历史上的今天
今天是:2025年01月07日(星期二)
2020年01月07日 | 分析矢量网络分析仪校准和验证的常见误区介绍和应用
2020-01-07 来源:elecfans
正确的校准是保证矢量网络分析仪VNA正确测量的前提,现代商用矢量网络分析仪已经提供很多智能的校准方法保证校准的正确性。使用者通常在校准之后,直接测量校准件,来验证校准的结果,这是一种常见的验证方法,但是由于历史原因和对一些细节的认识不够深入,使用者对验证结果的认识有一定误区。本文针对同轴系统的VNA校准的验证做了深入分析和解释,让使用者对验证结果有了进一步的正确的认识,同时详细论述了校准过程,特别是未知直通校准方法的原理。
1.1 传统(已知)直通校准方法的误差模型
传统的同轴系统校准方法通常叫TOSM----Through Open Short Match(又称SOLT----Short Open Load Through),是基于早期的网络分析仪的3接收节架构的一种校准方法(以2端口网络分析仪为例,可以统称为N+1结构,即端口数为N,接收机数目为N+1)。该架构中,参考接收机是两个端口之间共享的,通过开关分别在两个端口之间切换。因此误差模型是12项误差模型,这也是经典的网络分析仪误差模型,如图1和2所示,一般分为正向和反向两个子模型,通常可以省略串扰项ex和ex’,即简化为10项误差模型。该模型里面的各个误差项eij的含义如表1。实际网络分析仪中,e10、e32、e23、e01或e’01、e’23、e’32、e’10值不会等于0,因此可以将这8个项中的某2项指定为非零的任意值,这会改变波量(wave quantity)的绝对值,但是不会影响波量之间的比值(S参数的定义是波量之间的比值)因此这里假设e10=1和e’23=1,这样就得到10个独立的误差项,即10个独立的未知数【1】【2】。

图1 3接收机架构中前向测量的误差模型

图2 3接收机架构中反向测量的误差模型

表1 10项误差模型中误差项的物理意义
所谓校准,就是测量一组已知器件(即校准件或称标准件),根据仪器接收机实际测试的结果和已知校准件的特性比较,联列方程组,解出上述的误差项eij,从而为后续的测量提供修正。
这里需要对校准件做进一步说明,在同轴系统中,校准件通常是开路、短路、匹配和直通,但是由于现实中无法实现理想的开路、短路、匹配和直通,因此需要正确的标定校准件的“特征数据(characteristic data)”,例如开路应该表征为一个寄生电容和一段传输线;短路表征为寄生电感和一段传输线,匹配一般表征为一个理想50欧姆,现代网络分析仪也可以对匹配的不理想性进行表征。如图3所示。
因此下面的公式推导中,我们使用ΓopenΓshortΓmatch 分别表示开路、短路、匹配校准件的实际反射系数,由于匹配通常定义为理想50欧姆,所以一般Γmatch =0,且上述3个参数为已知量,一般在校准件的附带的存储设备里面,都以文件形式定义,对于低频的同轴校准件,其差异性不是很大,所以大部分商用网络分析仪都内置了常见型号的校准件“特征数据”的典型值(typical)。
对于直通校准件,必须精确的表征(或者说“告诉”网络分析仪)其插损和电长度,严格来讲还需要知道其S11和S22,但是目前网络分析的模型都是把直通当一个理想50欧姆的有损传输线来处理的。

图3 常用校准件的电路模型,特征数据描述了校准件的不理想性
1.2 校准的步骤
分别测试开路、短路、匹配(1和2端口分别测试,共6次)这三种单端口校准件,可以列出6个方程,再测试一次直通件,可以列出4个方程。
由于参考接收机是共用的,前向和反向测试的时候需要用2个独立的子模型,其中前向误差模型如图1,其中真正到达参考面的信号波量(wave quantity)为aG1 和bG1;网分内部接收机实测信号波量为aG2 和bG2,两者的关系如下面公式:

当测量单端口校准件时,可以得到

分别在两个端口连接Open、Short、Match校准件可以得到6个方程,其中bG2/aG2 和bH2/aH2 是接收机真正接收的数据,是实测数据,在方程组中当作已知数处理。Γstd 分别为Γopen 、Γshort 和Γmatch,可以用图3中的模型描述。
对于直通件Through的测量

