历史上的今天
今天是:2024年09月02日(星期一)
2021年09月02日 | S3c2440ARM异常与中断体系详解6---按键中断程序示例概述与初始
2021-09-02 来源:eefocus
在前面的视频里我们举了一个例子,母亲看书被声音打断,远处的声音来源有多种多样,声音传入耳朵,再由耳朵传入大脑,整个过程涉及声音来源耳朵大脑,为了确保这个母亲看书的过程能够被声音打断,我们必须保证声音来源可以发出声音,耳朵没有聋,脑袋没有傻。
中断处理流程
1、中断初始化:
①我们需要设置中断源,让它能够发出中断
②设置中断控制器,让它能发出中断给CPU
③设置CPU,CPSR有I位,是总开关
2、处理完之后清理中断
3、处理时,要分辨中断源,对于不同的中断源要执行不同的处理函数
下面开始写代码
打开start.S 先做初始化工作,先做第 3 设置CPU,CPSR有I位,是总开关
我们需要把CPSR寄存器 bit7给清零,这是中断的总开关,如果bit7设置为1,CPU无法响应任何中断

/* 清除BSS段 */
bl clean_bss
/* 复位之后, cpu处于svc模式
* 现在, 切换到usr模式
*/
mrs r0, cpsr /* 读出cpsr */
bic r0, r0, #0xf /* 修改M4-M0为0b10000, 进入usr模式 */
/*1
把bit7这一位清零
*/
bic r0, r0, #(1<<7) /* 清除I位, 使能中断 */
msr cpsr, r0
/* 设置 sp_usr */
ldr sp, =0x33f00000
ldr pc, =sdram
sdram:
bl uart0_init
bl print1
/* 故意加入一条未定义指令 */
und_code:
.word 0xdeadc0de /* 未定义指令 */
bl print2
swi 0x123 /* 执行此命令, 触发SWI异常, 进入0x8执行 */
/*2 调用两个中断 */
bl interrupt_init /*初始化中断控制器*/
bl eint_init /*初始化按键,设为中断源*/
/*需要初始化上面这两个函数*/
//bl main /* 使用BL命令相对跳转, 程序仍然在NOR/sram执行 */
ldr pc, =main /* 绝对跳转, 跳到SDRAM */
halt:
b halt
添加一个 interrupt.c文件,这个程序稍微有些复杂,我们先画个流程图

我们想达到按下按键灯亮松开按键灯灭,把下面四个按键全部配置为外部中断按键

打开芯片手册找到第九章 IO ports,直接搜索“’EINT0号中断和EINT2号中断”’,找配置寄存器 GPFCON




为了简单操作
/* 1、初始化按键,设置为中断源 */
void key_eint_int()
{
/* 配置GPF0 GPF2 GPG3 GPG11中断引脚 */
GPFCON &= ~((3<<0) | (3<<4));
GPFCON |= ((2<<0) | (2<<4)); /* S2,S3被配置为中断引脚 */
GPGCON &= ~((3<<22) | (3<<6));
GPGCON |= ((2<<22) | (2<<6)); /* S4,S5被配置为中断引脚 */
}



/* 1、初始化按键,设置为中断源 */
void key_eint_int()
{
/* 1、配置GPF0 GPF2 GPG3 GPG11中断引脚 */
GPFCON &= ~((3<<0) | (3<<4));
GPFCON |= ((2<<0) | (2<<4)); /* S2,S3被配置为中断引脚 */
GPGCON &= ~((3<<22) | (3<<6));
GPGCON |= ((2<<22) | (2<<6)); /* S4,S5被配置为中断引脚 */
/* 2、设置中断触发方式: (按下松开,从低电源变为高电源,或者从)双边沿触发 */
/* 设置EINT0 EINT2为双边沿触发 */
EXTINT0 |= ((7<<0) | (7<<8)) /* S2,S3 */
EXTINT1 |= (7<<12) /* S4 */
EXTINT2 |= (7<<12) /* S5 */
}
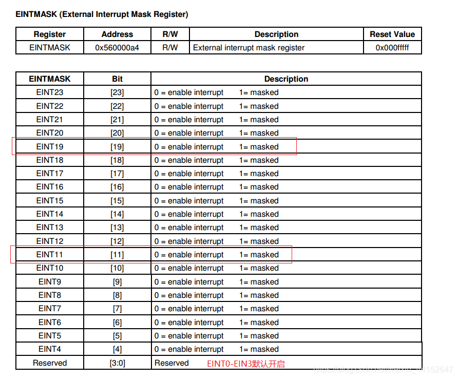
外部中断屏蔽寄存器EINTMASK,设置为1的话就禁止向外部发出中断信号,只有EINTMASK相应的位设置为0外部中断才能给中断控制器发信号
我们需要设置这个寄存器

把EINT11设置为0 把EINT19设置为0对于EINT0 和EINT2显示为保留,默认时使能的,可以直接发送给中断控制器,无需设置

设置EINTMASK使能eint11,19
EINTMASK &= ~((1<<11) | (1<<19));
读EINTPEND分辨哪个EINT产生(eint4~23)(并且要清除它)
清除中断时, 写EINTPEND的相应位

我们接下来需要阅读‘第14章 Interrupt Controller章节设置中断控制器我们只需要按照下面这张流程图设置就可以了

MASK 屏蔽寄存器
INTPND 等待处理,我们可以读这个寄存器,确定是那个中断产生了
SRCPND不同的中断类型不可以直接到达这里执行
我们来看一下外部中断属于哪一种
打开芯片手册,从上往下读

