历史上的今天
今天是:2025年02月20日(星期四)
2020年02月20日 | AD630实现蓄电池内阻在线测量方案
2020-02-20 来源:elecfans
AD630的特性
①可从100dB噪声中恢复信号;
②频道带宽:2Mhz;
③压摆率:45V/us;
④串扰:-120dB(1kHz);
⑤引脚可编程、闭环增益:±1和±2;
⑥闭环增益精度和匹配:0.05%;
⑦通道失调电压:100μV(AD630BD);
⑧350kHz全功率带宽。
ad630引脚图及功能


AD630实现精密整流电路

这个电路的工作原理可以用下图来说明。AD630内部的两个运放构成了增益为2的同向与反向放大器,然后用模拟开关来切换这两路。当输入信号为正时,模拟开关打到同向放大器那端,输入信号为负时,模拟开关打到反向放大器那端。

上面的电路的增益为2,利用AD630还可以实现其他倍数的增益。这里不多介绍了,有需要的可以参考AD630的芯片手册。这个电路可以工作在输入信号频率从DC到几百kHz的范围内。最佳的工作频率范围为 DC 到几kHz。在这个频段,这个电路的效果应该时这些精密整流电路中最好的。上述电路的输入阻抗随输入电压的极性变化,输入电压为正时输入阻抗很高,输入电压为负时,输入阻抗较低。所以对信号源的输出阻抗有一定的要求,如果输入信号的输出阻抗较高,需要增加一级缓冲级。
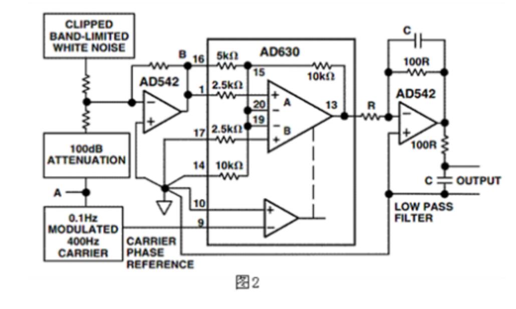
AD630的锁相放大电路
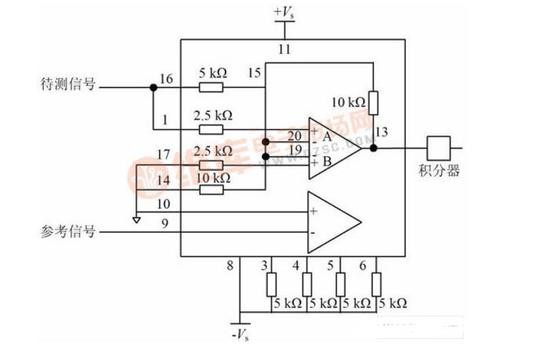
AD630的锁相放大电路示意图如图2所示。

A点的波形为被检测信号与载波调制后的双边已调制波形,B点为双边已调制波形和噪声叠加后的波形,AD630的第9脚接载波信号,方波、正弦波都可行,相当与一个参考相位。AD630的输出接一个积分电路及一个低通滤波器,以达到的信号的完美恢复。
AD630实现蓄电池内阻在线测量
1、测量原理
实现电池内阻在线测量的基本原理如图1所示。

图1蓄电池内阻在线测量原理框图
当信号源给电池注入一个交流电流信号时,测量出在电池两端产生的交流电压信号和输入电流,就可计算出电池的内阻:

式中:Vrms为电池两端交流电压信号的有效值;Irms为输入电池中交流电流信号的有效值。
采用交流法测量电池内阻,不需要对电池进行放电,从理论上讲电池在任何状态下都能对其实施测量。
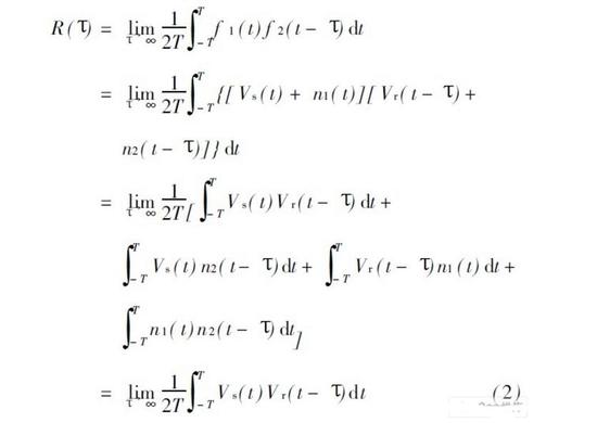
在实际测量中,由于电池的内阻在微欧或毫欧级,注入一定的电流后,在电池两端产生的电压信号非常微弱,往往被噪声淹没,放大后再测量,用交流电压表很难区分出来有用的信号,需要用相关检测的原理,才能测量出电池两端的交流电压信号。
运用相关器检测微弱信号的原理如图1中相关检测部分所示,它由开关式乘法器和积分器组成,蓄电池两端检测到的微弱信号经过前置放大滤波后输入到乘法器信号输入端,注入蓄电池的正弦波信号通过电路变换形成方波信号后,输入到乘法器参考信号端。若电池两端的有用信号为Vs(t),混入的噪声为n1(t),则输入端的混合信号为f1(t)=Vs(t)+n1(t);参考端的有用信号为Vr(t-τ);当混入的噪声为n2(t-τ),则参考端的混合信号为f2(t-τ)=Vr(t-τ)+n2(t-τ)。
根据相关检测的原理,通过乘法器相乘运算,信号和噪声、噪声和噪声之间是互相独立的,它们的相关函数为零,只有信号和信号相关,且可从噪声中检出。具体可表示为:

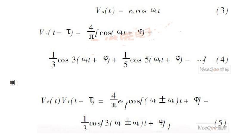
当蓄电池两端检测到的正弦信号为Vs(t),方波参考信号为Vr(t-τ):

因为电池两端的信号频率和参考信号基波频率相同,即ωr=ωs,积分器的输出为:

式中:K只与积分器的传输系数有关;φ为检测信号与参考信号相位差。
如果调整φ=0,则输出直流信号达到最大值,充分说明,通过乘法器和积分器以后,抑制了噪声。在输入信号和电路传输系数一定的情况下,输出信号的大小只与电池的内阻成比例,只要测出蓄电池两端交流电压值和通过蓄电池的交流电流值,就能计算出蓄电池的内阻,实现在线测量。
2、测量系统的硬件电路设计
依据上述原理所设计的系统原理框图如图2所示,由通路选择开关电路、前置放大带通滤波器、AD630乘法器电路、积分器电路、交流恒流信号产生电路、方波转换电路、取样电路、单片机控制系统以及外部显示通讯等组成。由于蓄电池的内阻很小,故必须降低导线阻抗对电池内阻的影响,因此采用四引线连接法。系统输出的交流恒流信号接到电池两端,再将电池内阻产生的电压信号,连接到输入转换开关电路。上电后,首先由单片机控制调整检测信号和参考信号的相位差!使之为0。开始测量后,先由模拟开关CD4052选通电流测量通路,该通路在向蓄电池注入交流信号的回路中设置一标准取样电阻,以测定交流信号的电流值;再选通电压测量通路,测定电压值。采集到的信号通过放大滤波等处理后送入单片机中,利用式(1)算出蓄电池的内阻。

图2电池内阻在线测量系统框图
2.1放大滤波电路
由于采集到的信号非常微弱,所以必须先进行前级放大滤波再输入相关器中。如图3所示,低噪声前置放大器由仪用放大器AD620和带通滤波器组成。