当正向测试直通校准件Through的时候,会得到两个结果,即两个方程,分别是Through校准件的插损S21-T,Through校准件串联负载匹配e22之后,整体的反射系数ΓTHR FWD

类似的反向误差子模型如图2:
测试直通校准件Through的时候,方程如下,其中ΓTHR REV代表反向负载匹配e’11和Through串联之后总体反射系数

公式(7)(8)(9)(10)中的aG2 、bG2 、aH2 、bH2是接收机真正接收的数据,是实测数据,在方程组中当作已知数处理,又可以列出4组方程,和上面的6组方程一共构成10组方程,而误差项刚好也是10个,正好可以解出每个误差项,即可完成校准过程。
1.3 未知直通校准方法和模型
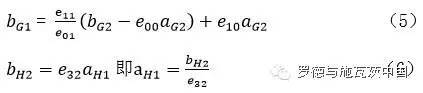
现代网络分析仪普遍采用了2N接收机架构,例如2端口网络分析仪的接收机数目为4,即每个端口都有自己的参考接收机和测量接收机,因此仪器端口的反射系数e11和e22无论在前向测试还是反向测试中,始终保持不变,即反向测试的负载匹配和前向测试的源匹配相同,反之亦然。因此其误差模型如图4所示,对应的误差项如表2,其中源和负载匹配部分用灰色底色表示。和1.1节类似,实际网络分析仪中,e10、e32、e23和e01 的值不会等于0,因此可以将这4个项中的某一项指定为非零的任意值,这会改变波量的绝对值,但是不会影响波量之间的比值(S参数的定义是波量之间的比值)因此这里假设e32=1,因此共有7个独立的误差项(即7个未知数)【3】。

图4 现代网络分析仪4接收机架构的误差模型

表2 7项误差模型中误差项的物理意义

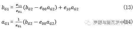
由此可以得出真正到达参考面的信号aG1 和bG1和网分内部接收机实测信号aG2 和bG2的关系:

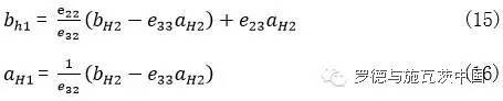
同理可得在端口2,到达参考面的信号aH1 和bH1和网分内部接收机实测信号aH2 和bH2的关系

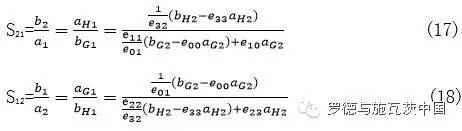
对于单端口校准,可以使用公式(3)和(4)列出6个方程。对于直通校准件分别仅测试其插损S21和S21

