历史上的今天
今天是:2024年09月02日(星期一)
2020年09月02日 | 以MSP430单片机为控制运算核心的CCD可选调光电控系统设计
2020-09-02 来源:elecfans
1.引言
自我国研制出第一台大型经纬仪以来,摄影一直是电影经纬仪用于对飞行器(导弹,火箭,宇宙飞船)的主要测量记录手段。摄影胶片记录的内容在判读时能否被发现,与目标相对背景的对比度有极重要的关系。调光的目的在于使胶片的曝光量保持在胶片感光特性曲线的直线段所规定的范围之内:

(r为底片反差系数),而不受外界背景亮度变化的影响。以前经纬仪传统的摄影调光是采用变换平衡电桥参数的方法来控制像面照度,检测元件为光敏电阻。为了适应胶片感光度、摄影频率和天空背景亮度等各种摄影条件。就要由操作人员来装定数种不同,并按一定关系排列的背景照度值。每次摄影时,预先用照度计测出天空背景照度值,还要查曝光列表,选择合适的电阻装定在检测电桥的一个臂上,用来设定背景照度值。模拟信号经过伺服放大驱动直流电机带动密度盘转动,实现自动调光。这样的系统,调光精度差,不稳定环节多,调整方法复杂,很难满足现代高速宽范围摄影系绒调光要求。
八十年代中期,针对1~200帧/秒,高速宽范围摄影系统的要求,研制一种新型调光系统。仍然采用变密度盘调节像面照度,同时可连续地75.~120.调节旋转式快门的开口角,精确控制曝光时间,系统中应用了单片微型计算机,实现智能型自动控制,只要将摄影频率、胶片感光度给定,单片机就代替操作人员自动选择背景照度,同时根据计算和逻辑断准确控制照度值和曝光时间,从而达到摄影全自动调光目的。
靶场经纬仪在经过CCD改装后,其调光方法一般是根据天气与航路光线情况设置相机积分时间,然后手动调整5档可变密度盘,在进行摄影时,由于相机曝光量也不能连续调整,使得CCD摄影达不到理想的效果。
根据此种情况与现代电子技术的发展趋势,设计了一种基于MSP430单片机的CCD摄影自动调光电控系统,在CCD摄影过程中能根据监视器的效果进行连续的自动或半自动像面光强调整,使目标与背景的对比度高,从而达到理想的摄影成像效果。
2.调光系统的组成及工作原理
调光系统主要由可变密度盘,光敏元件,处理电路,步近机及其功率机组成,其组成关系如图1所示。

在摄影过程中,CCD靶面上的曝光量为:

其中:
E为像面照度;T为CCD摄影积分时间。
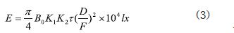
像面照度的表达式为:

由(3)可见:当0 B , 1 K , 2 K 和τ 的结构参数确定后,则CCD靶面照度随天空背景亮度而改变。
曝光时间T即为CCD相机的摄影积分时间,可以根据摄影频率和光路情况选择一个合适的参数,其大小一般为1~100mS.
从系统原理框图见,自动调光由单片机控制一对中性可变密度盘来控制像面照度。中性可变密度盘是装在望远物镜摄影系统会聚光路中的一对中性滤光片,这对滤光片的透过率是随其转角按一定函数关系连续变化的。其总的变化量相当于六级光圈32倍。光圈的示值刻在调光手钮上。调光手钮装在可折卸的自动调光调焦操面板上,中间通过联轴节与中性可变密度盘步进电机相连。
像面照度的检测元件为光敏三极管,它置于摄影CCD靶面面前视场的边缘。接收主光路进来的背景光,经像面照度值检测电路进行光电转换,得出像面照度。
当选择自动调光方式时,根据控制面板上参数设置旋钮的设置照度参数值,设定CCD靶面照度。然后像面照度值,照度设置参数由多路开关按地址分时经过样保持器由A/D模数转换器转换成数字量读入单片机内存。单片机根据光敏三极管检测的照度值,照度设置参数,实时计算出检测照度与输入参数设定的曝光标准量比较,得出照度误差。单片机根据此误差量。选择最佳照度值控制量,由步进机带动中性可变密度盘,控制照度误差逐渐减少,直至误差趋近于零,步进机停止运转。如背景光不断变化,此调整也不断进行。
当选择半自动工作方式,操作人员根据监视器效果来控制步进机使变密度盘前进或后退,从而使透光量比较连续增加或减少,得到理想的成像效果。若是变化的光路,操作人员可以根据监视器成像不断调整。
3.控制电路
主要控制电路由像面照度检测电路,照度设置电路,多路开关与采样保持器,A/D转换电路,单片机及功率机模块等组成。
像面照度检测电路由光敏三板管接收主光路射入的天空背景光,并转换成与天空的背景亮度成正比的电压值,输出0~10V直流电压。
照度设置电路主要由采样电位器与10V基准电压组成,10V电压给电位器供电,旋转电位器便得到一定的采样电压信号输入至多路开关。
多路开关与采样保持器分别由芯片AD7501与AD583组成。
A/D转换电路使用的芯片是A/D574.模数转换电路分别将多路开关选通的两个模拟量转换成12位数字量,并行读入单片机内存。模拟电压在10V为A/D参考电压时,则最小分辨率为2.44mV.
MSP430单片机具有功耗低,处理能力强大,丰富的外围模块,方便高效的开发环境等优点。选用MSP430F149型号,它是16位的单片机,具有8MIPS的处理速度,60kB的存储容量,2kB的RAM,多个定时器及48个I/O口。可以胜任对该系统的控制。
MSP430组成的控制电路原理如图2所示。
MSP430通过P1.0~P1.3对A/D转换的控制分别读取采集照度值与设置照度值,通过P1.4接收限位开关的信号来进行限位信息显示,通过P1.6~P2.1来读取面板控制按钮的信息来进行相关的操作。

