历史上的今天
今天是:2024年12月18日(星期三)
2019年12月18日 | 光刻机是怎么雕刻出远远小于自己波长的线宽的?
2019-12-18 来源:知乎日报
线宽(linewidth)是光学专有名词,
波长λ=193nm 那线宽指的就是Δλ一般是几个到几十个波数(记不清了),
我知道题目的意思是,193nm 这么宽,怎么能刻出 45nm 的宽度呢,
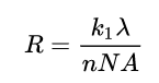
他说的是分辨率,其他答主讲了很多,我简单看公式:

R,分辨率,就是你常看见的 180nm、130nm、90nm、65nm、45nm 之类,
λ,光刻激光的波长,已经从 436nm、365nm、248nm 到了现在最常用的 193nm,
n,为介质折射率,空气约 1,水约 1.44,
NA,为数值孔径,和镜子大小,以及距离有关,
k1,就当是个系统常数吧,把掩膜那些技术都算在这个里面,
从公式算,当然就是 k1 越小、λ越小、n 越大、NA 越大,越能获得小的 R 了,
现在的情况就是λ=193nm 的时候,R 可以做到 45nm,现在好像 22nm 都出来了?不确定,
其他都好理解,就是那个 k1 里面的各种技术很难,去看别的答主吧,有详细科普。
我不想讲掩膜的技术,因为我觉得讲不清楚,大概先给几个光刻相关的示意图:




以上看不懂的直接略过,因为我也不想看。
我对掩膜技术不感兴趣,但是我对这个光刻光源还是了解一些,
光刻光源的发展以前是这样设想的,

但是战局瞬息万变,
很正常的想法是先从 193nm 准分子激光(ArF 工作介质)发展到 157nm 准分子激光(F2 工作介质),
根据长期的使用经验,我是完全不看好的,157 简直太辣鸡,又娇贵能量又低,完全没有 193nm 皮实,这种真空紫外用起来很难受,实际上大家也都知道 157 很不皮实,可能真的没人会看好过...
现在已经完全没 157 什么事情了,直接跨越了这个波长,
要么自由电子激光(FEL),要么等离子体出 13.5nm,
自由电子激光很早就有人考虑过了,至少 2006 年 Intel 就有说,

当然现在由于国家大力发展 FEL,这个概念肯定更热,我不好说它不合适,毕竟 FEL 有它可调谐,波长可以非常短(X 射线都行,只要加钱产生更高能的电子)的优势。
我认为比较爽的还是用等离子体产生 13.5nm 的光,
简单来说,就是用二氧化碳激光器,打到靶材(锡,Sn)上,
等离子体当然是接近白光光谱很宽了,正好有个材料可以反射 13.5nm,
为啥是 13.5nm,也可以认为正好是这个反射的结果,
用图简单来说,就是这样,Laer produced plasma(LPP):

据我所知,应该已经做到 500W 了,
光源,始终是限制分辨率最直观的因素,
只有实在找不到更低的时候,才会去想办法弄各种掩膜,
以至于现在掩膜技术都精进到我很难简单科普出来了...
如果 13.5nm 普及,那真实碾压了,
对了,国内现在各种想弯道超车干过 ASML,Good luck.
史海拾趣
|
新买的STC12C5412AD下载时提示MCU型号错,不知道是什么原因? 在淘宝新买的stc12c5412ad用STC-ISP软件下载时提示MCU型号错,请重选,我试了几块都是这样,而且型号是选对了呀!我用以前买的stc12c5404ad下载又可以,不知道是什么原因?难道芯片有假?不会吧!应该是我哪里出了问题,请各位大虾帮帮 ...… 查看全部问答> |
|
编译提示信息如下: 1>------ 已启动生成: 项目: Inline_ObOpenObjectByPointer.WXP, 配置: WXP checked Win32 ------ 1>正在执行生成文件项目操作 1>OSR DDKBUILD.CMD V7.2 (2008-04-14) - OSR, Open Systems Resources, Inc. 1>DDKBLD: >> Se ...… 查看全部问答> |
|
急死了,产品到最后调试发现驱动不支持Multicast 要求: 1 vxWorks环境 2 能支持Multicast、TCP、UDP 给出源码的400分,提供重要参考的100分 另开贴结分,谢了先 … 查看全部问答> |
|
剑走偏锋和非常规思维并不总是什么光彩的事情,因为你考虑的东西到底没有别人考虑的周全——一个人怎么比得上一群人呢?但是,有时候,真的不是我故意耍酷或者标新立异,才使用什么什么 非常规思维。然而,我的上司在看我的代码时,得出的结论总是 ...… 查看全部问答> |
|
一、HALCoGen工具 下载地址:http://www.ti.com/tool/halcogen CCS编译环境 下载地址: http://processors.wiki.ti.com/index.php/Download_CCS 二、步步入门资料 TMS570LS Microcontroll ...… 查看全部问答> |
|
本帖最后由 dontium 于 2015-1-23 11:39 编辑 谁是音频时钟的“老板”? deyisupport./blog/b/analogwire/archive/2013/11/20/51578.aspx 看了这篇文章,学习了很多,感谢作者的分享。。。 有以下总结: 第一,IIS的本质是同步的搬运音频数 ...… 查看全部问答> |