注意,(17)和(18)中,4个接收机实测信号都是参与的,因此要正向的测试一次直通校准件,把4个接收机的结果带入(17),再反向测试一次,把4个接收机的结果带入(18)。只要保证直通校准件是互易的,即S21=S21,即可以使(17)和(18)相等,得出一个方程。和上面单端口校准的6个方程联列,一共有7个方程,和7个未知数,就可以解出各个误差项eij【3】。
2.1 采用校准件进行验证的结果和常见误区
在介绍验证之前,先简单介绍一下有效系统数据(effective system data)这个概念:通过系统误差校准,对误差网络进行数学补偿后,剩余的系统测量误差称为“有效系统数据”。
对于网络分析仪测试精度(包括校准)的验证方法有很多,例如T-check,失配负载、50Ω-25Ω-50Ω阶跃空气线等,并且还带有可溯源的参数文件。验证的方法也比较复杂,主要是面向计量单位的。普通用户通常会直接使用校准件做一些简单的验证。
首先这里要强调,用校准件去验证,实际测试的结果不是“理想”参数,而是校准件“特征数据”。
因此直接测试Open,并不是在史密斯圆图最右端开路位置的一圈点,而是一个沿等驻波比圆,向源(generator)方向的一条曲线。这是因为如图3中的开路校准件实际上是一个寄生电容串联一段有损传输线,对于不同频率传输线引起的相移(包括损耗)是不一样的,因此聚在一起的数百个扫频点,每个点的频率是不一样的,相移各不相同,就显示成一个曲线了,如果看S11的相位,也不是0度,原因同上。
同理如果测试Short校准件的S11,看到的也是在史密斯圆图左端短路点附近,沿等驻波比圆,向源(generator)方向的一条线,曲线的长度和扫频范围有关。
至于Match,由于目前的网络分析仪一般把它当作理想50欧姆匹配来处理的。所以校准完再次接上Match校准件,其反射系数非常低,一般能达到-60dB左右,这个值可以理解为“有效系统数据”即补偿后的剩余误差。值得注意的是,对于Match会有一个特殊的所谓“记忆(re-recognition)”现象,也就是说用某套校准件校准,如果还是测刚刚校准用的那个Match,反射系数可以到-60dB左右,如果换任何其他一套校准件中的Match,都不可能达到-60dB,一般只能达到-30dB左右。这主要是因为,低频段的网络分析仪都把Match当作理想50欧姆,校准算法仅仅根据当前测试的这个Match的结果来补偿,而实际上每个Match的物理特性都是略有差别的,因此换上另外的Match就不可能达到-60dB左右的反射系数。当然理想的50欧姆也是不可能实现的,这也是影响测量不确定度的一个因素,目前商用网络分析仪在测试反射系数,特别是反射系数特别小的器件的时候(-25dB到-35dB),不确定度一般都能达到2-3dB。
因此有必要再次强调,任何匹配校准件真实的S11(反射系数)达不到-60dB,一般只有-30到-40dB左右。在校准时,系统将它当作理想的匹配,就得到了-60dB这样低的结果。
现代网络分析仪也支持用S参数包来定义校准件【4】,如果采用S参数包文件定义,校准后再测量Open,Short和Match,测量的结果就和S参数定义包里面的数据完全一样。值得注意的是,目前的商用校准件通常只是对Open、Short、Match使用S参数包,对Through还是使用有损传输线的模型。这主要是由于传输线模型已经能比较精确的描述其特性了,由于Through是2端口器件,必须是有S2P文件,而如果用了S2P文件,文件的参数必须和校准件的连接的方向有关,而实际中也不方便规定校准的时候Through的连接方向。
2.2 直通校准件的验证
无论是TOSM还是UOSM校准方法,最后一个接的校准件就是Through。因此校准完之后直接看Through的结果也是最方便和最常用的简单验证方法。下面对在TOSM和UOSM两种方法下Through测量的结果进行详细分析。
和上面类似,使用TOSM校准之后,直接测量Through的结果就是校准件模型中对应的“特征数据”,有一定的插损和相位。这一点是需要注意的,很多使用者一直有一个认识的误区,认为这时候的插损应该是0,相位也是0,这是不正确的。
对于UOSM校准,校准后直接测量Through校准件,这时网络分析仪就把Through直接当成一个被测件来处理,测到的插损和相位就是这个校准件实际的特性。值得一提的是,UOSM校准非常适合两端为不同接头类型的器件的测试。例如一个被测件的输入是N型接头,输出是SMA接头。在测试这种器件时,可以在网分的一端使用N型电缆,另一端使用SMA型电缆,校准的时候,可以在N型接头这边使用N型的Open、Short、Match校准件校准,在SMA型接头这边使用SMA的Open、Short、Match校准件。在校准Through的时候,使用任意一个质量较好的N-SMA转接头即可,校准完之后,参考面就是电缆的N型接头和SMA型接头的末端。因此UOSM校准方法也可以用于测试一些接头适配器和射频电缆。
TOSM校准完之后,Through校准件不拿掉,直接测试S11或S22,此时测得的是有效负载匹配(可以当做接近理想50欧姆)串联一段有损传输线的结果,如图5所示,是在史密斯原图中心匹配点附近的一个小圆圈,随着频率的变化呈现一定的复数阻抗特性,逐步偏离50欧姆原点。由于如图3,Through校准件是当作理想50欧姆的有损传输线来处理的,没有考虑Through本身的S11反射,这个值换算成反射系数用dB表示仍然很小,一般网络分析仪在8GHz以下,仍然有-50dB左右。
如公式(8)和(10),TOSM校准在测量直通时,仍然要测试S11和S22,并对其补偿,因此校准之后,对当前使用的这个Through校准件也有所谓“记忆(re-recognition)”现象,此时换成另外任何一个Through之后,都不可能达到-50dB的回波损耗的,甚至仅仅把当前这个Through换一个方向连接,也达不到-50dB这个量级。