图3前置信号放大电路原理图
AD620是一种高性能仪器放大器,性能稳定,增益可调,其放大倍数由1脚和8脚之间的电阻RG决定,G=1+(49.4kΩ/RG)。信号经过其放大后,通过带通滤波器检测出0.4~3kHz的带通信号,输送到乘法器信号端。直流放大电路采用高精度运放OP27实现程控增益放大,放大器的反馈电阻利用模拟开关CD4052进行选择,通过单片机控制选择放大倍数,使信号在最佳A/D采集电压范围内。
2.2相关运算电路
在设计中相关器采用AD公司生产的AD630,这是一款高精度的平衡调制器,内部电阻均是高稳定度的SiCr薄膜电阻,保证了其工作的精确性和稳定性。
它的信号处理应用包括平衡调制和解调、同步检测、相位检测、正交检波、相敏检测、锁定放大和方波乘法等。
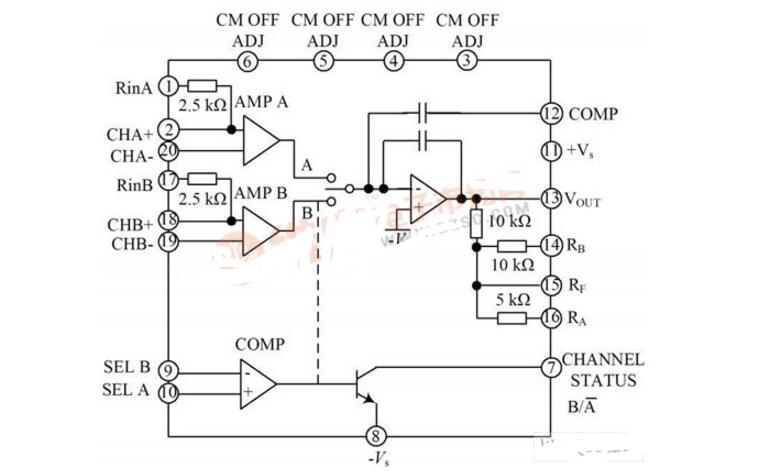
AD630逻辑图如图4所示,其内部可以被认为是集成了两个前置放大器,一个用来选通前置放大器的精密比较器,一个作为多路选择开关以及输出级积分运算放大器。拥有高切换速度和快速稳定的线性放大器,由于比较器的响应时间快速,可使开关失真降至最低。此外,还有极低的通道间串扰。AD630通常用于高精度的信号处理以及动态范围宽的仪器设备。在锁相放大电路中,当其用作同步解调器时,可以恢复在100dB噪声背景下的微弱信号。AD630最优的工作频率是在1kHz,故注入蓄电池的信号和参考信号选为1kHz,同时1kHz也处于适宜的电池内阻频率响应范围,不过其在零点几兆赫兹时仍然可正常工作。
采用AD630作为乘法器实现的相关检测电路原理图如图5所示。其中,AMPA和AMPB分别配置为正相放大器和反相放大器。输入信号为一路待检测信号和一路参考信号。待检测信号通过1脚送入,参考信号通过9脚输入到比较放大器。待检测信号在器件内部根据载波信号的正负进行翻转,实现了开关乘法功能。

图4AD630器件逻辑图
图5AD630实现相关检测电路原理图
3、实验结果与分析
3.1前置放大与滤波结果分析
设计中前置放大要求为100倍,根据AD620中RG计算公式RG=49.4kΩ/(G-1)计算出RG为499Ω。
在此对电容误差为#5%,电阻误差为±1%的放大电路使用Multisim软件进行仿真,如图6所示,通道A为输入信号,通道B为经过AD620放大后的输出信号,若输入信号有效值为13.621mV,则输出为1.36*8V,可实现精确稳定的放大。

图6AD620实现精确稳定放大波形
3.2带通滤波结果分析
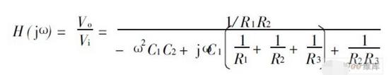
带通滤波是通过一级低通滤波器和一级高通滤波器实现的。低通滤波器是采用多重反馈型的LPF,如图3中U3级所示,可解得该滤波器传递函数为:

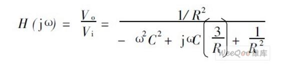
使R1=R2=R3=R,C1=C2=C,可得:

