历史上的今天
今天是:2024年12月21日(星期六)
2020年12月21日 | 新一代硅芯片温度传感器让测量精度更高
2020-12-21 来源:EEWORLD
摘要
本文检验最新一代硅芯片温度传感器的准确性。这些传感器提供数字输出,无需线性化,支持小封装尺寸和低功耗。其中许多具备报警功能,以提醒系统存在潜在故障。
简介
电子行业对精度的要求越来越高,温度检测也不例外。目前市面上有许多温度检测解决方案,每一种都有其优缺点。硅芯片温度传感器,线性度相对较高,而且精度远超其他解决方案。但是,硅芯片温度检测领域的最新进展意味着,使用硅芯片解决方案将可以实现高分辨率和高精度。
新冰箱
那时正是2020年3月,英国即将进入封锁状态。全球都在囤积食物,以防超市关门,而未来似乎充满不确定。就在这种时候,Bramble家的冰箱罢工了。满脑子都回响着Kenny Rogers单曲“露西尔”中的歌词“你怎么选择在这样一个时刻离开我”,我们开始在网上搜索新的替代品。
几天后,新冰箱送来了,前面板上有数字温度显示,完全符合Bramble太太的需求。建议的设置温度为-18℃,一个小时后,冰箱达到了所需的温度,可以开始存放食物了。我有点怀疑温度读数的准确性,但只要能够冷冻食物,我对此也不太在意。但问题是:我是一名工程师,有一颗热衷探索的心,在连续几天面对新冰箱毫无变化的数字读数后,我崩溃了。我必须测试一下这件新电器的精度。
温度传感器
工业应用中使用的温度传感器种类繁多,各有其优缺点。鉴于有许多文本详细介绍了各种温度传感器的操作,我不再赘述,只是提供一些总结。
热电偶
热电偶提供了一种低成本、中等精度的高温测量方案。正如Thomas Seebeck在1821年发现的那样,它们基于两个结点之间产生的电压,每个结点都由不同的金属构成,放置于不同温度环境下。对于K型热电偶(由镍铬合金和镍铝金合金制成)来说,它输出约41 μV/°C的电压,可用于测量超过1000°C的温度。但是,塞贝克效应依赖于两个结点之间的温度差,因此,在热端测量相关温度时,冷端必须持续测量已知的温度。讽刺的是,在冷端需要另一个温度传感器来测量温度,ADI公司 AD8494这样的器件正好能够完全解决这个问题。热电偶本身的体积很小,所以热质很低,能够快速响应温度变化。
RTD
行业广泛使用电阻温度检测器(RTD)来测量中温(<500°C)。这些器件由一种电阻会随温度的变化呈正变化的金属元素组成,最常见的是铂(Pt)。事实上,PT100传感器是行业中使用最广泛的RTD,因使用材料铂制成,且在0°C时电阻为100 Ω而得名。虽然这些器件无法测量热电偶那样的高温,但它们具有高线性度,且重复性较好。PT100需要精确的驱动电流,从而在传感器上产生一个与温度成比例的准确的压降。PT100连接线的电阻导致传感器的电阻测量出现误差,所以开尔文连接是最典型的传感器使用方法,因此出现3线或4线传感器。
热敏电阻
如果需要低成本的解决方案,且温度范围较低,那么使用热敏电阻通常就足够了。这些器件线性化程度很低,具有斯坦哈特哈特方程的特征,电阻随温度升高而减小。热敏电阻的优点是,电阻会在小幅温度变化下呈现大幅变化,所以,尽管它具有非线性,但仍然可以达到很高的精度。热敏电阻还提供快速的热响应。单个热敏电阻的非线性是明确定义的,所以可以使用LTC2986这类的组件来进行校准。
二极管随处可见,但(Vbe)压降至吸电流并非如此...
为了测试这个新家电的准确性,最终我选择使用硅芯片温度传感器。它们到手即用,无需冷端温度补偿或线性化,可以提供模拟和数字输出,且预先经过校准。但是,直到最近,它们都只能提供中等准确性。虽然足以指示电子设备的健康状态,但它们一直不够精准,无法测量(例如)体温,体温测量通常需要达到±0.1°C的精度(根据ASTM E1112标准)。但是ADI公司最近发布的ADT7422和ADT7320硅芯片温度传感器改变了这一状况,它们的测量分辨率分别为±0.1℃和±0.2℃。
硅芯片温度传感器利用晶体管的Vbe的温度依赖性,根据莫尔方程,约为:
![]()
其中Ic为集电极电流,Is为晶体管的反向饱和电流,q为电子上的电荷(1.602 × 10–19库仑),k为玻尔兹曼常数(1.38 × 10–23),T为绝对温度。
方程1中集电极电流的表达式也适用于二极管中的电流,那么为什么每个应用电路都使用晶体管而不是二极管呢?事实上,二极管中的电流还包括电子通过pn结的耗尽区与空穴重新结合所产生的复合电流,这表明二极管电流与Vbe和温度具有非线性关系。这种电流也出现在双极晶体管中,但流入晶体管的基极,不会出现在集电极电流中,因此非线性程度要低得多。
整合上述因素可以得出
![]()
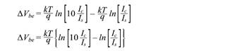
与Ic相比,Is很小,所以我们可以忽略方程2中的1项。我们现在可以看到,Vbe根据Ic中的对数变化呈线性变化。我们也可以看到,如果Ic和Is是常数,那么Vbe随温度呈线性变化,因为k和q也是常数。在晶体管中施加恒定的集电极电流,并测量Vbe如何随温度变化,这项任务很简单。
Is与晶体管的几何形状有关,并且对温度有很强的依赖性。和许多硅芯片器件一样,温度每上升10°C,其值就会翻倍。虽然ln函数降低了电流变化的影响,但仍然存在Vbe的绝对值随晶体管的变化而变化的问题,因此需要校准。所以,实际的硅芯片温度传感器使用两个完全相同的晶体管,迫使1 Ic集电极电流进入一个晶体管,10 Ic进入另一个。我们能在集成电路中轻松生成完全相同的晶体管和精准的比率电流,所以大多数硅芯片传感器都使用这种结构。电流的对数变化会引起Vbe出现线性变化,然后测量Vbe的差值。
由方程2可知,对于温度相同的两个晶体管,其Vbe的差值为

