历史上的今天
今天是:2025年03月29日(星期六)
2020年03月29日 | 可见分光光度计及使用方法及步骤
2020-03-29 来源:elecfans
一、原理
分光光度计的基本原理是:物质在光的照射下会产生对光吸收的效应,而且物质对光的吸收是具有选择性的。各种不同物质都具有其各自的吸收光谱。因此不同波长的单色光通过溶液时其光的能量就会被不同程度的吸收,光能量被吸收的程度和物质的浓度有一定的比例关系,即符合比耳定律。

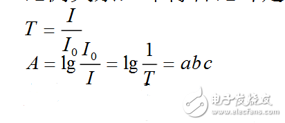
其中:T—透射比 A—吸光度 I0—入射光强度 a—吸收系数
I—透射光强度 b—溶液的光程长度 c—溶液的浓度
由上式可以看出当吸收系数a与光程长度b不变时,吸光度与溶液浓度成正比。本仪器正是依据这一原理而设计的
二、用途
本仪器可供物理、化学、医学、生物学等学科进行科研或供化学工业、食品工业、制药工业、冶金工业、临床生化、环境保护部门进行各种物质的定性定量分析。
可见分光光度计的使用方法如下:
可见分光光度计仪器工作电源一般为220V,允许10%的电压波动,为了延长光源使用寿命,在不使时不要开光源灯,单色器是仪器的核心部分,装在密封盒内不能拆开,为防止色散元件受潮发霉,必须经常更换蛋色器盒干燥剂。
(1)分光光度仪器工作电源一般为220V,允许10%的电压波动。
(2)为了延长光源使用寿命,在不使时不要开光源灯。
(3)单色器是仪器的核心部分,装在密封盒内不能拆开,为防止色散元件受潮发霉,必须经常更换单色器盒干燥剂。
(4)必须正确使用吸收池,保护吸收池光学面。
(5)光电转换元件不能长时间暴光,应避免强光照射或受潮积尘。

可见分光光度计具体操作流程如下:
一、可见分光光度计开机
1、开机前,检查电源插座是否接上;
2、启动电源开关,仪器显示“723C”
3、仪器经自测后,按“MODE”键后再按“2”键,仪器显示“DATA”
二、可见分光光度计基本使用方法
1、按“GO TO λ”键,输入设定波长;
2、四个比色皿,其中R位置放置参比试样,其余三个放入待测试样。将比色皿放入样品池内的比色皿架中,盖上样品池盖;
3、将参比试样推入光路,按“ABS%”键,使仪器自动调零和置满度;
4、然后将待测试样推入光路,显示试样的吸光度值;
5、如果要想将待测试样的数据打印出,只需按“START/STOP”键即可。
可见分光光度计使用注意事项:
1、每天使用结束后,应仔细检查样品室内是否有溶液溢出,若有溢出必须随时用滤纸吸干;
2、可见分光光度计仪器使用完毕,用防尘套罩住。
上一篇:红外分光光度计作用及用途
下一篇:怎么判断酸度计质量的好坏
史海拾趣
|
RS232接口总是让我们爱恨交织,N多年前有个偷电式一只PNP/NPN偷电式串口盛行于当下,其最早的知识产权ZENYIN同学估计当追溯到小齐(XIAO-QI)叔叔那里,近几年随着欲望的膨胀,ZENYIN作了改进,改进的电路如下: 有这样炫彩: 1.速率更高,实测可以 ...… 查看全部问答> |
|
要求简单描述如下 1.自己编写代码,实现PLB总线(IBM的CoreConnect总线的一部分)的功能 2.再添加一个master,一个slave,实现功能 一直没有头绪,到这里来看看哈,望各位高手不吝赐教啊 问题如下: 1.有没有什么IP核的集成,设计规范? 2.有 ...… 查看全部问答> |
|
最近在做WINCE下SDHC方面的测试,其中加了一些RETAILMSG/DEBUGMSG打印信息,结果发现从示波器中的返回值和寄存器SDIRSP0中的值不一样,根据SDIO协议R4的响应没有问题,但为什么寄存器中的值和想象中的不一样呢,有知道帮帮忙… 查看全部问答> |
|
添加了一个IWebBrowser2控件,根据达人文章在stdafx.h中添加如下头文件: #undef __urlmon_h__ #include #undef _WINNETWK_ #include #undef __AFXHTML_H__ #include \"afxhtml.h\" 报错C:\\Program Files\\Windows CE Tools\\wce420\\POC ...… 查看全部问答> |
|
最近塑料散热器也引起人们的注意。按理导热性能好的材料通常都是导电性能好的材料,反过来导电性能差的塑料,其导热性能一定也差。这是必然的。所以显然金属要比塑料的导热性好。实际上也是如此。那么,是不是塑料就一定不能用来做散热器呢?并不如 ...… 查看全部问答> |
|
用PA0做为IO按键输入,加了一个上拉电阻。 当你按下按键时,PA0没有被拉低,依旧是高。 请用过ZET6的兄弟们,指点一下。 程序如下: void GpioInit(void) { /* Configure all unused GPIO port pins in Analog Input mode (floating in ...… 查看全部问答> |
|
今天是万圣节 不知道大家有什么活动呢~~ Gordon Varney是TI电池管理部门的一名系统工程师,为了庆祝即将来临的万圣节,他动手制作了一个通过无线充电来提供电能的南瓜灯。 具体来说,他在镂空的南瓜底部嵌入一个铜线圈,连上一个无线电源接收器开 ...… 查看全部问答> |




