历史上的今天
今天是:2025年06月25日(星期三)
2021年06月25日 | 一文读懂示波器的垂直分辨率
2021-06-25 来源:eefocus
垂直分辨率简介
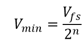
数字示波器的垂直分辨率是衡量示波器将电压转换为数字量的精细程度重要指标,主要由所用ADC(模数转换器)的分辨率决定。ADC按照固定的电压间隔对模拟信号进行量化,从而将模拟信号转换为数字量,ADC对模拟信号分段的数量即为分辨率,通常用bit作为分辨率单位,当垂直分辨率为n bit时,那么垂直方向上信号可以被切分为2n段,即可以分辨的最小电压为

原理描述
以目前市场上最常见的8bit分辨率的示波器为例,使用8位的ADC,信号在垂直方向上被切分成28次方,256份。在模拟信号转换成数字信号的过程中,最多可将模拟信号量化为256个等级,两个量化电平之间的信号,按就近原则取近似的过程必然引入误差,这个误差称之为量化误差。

量化误差会影响示波器的测量结果,测量中我们发现同一个示波器在不同Full Scale下测量同一信号,得到的测量结果会有微小的不同。
以8bit分辨率的示波器为例,设置Full Scale分别为5V和20V时,测量一个1V的方波信号的幅值,这相当于示波器显示屏幕在垂直方向上被等分成256份。
当Full Scale为5V时,示波器能测试出的最小量化电压为

此时示波器不能分辨小于19.531mV的电压信号,如果输入信号叠加了小于19.531mV的噪声信号,示波器无法准确显示出来。
当Full Scale为20V时,示波器能测试出的最小量化电压为

同样此时示波器无法准确测量出小于78.125mV的电压信号。
根据分辨率的计算公式,在测量相同信号的情况下,示波器的垂直分辨率的位数越高,量化误差越小,测量结果越准确,这就像刻度更小的尺子可以测得更精确的结果。
垂直分辨率的决定因素
影响垂直分辨率有两大因素,一个是前文提到的ADC的位数,另一个是放大器和ADC等电路的热噪声。虽然我们通常使用ADC位数来简单描述示波器的垂直分辨率,但更准确的是将示波器作为整个系统来判断有效分辨率位数(ENOB)。
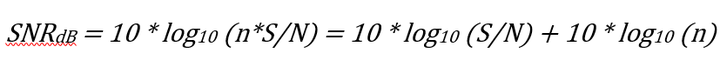
ENOB与整个系统的信号和噪声比(SNR)密切相关,两者的数学关系为

其中:1.76dB为理想ADC的量化噪声,6.02为log2转化为log10的系数比。根据公式,提高示波器系统的SNR可以提高示波器的ENOB。
降低示波器的系统噪声提高SNR,需要良好的系统架构和低噪声的前端放大电路。不过在示波器硬件性能已经无法再优化的情况下,还可以通过对采样后的数据进行数字信号处理来提高SNR,从而在理论上提高垂直分辨率。
目前提高分辨率常用的数字信号处理方法有以下两种。
波形平均采样模式
波形平均采样模式是示波器最基本降噪信号处理技术之一,指的是将多次普通采样的波形进行算术平均。要求测量的输入信号是周期可重复的,示波器每采集n 段重复波形,把它们按触发位置对齐,相加后除以n,得到一段平均后的波形。

波形平均模式能够降低随机噪声,假设平均运算前随机噪声的标准偏差为σ,则随机噪声的功率N= σ,信号功率为S 。则信噪比为

对n段波形平均运算后,随机噪声的标准偏差减小到σ/n ,功率减小到 N/n。而信号功率基本未变,此时信噪比为

可以看到 提高了
,随着n的增大,对噪声的抑制能力增强,越能够提高示波器分辨率的ENOB。
波形平均算法是改善分辨率最简单的方法,但是只能在测量重复的周期信号时使用,并且只能降低随机的、不相关的高斯白噪声。
高分辨率采样模式,
高分辨率采样模式的原理是用低通滤波器滤除ADC数据中的量化噪声和热噪声,提高信号的信噪比,从而实现高分辨率。
实现方法
提高分辨率常用低通滤波器有如下两种。
滑动平均滤波器
滑动平均是使用一个N相邻数据点的滑动窗口对滑窗内的数据进行平均,每滑动一个数据点,输出一个平均结果。
将一段波形中的每N个相邻采的样点分成一组,对这N个采样点取平均得到一个数据点,存入采集存储器中。最终示波器上显示的波形是采样点分组平均后的数据。

滑动平均本质上是一种数字低通滤波器,N越大对SNR的提升越大,等效分辨率提高的也越多。
FIR滤波器
FIR有限长单位冲激响应滤波器,是一种非递归型滤波器,是数字信号处理系统中最基本的元件。由于FIR单位抽样响应是有限长的,因而具有良好的稳定性。
长度为N的FIR输出y(n)对应于输入时间序列x(n)的关系如下:

其中:
x(n)为输入信号;
y(n)为经过滤波后的输出信号;
h(n)为FIR滤波系数;
N表示FIR滤波器的抽头数,滤波器的阶数为N-1;
k = 0,1,… … ,N-1
由上式可得到FIR滤波器的实现结构。它有N个抽头(系数),因此有N个乘法器,N-1个累加器和N-1个延迟单元(Z-1)组成。如下为直接型FIR滤波器的结构图。

有效分辨率的算法
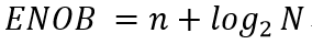
最常见的算法是采用n位的ADC和N抽头boxcar获取ENOB,公式如下

例如,使用 16 抽头 boxcar 平均值滤波器,对 8 位 ADC 转换的数据进行处理,可获得 ENOB = 8 + = 12位分辨率。
对带宽的影响
低通滤波器会降低带宽,带宽(BW)的计算公式为

其中:N为平均的点数也是boxcar抽头数,Fs为采样频率
高分辨率模式无需测量信号具有周期性,只需要一次采集就可以获得高分辨率波形,速度较快。但是高分辨率模式以牺牲带宽为代价提高垂直分辨率,适合对低频微小信号进行测量时使用。
高分辨率示波器的应用场景
目前业界示波器最高的分辨率已经达到了16bit,测量波形的量化指标已经达到了 个。
高分辨率示波器主要应用于高动态范围的测试场景,要求在能看到大信号的同时,也能对小信号进行观察和分析。比如我们在电源完整性测试中,要求能观测到几十伏信号上的纹波和噪声。另外高分辨率示波器也是汽车、医疗电子、高精度传感器、高能物理等行业应用中的理想工具
观测不同垂直分辨率下的测量效果
最近RIGOL推出了一款全新数字示波器DS70000,支持8bit~16bit可调垂直分辨率,我们看一下它是如何实现高分辨率指标的,原理示意图如下。

通过框图可以看到DS70000采用了如下的降噪处理
模拟前端电路滤除了输入模拟信号中高于 Nyquist 频率的信号成分,防止信号混叠。
2. 进行采集/存储之前经过ADC转换的数字信号经过N抽头低通 FIR 滤波器衰减信号中的高频噪声。
3. 在采集/存储之后,再经过M抽头的低通 FIR 滤波器进一步抑制带外噪声。
DS70000示波器通过对数据采集存储前后的数据进行多级FIR低通滤波处理,大幅降低了量化噪声和热噪声,提高了系统信噪比,并且避免信号产生混叠效应。通过用8位ADC和数字信号处理技术,实现了高达16bit的垂直分辨率。
我们再对比一下使用DS70000示波器测量同一个信号在不同垂直分辨率设置下的波形。分别将分辨率设置为8bit和16bit,通过探头接入信号,待示波器采集完毕,按Stop键锁定捕获信号。

从上图中可以看到,选择8bit分辨率时,受256个量化等级限制及宽带热噪声的影响,波形线条比较粗且有可见的量化台阶,难以观察信号的细节;而选择16bit高分辨率模式时,波形平滑并且细节完美呈现。
总结
垂直分辨率是衡量示波器性能的重要指标,代表了示波器观察信号细节的能力,在测量叠加在一个大电压信号上的小信号的场景时,垂直分辨率是测试成败的关键。
RIGOL自主研发的DS70000系列数字示波器,除了支持8bit~16bit的可调分辨率,还具有20GSa/s采样率和4GHz实时带宽,达到了业界领先水平。
上一篇:伯德图在开关电源环路分析中的应用
下一篇:详解示波器的眼图与抖动功能
史海拾趣
|
工作忙起来需要连续加班,好不容易抽空回家洗个澡,换身衣服,还会被电话打断,有时急匆匆地从浴室里跑出来依旧会错过一些重要电话,十分恼人。有了这款浴室电话便不会手忙脚乱了,也不用担心将手机拿到浴室里会弄坏里面的电子元件,得不偿失。这款 ...… 查看全部问答> |
|
#include #include #include #include #include \"Header.h\" extern char msg[60]; extern char worker[21]; extern char address[21]; //====================================================== //主 ...… 查看全部问答> |
|
我的问题是这样的:一个应用,在主窗体之上可以创建多个属于主窗体的子窗体,在子窗体上有各种控件。 我是通过全局钩子,截获自定义的按键消息,然后给我的应用的Top-level窗体发送一个消息。 在钩子DLL中,我如何得到应用的子窗体的名柄!!! ...… 查看全部问答> |
|
八月DIY之月,让我们动起手来开创美好世界!八月,开始收获的月份,显然经过这半年多,你会有这样或那样的DIY成果,秀秀你DIY的工具,展现你DIY的才能,分享你DIY的快乐,显摆下你的DIY成果!DIY工具大搜捕八月主题月现在开始啦!!! 参 ...… 查看全部问答> |
|
[S3C6410学习心得之一]ok6410开发板基于Ubuntu9.10开发环境搭建-串口 系统:Ubuntu9.10开发板:飞凌OK6410 最近购入一块新的开发板,芯片是基于三星的S3C6410,ARM11,使用之后发现,速度果然很不错,跟ARM9的S3C2440不可同日而语。飞凌的开发板质量很不错,跟友善之臂相比,谁比较好一目了 ...… 查看全部问答> |




