历史上的今天
今天是:2025年03月04日(星期二)
2020年03月04日 | 基于ATmega16 的电液伺服阀反馈控制器设计方案
2020-03-04 来源:eefocus
简介:本文针对电液伺服阀在实践应用中的不足,设计了电液伺服阀控制器,显着提高了电液伺服阀在实践应用中的稳定性和精确性。
0 引言
电液伺服阀在工程系统中有着广泛的应用。尽管液压系统具有维护困难、泄漏、噪声比大等缺点,但是对于大功率的自动控制系统,液压控制是其他控制形式所不能替代的。
随着电液伺服系统应用领域的拓展,对电液伺服阀提出了更高的要求,如控制精度高、动态响应快、成本低等。但由于外部环境的干扰或电液伺服阀本身的性能不足,会出现伺服阀输出压力抖动过大、输出压力偏高或偏低的问题。故设计此电液伺服阀反馈控制器,可实现电液伺服阀稳定精确地输出压力。
1 总体设计
电液伺服阀反馈控制器核心控制芯片采用AT-mega16 单片机,ATmega16采用先进的RISC 结构,代码执行速度高,工作可靠稳定。
外围电路的设计主要包括输入信号采集电路、电流信号输出电路以及故障切换电路三部分。
考虑工程实际应用需求及系统集成化要求,将两路控制电路集成使用一片ATmega16单片机实现控制。充分利用了单片机的资源,同时节约开发成本。
系统总体结构如图1所示

2 输入信号采集电路
电液伺服阀依靠电流信号进行控制,控制电流范围为4~40 mA,对应输出压力为0~20 MPa.ATmega16有8路10位的ADC,采集电压的范围为0~5 V.因此需要将控制电流信号进行调理供单片机A/D口进行采集。
输入信号采集电路主要由I V 转换电路和A/D 采集电路组成,实现将4~40 mA电流转换为可供单片机采集的0~5 V电压。电路如图2所示

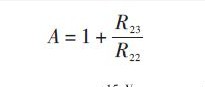
输入电流信号4~40 mA 经过精密电阻R21 采集转换为0.1~1 V电压信号。R16 ,R22 ,R23 与放大器LM324构成同相比例放大电路。放大倍数计算公式为:

放大电路将电压信号放大为0.5~5 V.实际测试结果见表1

实测数据满足设计要求。注意表1 中第一行单片机采集后经D/A输出电压为0.66 V,与放大电路输出电压0.49 V有一定误差。实际在输入电流为0 mA时,D/A也会输出0.66 V 电压。这是因为电路中二极管D11 的静态压降影响。
3 电流信号输出电路
电流信号输出电路包括D/A 输出电路和V I 转换电路。
D/A 输出电路使用AD558 芯片实现,单片机控制AD558输出0~10 V电压。后级V I 电路将0~10 V电压转换为可达4~40 mA范围的电流信号以驱动电液伺服阀。
3.1 D/A输出电路D/A的选择需要考虑其精度、量程范围以及转换建立时间等参数,同时还要注意使用的方便性。AD558是一款具有高转换速度以及简单方便的控制接口的电压输出型D/A转换器。
AD558的主要性能指标如下:8位并行数字量输入宽度;两种电压的输出范围,分别为0~10 V和0~2.56 V;相对精度±(1 2 )LSB;高速1 μs输出转换建立时间;单一电源供电,电源电压的范围4.5~16.5 V;内部具有基准电压源,不用外接基准源;内部集成有数据输入锁存器;低功耗,75 mW.
AD558的两种输出选择依赖于简单的外部接线方式,如图3所示

反馈控制器D/A输出电路如图4所示

实际测试效果见表1中D/A输出。
3.2 V I 转换电路
V I 转换电路将D/A 输出的电压信号转换为可达4~40 mA范围的电流信号,并且输出电流与输入电压满足线性关系。
在设计V I 转换电路时,考虑其带载能力,使其在带有一定负载时能稳定精确输出一定的电流信号而不受负载大小的影响。本文设计V I 转换电路带载等效范围为0~200 Ω。电路如图5所示。
电阻R7,R8,R9 并联构成反馈电阻记为Rf.输出电流Iout 流过Rf 产生反馈电压Vf.经过电路分析可得:

实际V I 电路测试结果见表2.

