历史上的今天
今天是:2025年01月18日(星期六)
2020年01月18日 | 汽车排放瞬态工况法测量用气体流量分析仪
2020-01-18 来源:elecfans
1、引言
汽车污染是当前人们最为关心和急需解决的重要课题之一。作为汽车排气污染物的检测的重要方法,简易瞬态工况法(VMAS法,IG法)可以统计排放总质量,监控车辆的真实排放情况,设备成本不高,测量比较准确,与新车认证检测结果具有相关性,可以检测NO相关因子等一系列优点,成为人们研究的热点。VMAS(Vehicle Mass Analysis System)检测方法在美国和欧洲都有很好的应用基础,而目前我国应用的VMAS测试系统的流量分析仪基本上都是进口的,尤其以美国sensors公司的产品最多,该产品不仅价格高,维护修理很不方便,而且不利于与底盘测功机、气体分析仪等组成完整的测试系统完成二次开发。为此,我们进行了流量分析仪的研究,旨在降低设备成本、促进产品的国产化。
2、流量分析仪工作原理
VMAS测试系统的结构如图1所示。

图1 VMAS测试系统组成
汽车在底盘测功机上按国标要求的特定工况行驶,底盘测功机模拟车辆在不同工况下的加速惯量和道路行驶的瞬态工况负荷,汽车原始排放尾气一部分通过采样探头直接进入高精度五气分析仪,分析尾气排放中CO、CO2、HC、NOX、O2的浓度值。同时,其余全部尾气经过收集装置,由周围空气进行稀释后在风机的作用下送入流量分析仪测量稀释气的体积流量,并将体积流量测量值送入主控计算机,同时五气分析仪的气体浓度分析结果和底盘测功机的行驶速度和里程也送入主控计算机,计算机根据气体浓度、体积、稀释比、速度、时间计算出汽车尾气中有害气体CO、CO2、HC、NOX的总体排放量(g/km)。其中稀释比Dil根据空气中的氧浓度、混合气的氧浓度以及汽车原始排放气体中的氧浓度按式1计算得到。
(1)
3、流量分析仪的结构设计
通用的涡街流量仪表,因表体大、结构复杂,无法安装在气体流量分析仪上,为满足使用要求,采用新的设计思路,将三角柱式涡街发生体和压电式涡街检测探头直接安装在气体流量分析仪的取样管上,设计成一体化的结构形式,因而结构更加紧凑。
流量分析仪的整体结构如图2所示,取样管总长为800mm,根据工作时气体的流量范围,确定流量分析仪的管道内直径D为 100mm,各传感器的安装位置见图中标注。

1-氧浓度传感器2-压力取样孔 3-三角柱涡街发生体
4-压电式涡街检测探头 5-温度传感器
图2 流量分析仪的整体结构
选择三角柱式涡街发生体,这种发生体产生的涡街信号强,因为漩涡在它的边界层分离点是固定的,所以斯特罗哈尔数相对恒定,大约为S1=0.16,涡街频率与流量的线性关系好。将三角柱垂直安装在气体管道中,气体绕过扰流柱时,出现附面层分离,在扰流柱的左右两侧后方会交替产生旋涡,根据卡门涡街理论,涡街频率与流速的关系为,其中:d-三角柱的底边宽度,取为28mm;u-流体流速。根据D、d值,确定三角柱的参数 L1,L2及θ值,如图3。

图3 三角柱的结构(单位:mm)
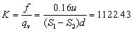
根据雷诺数计算公式,式中:ν-空气的运动粘度,在标准压力下20℃时,流量范围140m3/h~930m3/h对应的雷诺数为3.3~21.9 ×104,满足涡街测量的上下限要求,且具有理想的仪表系数。理论计算仪表系数K为:
(3)
S1、S2分别为管道的横截面积和三角柱的迎风面积,最终的仪表系数应以标定实验的结果为准。
4、流量分析仪的电路设计
流量分析仪的电路设计包括流量传感器、氧浓度传感器、温度传感器、压力传感器四种传感器的选型及测量电路设计,电路结构框图如图4所示。

图4流量分析仪的电路框图
4.1 流量传感器
采用压电式检测漩涡的方式,当气体流经管道时,三角柱产生的涡街周期性的对探头的压电陶瓷产生作用力,使之产生周期性变化的电荷,通过电荷放大电路,再经过逐级滤波、整形转化成相应的方波电压脉冲,频率为44Hz至297Hz,幅值约为8.8V。该信号通过光电隔离,一方面可抑制来自测试现场的干扰,一方面将幅值将到5V以下,送入单片机进行周期测量。由于涡街的频率与气体流量成正比,通过测量电压脉冲的频率(周期)来测量气体体积流量。
涡街流量传感器的电路结构如图5。