主光路射入的天空背景光,并转换成与天空的背景亮度成正比的电压值,输出0~10V直流电压。
照度设置电路主要由采样电位器与10V基准电压组成,10V电压给电位器供电,旋转电位器便得到一定的采样电压信号输入至多路开关。
多路开关与采样保持器分别由芯片AD7501与AD583组成。
A/D转换电路使用的芯片是A/D574.模数转换电路分别将多路开关选通的两个模拟量转换成12位数字量,并行读入单片机内存。模拟电压在10V为A/D参考电压时,则最小分辨率为2.44mV.
MSP430单片机具有功耗低,处理能力强大,丰富的外围模块,方便高效的开发环境等优点。选用MSP430F149型号,它是16位的单片机,具有8MIPS的处理速度,60kB的存储容量,2kB的RAM,多个定时器及48个I/O口。可以胜任对该系统的控制。
MSP430组成的控制电路原理如图3所示。
MSP430通过P1.0~P1.3对A/D转换的控制分别读取采集照度值与设置照度值,通过P1.4接收限位开关的信号来进行限位信息显示,通过P1.6~P2.1来读取面板控制按钮的信息来进行相关的操作。

当使用半自动调光方式时,面板上有步进机前进与后退的按钮,且)还有快与慢的按钮,单片机根据面板按钮信息来驱动步进机,操作人员通过监视器的反馈来不断调整,从而达到调光的目的。
该系统程序使用多个模块化的子程序编写。如双精度乘法程序。除法程序、双字节、单字节的加法和减法程序,步进机脉冲驱动程序,延时,定时程序,长短焦距的修正程序,系统误差修正程序。由于程序设计采用模块化,简化了主程序,使人机对话更为方便,就系统软件功能而言,通用性强,使系统控制更加灵活。
4.结束语
这种智能型调光系统具有使用方便,操作灵活,调光控制精度高,速度快等优点。而且简化了系统硬件结构,增强控制功能,增加了系统的稳定性,可靠性,并具有温度特性好,抗干扰能力强等特点。该调光电控系统在经纬仪CCD摄影系统加装后具有普遍的应用前景。
史海拾趣
|
论坛里各位兄弟,小弟最近学习Vector的CANoe工具,手头唯一的学习资料就是那些帮助文件,感觉很费力。该工具功能多,都不知道从何学起。 想求Vector CANoe或相关工具学习资料、入门简易教程。不知道有没有那位兄弟愿意提供资料给小弟学习学习,谢 ...… 查看全部问答> |
|
异步FIFO中使用格雷码的优点:地址变换是不会产生冒险竞争,不会产生错误的读写,这点大家都明白,没问题! 问题是:读指针和写指针随着fifo的深度的不同而不停变化,那么读指针和写指针是用格雷码也需要同步才能产生空满信号标志,那么两者是如何 ...… 查看全部问答> |
|
[HKEY_LOCAL_MACHINE\\Drivers\\BuiltIn\\VSPD1] \"DevConfig\"=hex:\\ 10,00,00,00,05,00,00,00,10,01,00,00,00,4b,00,00,00,00,08,00,00,00,00,00,00 [HKEY_LOCAL_MACHINE\\Drivers\\Active\\22] \"Hnd\"=dword:0004c9a0 \"Name ...… 查看全部问答> |
|
INT8U OSQPost (OS_EVENT *pevent, void *msg) 1、这个函数是发送消息的函数,如果每次都发送一个消息过来,这个消息是指针,那么我认为这个消息一定是一个占一定内存空间的结构。 2、而清空消息队列的函数只是将消息队列的信息给置成空了,但是 ...… 查看全部问答> |
|
今天早上九点多查看六级成绩,过了!呵呵····· 今天晚上在外边吃饭,刚吃完手机响了,原来是在论坛申请的“eZ430-RF2500开发套件”到了! 今天我们学校的一卡通正式开通了; 今天重庆 ...… 查看全部问答> |