实测数据满足设计要求。电路中Q1、Q2接成达林顿管形式以增强三极管驱动能力。二极管D4防止在控制器故障被切除时伺服阀电流倒流入控制器。
4 故障切换电路
当系统发生故障时,系统需要切除控制器,不对输入电流做调节使其直接输入伺服阀。在此选用模拟电路切换开关MAX4660来实现。
MAX4660可作为单输入双输出选择或者双输入单输出选择的电流型CMOS开关芯片。切换速度极快,控制简单。具体参数为±15 V 供电;25 Ω的低开启电阻;1.5 Ω的最大导通电阻;150 mA持续电流;200 mA最大峰值电流;低功耗,3 mW.
控制逻辑如图6所示。故障切换电路如图7所示。

Input 为外部电流信号,作为单一输入端。Iout 和IAD 作为两个选择输出端。IAD 连接系统输入信号采集电路,Iout连接伺服阀。
当系统正常工作时,单片机给芯片6 引脚高电平,则Input与IAD接通,使单片机可以采集到输入电流并进行控制调节。当系统故障时,单片机给芯片6引脚低电平,则Input与Iout接通,使输入电流直接流入伺服阀。
5 系统控制算法
控制器采用传统的增量式数字PID控制算法,并对其作出一定的改进以改善其性能,方便参数整定。
传统增量式PID控制算法为:

这样,对多个参数的整定调节问题简化成了对一个参数KP 的整定。控制流程如图8所示。

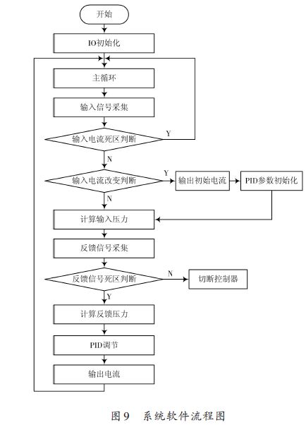
6 系统软件设计
软件结构采用前后台系统设计,主程序是一个死循环结构,通过函数调用和全局变量与子程序进行参数传递[5].软件流程如图9所示。

输入信号为4~40 mA 电流信号,反馈信号为4~20 mA电流信号。电流信号若小于4 mA则认为信号处于死区,输入信号处于死区则控制器不予响应,输入信号不在死区而反馈信号处于死区则认为系统故障,切断控制器。
7 结束语
本文针对电液伺服阀在实践应用中的不足,设计了电液伺服阀控制器,显着提高了电液伺服阀在实践应用中的稳定性和精确性。经过现场实际测试,该控制器实现了控制电液伺服阀稳定精确地输出压力,解决了电液伺服阀输出压力摆动、输出压力不足或过大的情况。并且通过故障判断和故障自切除功能使系统工作更为可靠。
史海拾趣
|
赛灵思公司(Xilinx)今天宣布获得汽车行业质量标准ISO/TS 16949认证。ISO/TS 16949标准使赛灵思公司能够为整个汽车供应链提供质量和可靠性最高的电子元器件。赛灵思公司在此之前已经满足了其它世界级质量标准的严格要求,包括ISO 9 ...… 查看全部问答> |
|
所有代码均在Keil C51 7.0以上版本编译通过。只需要能够运行Windows 98 以上版本的操作系统、并能够安装Keil C51 7.0以上版本的软件即可。… 查看全部问答> |
|
1、阅读了一下i.MX51 ARM Cortex A8的datasheet,对于IOMUX还是不清楚, 2、还有一些缩写如:PAD、ALTn(n=0, 1, 2...)等等很多,配置一个引脚做很多工作。 3、感觉freescale的比较难理解,以前做三星的一看寄存器就知道是干什么的。 ...… 查看全部问答> |
|
定制系统时加入了微软拼音中文输入法,结果运行时,只出声母,不出韵母,打不出中文来,请问有人遇到过没,怎么解决? 1、设置了环境变量SET LOCALE=0804; 2.在platform settings中选择了中文(中国),英文(美国),默认语言设为中文; 3.在P ...… 查看全部问答> |
|
不知道大家对于调试的看法怎么样。一般你在调试的时候是release还是debug的。我每次都基本上时release的。因为是经理教的。只有在调试一些流层性,我们不知道架构的东西我才用debug。反正基本上不用。。用过几次也很懊恼。。点个屏漫天的打印信息。 ...… 查看全部问答> |
|
求助:料仓里的白石灰粉,当放料后,形成如图(四周高,中间低的料位情况)。 这时候测量仪表无法准确测了料位高度。 求助解决方法:如何能让料仓里的料位处于相对水平状态;或者采用什么样的仪表才能够做到精确测量?… 查看全部问答> |