这是因为
![]()
我们可以看出
![]()
通过使不同的电流通过每个晶体管并测量Vbe的差值,我们消除了非线性Is项、不同的Vbe的影响,以及与晶体管的几何形状相关的所有其他非线性效应。因为k、q和ln10都是常数,所以Vbe的变化与绝对温度(PTAT)成正比。当电流差为10倍时,两个Vbe的电流差在大约198 μV/°C时随温度呈线性变化。参见图1查看实现这一效果的简单电路。

图1.测量温度的基本电路。
必须慎重选择图1中的电流。如果电流过高,在晶体管的整个内部电阻范围内,会出现很高的自发热和压降,从而影响测量结果。如果电流过低,晶体管内部的漏电流会增大误差。
还应注意的是,前面的方程都与晶体管的集电极电流有关,而在图1中,晶体管中注入的是恒定的发射极电流。在设计晶体管时,可以明确确定集电极和发射极电流之间的比例(且接近整数),这样集电极电流与发射极电流成比例。
这还只是开始。要使硅芯片温度传感器达到±0.1°C的精度,还需要大量的表征和微调。
是一只鸟?还是一架飞机?
不,这是一个超级温度计。是的,它们确实存在。需要将未校准的硅芯片温度传感器放入装满硅油的浴缸中,准确加热到所需的温度,然后使用超级温度计进行测量。这些器件的测量精度可以精确到超过小数点后五位。将传感器内部的保险丝熔断,以调整温度传感器的增益,从而利用方程y = mx + c将其输出线性化。硅油提供非常均匀的温度,因此可以在一个周期内校准许多器件。
ADT7422在25℃至50℃温度范围内的精度为±0.1℃。这个温度范围以典型的38℃体温为中心,使得ADT7422非常适合用于精准监测生命体征。在工业应用中使用时,我们对ADT7320进行了调整,使其精度达到±0.2℃,但温度范围扩大到-10℃到+85℃。

