历史上的今天
今天是:2024年12月12日(星期四)
2019年12月12日 | 如何判断网络分析仪的阻抗测量范围呢?
2019-12-12 来源:elecfans
问题
矢量网络分析仪可以测阻抗,Z参数。但是在指标手册中,很少有标注阻抗测量范围的。如何判断网络分析仪的阻抗测量范围呢?
看到一条传输线Z11测试结果,你能知道它的特性阻抗吗?
测一个开路器OPEN的Z11,从几Ω到几kΩ的曲线是什么鬼?


阻抗测量范围

反射系数 Γ=(z-1)/(z+1),其中归一化阻抗 z=Z/Z0
阻抗测量范围是在短路和开路之间,对应反射系数Γ在{-1,1}之间。反射系数Γ对应单端口反射散射参数S11。通常,矢量网络分析仪的指标手册中,规定了反射测试准确度,例如R&S ZVA:当反射系数接近1时,反射测量不确定度<0.015。

假设反射不确定度范围±0.02,对应反射系数范围{-(1-0.02),(1-0.02)}之间。
Z=(1+Γ)/(1-Γ) *Z0
Z_max = (1+0.98)/(1-0.98)*50 = 4950Ω
Z_min = (1-0.98)/(1+0.98)*50 = 0.5Ω

射频阻抗分析
射频阻抗Z=R+jX,其幅度和相位随频率变化而周期性变化。以下实例,分析一段传输线+电阻的Z11阻抗特性。
根据电长度不同,Z11参数频响周期性变化,此周期对应端口输入电长度2倍。
例1:电长度100mm的5kΩ负载Z11分析
传输线电长度 Le = 100mm;
传输线阻抗 Zt = 50Ω;
负载电阻 R = 5kΩ;
答:Z11仿真结果1.5GHz周期变化。
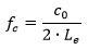
阻抗相位过零点频率:fc = C0/(2×Le) = 1.5GHz
最大值 Z11c = R = 5kΩ
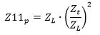
最小值 Z11p = R × (Zt/R)^2 = 0.5Ω


例2:电长度100mm的50Ω负载Z11分析
答:当R= 5kΩ电阻更换为R=50Ω时,Z11=50Ω。

例3A:电长度100mm的75Ω传输线+50Ω负载Z11分析
答:当R=50Ω,Zt = 75Ω时
阻抗相位过零点频率:fc = C0/(2×Le) = 1.5GHz
峰值 Z11p = R × (Zt/R)^2 = 112.5Ω
最小值 Z11c = R = 50Ω

例3B:假设通过上图结果,求取传输线特性阻抗
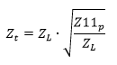
答:传输线 Z11t = R × SQRT(Z11p/R) = 75Ω
例4:电长度100mm的75Ω传输线+75Ω负载Z11分析
答:当R=75Ω,Zt = 75Ω时
阻抗相位过零点频率:fc = C0/(2×Le) = 1.5GHz
Z11 = R = 75Ω


结论
矢量网络分析仪阻抗测量范围0.5~4950Ω。
RF阻抗随频率周期性变化:
阻抗相位过零点频率

当阻抗匹配 Zt = R 时,
Z11 = R
n∙fc阻抗相位过零点是纯电阻

n∙fc/2阻抗相位±90°频率对应阻抗


C0 = 3×10^8
传输线末端负载阻抗 ZL
传输线阻抗Zt
史海拾趣
|
来源:http://www.ourdev.cn/bbs/bbs_content.jsp?bbs_sn=1398508&bbs_page_no=1&bbs_id=9999 前言 想了很久,要不要写这篇文章?最后觉得对操作系统感兴趣的人还是很多,写吧.我不一定能造出玉,但我可以抛出砖. 包括我在内的很多人都对51使用 ...… 查看全部问答> |
|
遥控是TC9012,它采用的38kHz的载波(一个载波周期35us),载波占空比1/3,经过调制后发送波形是9ms的引导码(前4.5ms由载波构成,后4.5ms是载波关断)和33bit的数据构成。比特1是0.56ms的载波和1.69ms的载波关断构成,比特0是0.56ms的载波和0.565ms的 ...… 查看全部问答> |
|
短信猫在低压配电监控应用 随着电网改造的逐步深入,电力配网技术的高速发展,科学、经济、有效的控制电网运行,必须逐步实现、提高配网自动化水平。城市配电网自动化系统是电力部门改善供电质量,合理配置供电设备,有效实现电力需求侧管理的重要 ...… 查看全部问答> |
|
有了解嵌入式eXtremeDB内存数据库的吗,有兴趣者,可以加入QQ群:51347012 可以访问:http://www.leadingtek.com.cn/ 邮箱:niexuebin@163.com… 查看全部问答> |
|
继TI Stellaris Cortex-M3 的Sandstorm(沙暴)、Fury Class(狂暴)、Dustdevil Class(旋风)之后,Tempest Class(飓风)系列已开始全球批量供应。Stellaris基于实现了革命性突破的ARM Cortex-M3技术之上,是业界领先的高可靠性实时微处理 ...… 查看全部问答> |
|
全新3.5寸tft 触摸液晶屏51,avr,pic,stm,430可以直接驱动接口:16,18位接口可选39pinic: r61505u ili9320 26万色提供51测试代码,初始化代码,接口资料,ic资料 如果有人需要的 我可以负责联系商家,估计价格会在3 ...… 查看全部问答> |