由上图可得 EINT4_7 EINT8_23合用一条中断线ARB1
也就是可以直接到达SRCPND不需要设置SUBSRCPND和SUBMASK这两个寄存器
我们使用的外部中断源只需要设置SRCPND MASK INTPND这三个就可以

SRCPND表明中断请求状态标志位
SRCPND寄存器由32位组成,每一位都与中断源相关。如果相应的中断源生成中断请求并等待相应的中断服务,则将每个位设置为1,该寄存器指示哪个中断源正在等待服务请求。注意,SRCPND寄存器的每个位都是由中断源自动设置的,而不管INTMASK寄存器中的maskina位是什么。此外,SRCPND寄存器不受中断控制器优先级逻辑的影响。

/* SRCPND 用来显示哪个中断产生了, 需要清除对应位,我们只需要关心
* bit0对应eint0
* bit2对应eint2
* bit5对应eint8_23(表明bit5等于1的时候 eint8_23中的某一个已经产生,我们需要继续分辨
* 读EINTPEND分辨率哪个EINT产生)
*/
INTMOD寄存器 ,模式选择,默认值为IRQ模式即可,不需要设置

INTMASK寄存器 ,决定哪个中断被屏蔽,需要设置为0

/* INTMSK 用来屏蔽中断, 1对应masked屏蔽中断,我们需要设置相应位设置为0
* bit0-eint0
* bit2-eint2
* bit5-eint8_23
*/
同时可能有多个中断产生,这么多个中断经过优先级以后,只会有一个通知CPU,是哪一个中断优先级最高,可以读INTPAD就能知道当前处理的唯 一 一个中断是那一个
INTPAD寄存器中的32位中的每一位都显示了对应的中断请求是否被解除屏蔽,并等待中断被服务。拥有最高优先级。由于INTPND register位于优先级逻辑之后,因此只能将一个位设置为1 ,而中断请求将生成IRQ到CPU。在中断服务程序为IRQ。您可以读取这个寄存器来确定在32个中断源中哪个中断源得到了服务。

1 表示这个中断已经产生,需要配置相应的位
INTPND 用来显示当前优先级最高的、正在发生的中断, 需要清除对应位
bit0-eint0
bit2-eint2
bit5-eint8_23
INTOFFSET寄存器 是用来显示INTPND寄存器中哪一位正在等待处理

INTPND中bit0等于0的话INTOFFSET就等于0
INTPND中bit1等于1的话INTOFFSET值就等于1
INTOFFSET : 用来显示INTPND中哪一位被设置为1
SUBSRCPND我们用不到


某一位等于1时INT_UART0它的来源可能有多个,这是串口0的中断,串口0的中断产生时有可能是接收到了数据(INT_RXD0),有可能是发送了数据(INT_TXD0),也有可能是产生了错误,那么到底是哪一个呢?
需要去读取SUBSRCPND下一级的源寄存器
我们只需要设置INTMSK寄存器 这个寄存器
SRCPND和INTPND 只有发生中断才需要设置
/* 初始化中断控制器 */
void interrupt_init(void)
{
//1是屏蔽我们需要清零,外部中断0 外部中断2 外部中8_23里面还有外部中断11到19
INTMSK &= ~((1<<0) | (1<<2) | (1<<5));
}
修改start.S
删除
bl interrupt_init /* 初始化中断控制器 /
bl key_eint_init / 初始化按键, 设为中断源 */
能使用c语言就使用C语言,在main.c文件中添加调用C函数
int main(void)
{
/************1/
interrupt_init(); /* 初始化中断控制器 */
key_eint_init(); /* 初始化按键, 设为中断源 */
*******/
puts("nrg_A = ");
printHex(g_A);
puts("nr");
史海拾趣
|
在论坛上看了几位高手的例子,下载了不得1602的资料和ICCAVR的代码,弄了一块1602回来,在双龙的SL-MEGA8板子上测试,但1602什么都不显示,现有几个问题请教; 1:1602是否已经自带了标准的字库,以至于我们向1602按一定的时序发送某个字符时,1602会自动 ...… 查看全部问答> |
|
最近看了L298N的数据手册,关于第1和15脚,上面说接一个检测电阻,可以用来作为过压的输出信号,从而起到保护芯片的作用。那位大虾知道的,说一下… 查看全部问答> |
|
ActivateDeviceEx如何加载指定目录下的dll ? ActivateDeviceEx加载驱动时是默认的windows\\目录下的DLL,这样需要DLL与内核一块打包成NK。 如何加载我应用程序目录下的dll ?这样可以使驱动程序和应用程序一块打包。… 查看全部问答> |
|
今天新做了个板 用jtag下载到擦flash时候过不去了 重新编了以后加入调试语句发现擦了flash的block 0后去判断status寄存器 得到的值是0x00a800a8 好象说供电不足 但是拿万用表量了一下Vpen得到3.3v 不懂是什么问题了,而且flash的id读到也对… 查看全部问答> |
|
小弟是个菜鸟,不知道SRAM里的读出放大器电路是什么组成的?PC的cache里的放大器是什么组成的?一般书上的运算放大器可以吗?哪种的功耗比较低啊?谢谢!… 查看全部问答> |
|
微软例子里的 VOID FilterSendNetBufferLists( IN NDIS_HANDLE FilterModuleContext, IN PNET_BUFF ...… 查看全部问答> |
|
SLC nand flash 最快速度可以达到多少啊? 可以是理论上的,单个plane,不是Micron那么多通道的???????????????… 查看全部问答> |




