历史上的今天
今天是:2024年10月28日(星期一)
2020年10月28日 | 电源小贴士:波特图如何设置频率响应分析仪?
2020-10-28 来源:eefocus
环路增益是描述开关模式电源特性的一个重要参数。使用频率分析仪来测定环路增益能让您稳定电源并优化瞬态响应。
在测定波特图之前,您需先断开环路并在断点处插入一个小型电阻器,如图1所示。该频率分析仪有一个信号源,可跨该小型电阻器注入交流(AC)干扰信号vds。

图1:典型的波特图测定设置
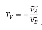
其结果是,AC波动出现在跨该断点的两个节点(A和B)处。该频率分析仪具有两个接收器,能测量节点A和节点B处的信号vA和vB。您可用方程式1计算出该系统环路增益TV:
方程式1
为了准确测量TV,该分析仪必须准确测量vA和vB。频率分析仪接收器已限制了信号测量分辨率。在本文中,笔者将用来自AP Instruments公司的AP300(一款被广泛使用的频率响应分析仪)作为一个设置示例。图2展示了AP300的接收器技术规格,图3则展示了信号源技术规格。

图2:AP300频率响应分析仪的接收器技术规格(图片来源:AP Instruments公司)

图3 AP300频率响应分析仪的信号源技术规格(图片来源:AP Instruments公司)
干扰注入信号幅度
根据接收器技术规格,可测量的信号应大于5μV。为准确测量vA和vB的电压,这两种信号的幅度均应大于该频率响应分析仪可测量的信号振幅。
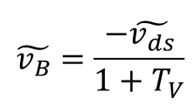
vA和vB的电压与干扰注入信号及环路增益本身都有关联(方程式2):
方程式2
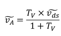
求解方程式1和方程式2可得出方程式3和方程式4:
方程式3
方程式4
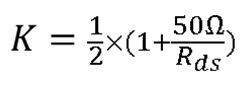
当频率比交叉频率低时,环路增益的量值|TV|会远远大于1。信号vB接近于vds/|TV|。为确保信号vB/大于5μV的可测量幅度,干扰信号vds应大于5μV × |TV|。具备严格调节功能的电源转换器通常拥有大于60dB的直流(DC)增益。根据经验法则,vds在100Hz的频率下起始值应为50mV。
另一项重要技术规格是信号源的输出阻抗。AP300具有50Ω的输出阻抗。为确保提供足够的电能,最好在断点处插入一个50Ω的匹配电阻器。如果您是为补偿信号强度的损耗而调整注入信号幅度,那么使用较小的电阻器是可以接受的,但不要选择太小的电阻器。笔者建议使用这样的电阻器 —— 其电阻值大于该频率响应分析仪信号源输出端口输出阻抗的五分之一。
如果您插入了一个小型电阻器,那么请用方程式5来调整干扰信号幅度。例如,对一个20Ω的电阻器而言,频率为100Hz时vds的起始值应为88mV。
方程式5
在整个频率范围内都保持较大的恒定干扰信号幅度并非上策。随着频率的增加,|TV|的量值应减小,而这会使信号vsub>B
史海拾趣
|
RF工程师的音:urgent:某著名半导体外企新出来的职位1_RF(内部推荐) 某著名外企新出来的RF 职位, 不过指明了公司名, 注意不符合请勿浪费资源,同时请注意工作地点有:上海,深圳,北京,成都,请在简历中注明申请去的地方。紧急招募,越开越好。请发中英文简历到 herofighter88@gmail.com 除Technical Hub Manager, ...… 查看全部问答> |
|
在PPC下编译出现如下编译错误: 2140: Error: unsupported relocation type &nb ...… 查看全部问答> |
|
请问我Hook了ZwCreateFile后,为什么获取不到文件名呢? 我在我的HookZwCreateFile中 DbgPrint(\"HookZwCreateFile:%wZ\\n\",ObjectAttributes->ObjectName); 打印出来的全是目录,没有文件名?为啥? 谢谢各位驱动大牛。。。。… 查看全部问答> |
|
我安装完Quartus 8.0后(已成功破解),利用其自带的IP生成工具生成了一个三速度以太网的IP核,同时生成了仿真文件,当我打开仿真工具Questasim运行生成的仿真脚本文件时,开始正常,当执行到do mac_wave.do时 生成波形文件变得非常慢,而且信号是 ...… 查看全部问答> |
|
本人在做关于DSP28035的芯片,在实验配置时钟的时候波形不对。所以下面我想用DSP控制TOPWAY的液晶屏无法成功! DSP+12M的晶振,晶振旁边的电容15pf. 出来波心是这样: ...… 查看全部问答> |
|
本帖最后由 paulhyde 于 2014-9-15 04:04 编辑 南华大学黄智伟 好的系统设计方案是取得好的竞赛成绩的保证 … 查看全部问答> |