图5 涡街流量计电路原理框图
4.2 氧传感器
采用A-02/T型氧浓度传感器,该产品依据PTB 18.10设计,主要针对汽车尾气测量。在干燥环境中,氧浓度在0~100%范围内变化时,输出模拟电压信号7 ~ 13.5 mV,响应时间不超过5秒,线性误差<0.5%,工作压力范围75~125kPa,有NTC温度补偿。通过测量电路进行信号放大,并进行零点调节和增益调节,使其电路输出电压0~2.40V,对应的氧气浓度为 0~22.5%。4.3 温度传感器
采用Pt100铂电阻作为感温元件,将它与金属保护管、绝缘材料做成一体的铠装结构,以减小混合气中的有害气体和杂质影响铂电阻的性能。为提高测温精度,进行了多点标定,在软件中采用分段线性化的方法。同时,为提高传感器的抗干扰能力,采用三线制的电路结构。实际测试该传感器的测温精度在(5~150)℃范围内优于1.0℃。
4.4 压力传感器
压力测量采用MPXA6115A系列片上集成式硅压力传感器,该传感器内部集成了双极运算放大器电路和薄膜电阻网络电路,内部结构见图6。

图6 MPXA6115A的内部结构
经测试,传感器的输出电压信号与输入气体压力具有非常好的线性关系,输入气体绝对压力在15kPa~115kPa范围内变化时,其最大相对误差不大于1%。
4.5 数据处理系统
采用C8051F021单片机作为数据处理核心,完成温度、压力、流量、氧浓度信号的采集与处理。C8051F021单片机内部集成了多通道 12位逐次逼近型ADC转换器,转换速率达100kps,采用内部电压基准发生器产生2.4V高精度基准电压,温度系数为15×10-6/℃。温度、压力、氧浓度传感器的输出,经过零点调节和增益调节,调节成0~2.40V的电压信号,进入单片机进行AD转换,AD转换的精度为0.025%。
流量传感器的输出为44Hz至297Hz的方波电压脉冲,对于这一频率范围的信号,采用测量周期的方法,更方便、更准确。选择计数器TIME0 用来计数,进行周期测量。采用22.1184MHz主频的十二分之一作为计数脉冲,16位的计数器,计数误差为±1,周期测量的不确定度约为万分之二。
单片机将三路AD转换后的数据和周期测量值进行定标,转换成相应的温度、压力、氧浓度和流量值,通过串口传入主控计算机。在控计算机上采用VB 语言编写了计算机与单片机的通讯程序及人机界面程序,进行测量参数的显示和存盘,并留有接口,可与五气分析仪及底盘测功机的控制程序进行数据交换,完成汽车最终排放量的计算
5、实验与结论
为了验证流量分析仪的测量精度,将流量分析仪的流量、温度、压力、氧气浓度四个传感器分别进行标定,并进行综合精度评定。其中温度测量精度±1℃,压力测量精度优于1%,氧浓度测量精度优于0.5%,完全满足国家标准对测试仪器的要求。
由于实验项目较多,本文只给出了主要传感器涡街流量传感器的标定实验方法及数据。
将气体流量分析仪安装在直径为100mm的管道上进行了标定实验,以LXH系列临界流音速喷嘴气体流量标准装置作为流量标准,通过选择12个音速喷嘴的不同组合来调整气道中气体的流量,在测量范围140m3/h至930m3/h内,选取5个标定点,实验数据见表1。
1 流量标定实验数据

从表1中看出,流量分析仪的平均仪表系统为1159.91,基本误差为0.93%。通过对流量分析仪中的流量传感器的标定实验,我们可以看出,流量测量的偏差不超过1%,与美国sensors公司生产的同类产品的5%相比,精度有较大提高,并且成本大大降低,适合在国内大规模推广使用。
上一篇:耐压测试仪作用及特点
下一篇:PHY动平衡测量仪的使用注意事项
史海拾趣
|
在测量、控制等领域的应用中,常要求单片机内部和外部RAM中的数据在电源掉电时不丢失,重新加电时,RAM中的数据能够保存完好,这就要求对单片机系统加接掉电保护电路。掉电保护通常可采用以下三种方法:一是加接不间断电源,让整个系统在掉电 ...… 查看全部问答> |
|
<汇编器提示> COPYRIGHT MANLEY ELECTRONICS CO., LTD. 2001-2006 <汇编器提示> ASSEMBLY COMPLETE. 0 WARNING(S), 1 ERROR(S) ERROR #14 IN 560 (VCJPDH.ASM, LINE 560): TAR ...… 查看全部问答> |
|
我司(安徽某科技股份公司)欲招聘以下人员:一、产品经理岗位职责: 1、针对客户需求制定解决方案并进行推广;2、配合销售人员拓展相关市场,与客户进行沟通交流;3、分析研究集成电路的发展趋势和技术进展,为公司战略决策提供建议;4、参 ...… 查看全部问答> |
|
MSP430F541x, MSP430F543x ,MSP430F543xA,MSP430F541x,MSP430F55xxA官方示例代码 附件中代码是TI提供的MSP430F541x, MSP430F543x ,MSP430F543xA,MSP430F541xA, MSP430F55xx 官方示例代码,可以作为MSP430使用过程中最可靠的代码参考 [ 本帖最后由 wstt 于 2012-5-31 20:52 编辑 ]… 查看全部问答> |