由于当时通带截止,所以由可解得截止频率f=037/(2RC)。按照设计要求选取R=20kΩ,C=1nF,仿真得到其频率特性如图7所示。

图7低通滤波器的频率特性
由图7可看出,当增益为-3dB时所对应的频率为3kHz,同理设计的高通滤波器频率特性如图8所示。

图8高通滤波器的频率特性
3.3AD630结果分析
按照AD630设计要求连接好电路,实现乘法效果如图9所示,通道3为输入信号,通道2为参考信号,通道1为输出信号,信号端和参考端输入1kHz的正弦信号,输出则为两信号相乘的结果。经过AD630实现乘法后,再将相乘后的信号送入积分器中,可将噪声从信号中滤去,变为直流信号。在信号中混入30dB的噪声,通过以AD630为核心的相关器检波如图10所示,使通道3为原始信号,通道4,1分别是混入噪声和通过AD630后的信号波形;通道2为积分后的直流信号,其值等于原始信号通过相关检测后的值。该设计很好地抑制了噪声,在内阻测量系统中可很好地将所需信号检测出来。

图9AD630乘法器输入/输出波形
图10相关器检波性能
3.4系统测试结果分析
按照文中的思路方案设计制作了一套电池内阻在线测量系统,并与使用stanfordSR830所测得的结果进行了对比。测试电池为使用一年左右的环宇牌12V,15A·h铅酸蓄电池,测试结果如表1所示。由表1的测量数据可以看出,该系统与stanfordSR830的测量结果基本吻合。
图11是一只6V,4.5A·h的蓄电池放电过程中在线测量的内阻曲线图,电池充满电后对其进行放电,放电电流选择为650mA。放电过程中内阻值逐渐增大,在放电的初期内阻变化率很小,到后期开始有明显的变化。在蓄电池剩余容量为50%以上时,内阻值变化很小,当容量降至40%以下时,则内阻值有明显变化,尤其在20%以下时,随着容量的减少,内阻值急剧增大,此时应注意对蓄电池及时进行充电,避免对蓄电池造成损害。
表1内阻测试对比结果
图11蓄电池内阻的放电特性
图12为蓄电池充电过程中的内阻曲线图。将蓄电池放电至截止电压后,选取200mA电流对其进行充电,在充电过程中对内阻进行在线测量。由测试结果可看出,充电过程与放电过程的变化正好相反,刚开始内阻先急剧减小,然后缓慢变化,最后几乎不变。同样内阻的变化说明了容量的变化。

图12蓄电池内阻的充电特性
史海拾趣
|
Can not perform this operation on a closed dataset-- delphi 多物料进出仓系统 在添加物料时出现 这个错误提示:Can not perform this operation on a closed dataset if RbtnMulti.Checked = true then //多物料 begin //构造字符串 & ...… 查看全部问答> |
|
大家有没有知道一个软件-Junction(Windows Junction creater and repaser point)是怎么做的? 或者知道如何可以将一个隐藏分区Mount成一个文件,我之前用DefineDosDevice给这个隐藏分区一个MS-DOS的device name了,然后呢? 多谢啊~~… 查看全部问答> |
|
用同样的程序分别写到STC89c52中时液显能够显示字体,而写到ATMEL AT89S52的MCU时不能够显示, 用的是同样的电路板和同样的电源,这是怎么回事啊, STC 是国产,ATMEL AT89S52是进口的 ...… 查看全部问答> |
|
10月23日下午阿牛哥去世平集团北京公司参加TI Stellaris M3技术培训会 。听听TI Stellaris M3 在LED Controller ,General Motor Controller 还有 Security Alarm Monitoring 等产品上的应用。星 ...… 查看全部问答> |
|
菜鸟刚入安卓驱动行业建立个QQ群 175027958 交流学习 175027958 本人菜鸟,新入安卓驱动行业,所以建立个QQ群用于交流学习。欢迎入驻学习交流。 [ 本帖最后由 zhoouauruheng 于 2013-5-24 19:39 编辑 ]… 查看全部问答> |
|
受全球触控面板产能从台湾转移至大陆以及庞大内需的大力推动,中国大陆已成为全球触控面板最大消费市场和制造基地。台湾曾作为全球主要的触摸屏产区,其份额正逐渐下跌,而大陆触摸屏企业紧握市场机遇,扩张势头迅猛,全球占比不断增长。2013年,我 ...… 查看全部问答> |




