历史上的今天
今天是:2024年09月30日(星期一)
正在发生
2021年09月30日 | S3C2440裸机------触摸屏_校准原理
2021-09-30 来源:eefocus
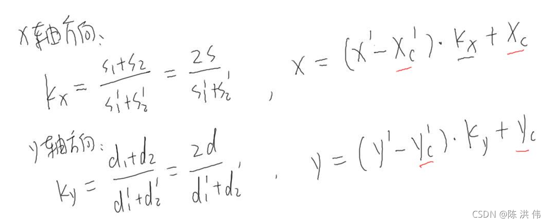
所谓校准就是找到一个公式把电压值转换为坐标值,我们的触摸屏覆盖在LCD上面,当我们得到出点的电压值之后可以通过比例公式得到LCD的坐标。

但是实际我们不会选择边界点,因为边界点不方便点,所以我们都是从中间选择某个点进行计算。

由于液晶屏的水平方向和垂直方向存在一些偏差,因此我们都是水平方向选择2个点,垂直方向选择两个点。
推荐阅读
史海拾趣
|
在eboot中增加显示logo的功能,在OemInit 函数之后有一段时间LCD不显示,为何? 我用的PXA270,在OemInit 函数之前都能显示, 但在OemInit 函数之后有一段时间LCD不显示, 是不是lcd在那个地方被关掉了? 因为我发现lcd的P CLOCK没有了, … 查看全部问答> |
|
MC34063的电路,基本上确定了一些必要的参数,比如开关频率,和输出电流等等,可以开始做了。 在选中功率三极管的时候,想起了关于散热片的问题。 在功率散热器件的PDF中给出的耗散功率一般是加装了散热片的数 ...… 查看全部问答> |