图2.安装在0.8 mm厚的PCB上的ADT7422。
但是,硅芯片温度传感器的校准并不是唯一的问题。采用极其精确的基准电压时,裸片上的压力会破坏传感器的精度,以及PCB的热膨胀、引线框架、模塑和裸露焊盘,所有这些都需要考虑。焊接工艺本身也有问题。焊料回流工艺会使零件的温度提高到260℃,导致塑料封装软化,裸片的引线框架变形,这样当零件冷却,塑料变硬时,机械应力会被封存在裸片中。ADI公司的工程师花了好几个月的时间进行细致的实验,最终发现0.8 mm的PCB厚度最为合适,即使在焊接之后,也可以达到±0.1℃的精度。
那么香肠的温度到底有多低?
我将ADT7320连接到一个微控制器和一个LCD显示器上,并编写了几百行C语言代码来初始化传感器和提取数据——可以通过在DIN引脚上连续写入32个1s来轻松初始化这个部分。配置寄存器被设置为使ADT7320以16位精度连续转换。从ADT7320上读取数据之后,至少需要等待240 ms的延迟之后,才会发生下一次转换。为了便于使用非常低端的微控制器,所以我手动编写了SPI。我将ADT7320放在冰箱里大约30分钟,以获取新冰箱的准确温度。图3显示冰箱的温度为–18.83°C。

图3.冰箱的温度为–18.83°C。
这种精度给我留下了非常深刻的印象,虽然存储食品并不需要达到这种温度精度等级。然后,在英国夏季的某一天,我测量了办公室内的温度。如图4所示,温度为22.87°C。

图4.办公室的温度为22.87°C。
结论
硅芯片温度传感器已取得长足进步,变得非常精确,能够实现非常高的生命体征监测精度。虽然它们内部的技术都是基于成熟的原理,但要使它们达到亚度精度水平,还是需要付出巨大的努力。即使达到了这种精度水平,机械应力和焊接也很容易抹掉数小时校准所取得的成果。
ADT7320和ADT7422代表了多年来达到亚度级精度温度表征的技术顶峰,即使是在焊接到PCB上之后。
史海拾趣
|
全球最大的半导体厂商大举挺进AV产品等主处理器市场。美国英特尔已制定了面向电视、蓝光录像机、机顶盒(STB)等台式AV产品以及路由器等网络设备等各种用途,正式开展SoC(system on a chip)☆业务的方针。 ☆SoC(system on a chip):集成有计 ...… 查看全部问答> |
|
每次找工作遇到挫折了,我都会在心里慢慢安慰自己“我是人才,我一定会找到一份我适合我的工作的”。 一转眼,一个月过去,我本以为我来深圳之后,在我会很快的进入一家大企业,比如:中兴,华为了。可是现在才知道,当时 ...… 查看全部问答> |
|
三相无刷无传感器直流电机检测仪是飞盈佳乐最新一代的专门针对三相无刷无霍尔传感器直流电机的检测仪器。该产品驱动能力强,功率大,测试速度快,测量范围大,具自动断电保护,可以在线及时显示电机运行时各项参数,是无传感无刷电机的性能测试的好产 ...… 查看全部问答> |
|
按照http://www.hzlitai.com.cn/bbs/viewthread.php?tid=11487&pid=67161&page=1&extra=#pid67161 提示加入,没有想到在系统启动的时候不停的打印 EvaluateEventFlag (eventMask = 0x80) - device was closed EvaluateEventFlag (eventMask ...… 查看全部问答> |
|
采用S3C2410开发板,实现基于linux的数据采集软件!! S3C2410中,利用GPIO口获取FPGA传来的数据进行数据处理,利用QT库完成软件的界面设计。。小妹我刚接触嵌入式的开发。。请求各位高人指点下。软件的模块之类的!!不胜感激。。… 查看全部问答> |
|
STM32高密度型器件是可以与TFT LCD相连的,其中占用了FSMC一些控制线(如NEx,NOE等),现在要做的项目是一个触屏手持设备,需要做界面,含有图片较多(以数组形式存放的话,一幅256色图片,320*240的话,一个点一字节,那一幅图需70K左右空间 ...… 查看全部问答> |




