB YC YD YE YF YG YH YK YL YM YN YP YQ YR YS YT YX Z0 Z1 Z2 Z3 Z4 Z5 Z6 Z8 ZA ZB ZC ZD ZE ZF ZG ZH ZJ ZL ZM ZN ZP ZR ZS ZT ZU ZV ZW ZX ZY
索引文件:
2832  408  2442  1750  888  58  9  50  36  18 
需要登录后才可以下载。
登录取消
下载 PDF 文件