图5 TOSM校准之后直接测试当前校准件的S11在史密斯圆图上的结果
但是USOM对Through的S11和S22没有做测量和补偿,Through甚至是未知的,更没有把它描述为一个理想有损传输线,因此就没有所谓的“记忆(re-recognition)”现象。校准完之后,直接测试Through,其S11和S22就是这个Through本身的端口反射系数,一般在-30dB以下。但是这才是合理的,TOSM校准后的结果实际上是“记忆(re-recognition)”效应的结果,是过于理想化的仪器的剩余误差,不能反映校准件和系统的真实特性。
虽然UOSM校准之后,直接测试校准件的结果没有TOSM那么理想,但是UOSM才是更精确的校准方法,其结果更能真实的反映校准件的特性。
3.小结
本文详细介绍了传统直通校准方法TOSM和未知直通UOSM校准方法的基本原理,误差模型,校准件不理想性的表征和所谓的“记忆(re-recognition)”现象,在这个基础上,对比了不同校准方法,校准之后测量当前校准件的结果,指出了一些常见的误区,强调了UOSM校准方法的优点和方便性。为广大网络分析仪使用者的日常使用提供指导。
史海拾趣
|
春节时一位同学说起,她带学生在大唐实习,遇到一位浙大的学生。当时有一个什么东西坏了,师傅给了那学生一把螺丝刀,没想到那学生说,“我是浙大的,怎么能干这个”。后来过了几天,那学生说是病了,但是他妈妈来帮忙请的假。我的同学说一开始就觉 ...… 查看全部问答> |
|
由一个简单的按键程序想到的问题。。。。。。手机上按键BUG??? 先说一下问题产生的背景: 一个产品中,设置了7个按键,按照一一对应的接法 BP2.0~BP2.6分别对应按键 KEY1~KEY7 KEY1---OK (开/关机兼PAUSE/RESUME) KEY2 ---VOL- KEY3 --- VOL+ KEY4 --- SETTIME KEY5 --- 上一首 KEY6 --- 目录 ...… 查看全部问答> |
|
我在Test1Dlg.cpp 文件中 使用 lphaBlend 函数 也导入了以下头文件和 lib #pragma comment (lib,\"Coredll.lib\") #include 出现错误误码: Test1Dlg.cpp E:\\Test1\\Test1Dlg.cpp(97) : error C2065: \'AlphaBlend\' : unde ...… 查看全部问答> |
|
有没有人做过嵌入式中的网络部分的,现在想要用arm+linux加上http、dns等功能,不知道协议怎么弄的; 在网上看了也有免费的uip、iwip等tcp/ip簇,这些是在linux内核的代码里面裁剪的吗? 内核裁剪的话怎么搞? 另外协议与操作系统是怎么联系起来 ...… 查看全部问答> |
|
每次用这软件烧写。。只能烧写2到3次。。然后就烧不进去。。必须拔了USB再插过USB。。才能烧进去。。 感觉这就是流氓软件。。很火大了。。。求介绍好的烧写软件撒。。。。… 查看全部问答> |
|
请问stm32学习到什么级别的时候,可以摆脱入门级这个概念了 请问入门级和中高级的分水岭在哪里,我把st公司提供的库大概看懂了,并且拿了个开发板进行了各种的折腾调试,下面不知道干嘛了 [ 本帖最后由 jensenhero 于 2012-6-6 15:35 编辑 ]… 查看全部问答> |
|
作者:宋老师,华清远见嵌入式学院讲师。开发环境: · 硬件平台:pv210开发板 · 主机环境:Ubuntu10.04 · Linux内核:Linux-2.6.35 · 无线USB网卡 腾达 型号:W311M &nb ...… 查看全部问答> |
|
从算法设计到硬线逻辑的实现 编辑 目 录1内容介绍 1内容介绍本书是《从算法设计到硬线逻辑的实现--复杂数字逻辑系统的Verilog HDL设计技术和方法》的配套用书。主要内容包括12个实验练习和Verilog的语法手册。各个实验由浅入深,从简 ...… 查看全部问答> |




