历史上的今天
今天是:2024年10月12日(星期六)
2021年10月12日 | 解析三分频扬声器系统分频器设计
2021-10-12 来源:elecfans
三分频音箱
三分频音箱一般分为三个单元以上的音箱,其中有高音单元,中音单元和低音单元,箱体内部有分频器,对应着高中低等单元进行分频,一般这种音箱在HI-FI级别常见,由于针对不同单元的频率特性对其进行分频会使音乐中更加富有层次感,还有两分频音箱这种音响比较常见,它们是有两个单元以上,高音单元和中低音单元组成,分频器中高频不变但中频和低频是在一起的送给中低音扬声器,由于中低音是混在一起的为了表现低音扬声器必须要有一定的振幅所以在表现中音时会比三分频逊色。
三分频扬声器系统分频器设计
1.三分频器概述
扬声器系统的分频器分为前级分频和功率分频2类。前级分频是前级电路中由电子元件产生的分频,再由各自的功放分别驱动高﹑中﹑低音扬声器系统,如图(1b)所示,属于小信号有源分频。而功率分频则是由电感、电容、电阻元件构成的位于功放与扬声器之间的无源分频电路,如图(1a)所示。

采用功率分频的扬声器系统结构简单、成本低,而且又能获得很高的放音质量,因而在现代高保真放音系统中应用最为普遍。其性能的好坏与扬声器的各项指标以及分频电路、电感元件的性能、精度有密不可分的关系,精确计算电感参数便是成功的关键。
2.对分频器电路、元件的要求
(1)电路中电感元件直流电阻、电感值误差越小越好。而且为使频响曲线平坦最好使用空心电感。
(2)电路中电容元件损耗尽可能小。最好使用音频专用金属化聚丙烯电容。
(3)使各扬声器单元分配到较平坦的信号功率,且起到保护高频扬声器的作用。
(4)各频道分频组合传输功率特性应满足图2 所示特性曲线的要求(P0 为最大值,P1 为对应分频点f1、f2 的值)。分频点处的功率与功率最大值之间幅度应满足P1(=0.3~0.5)P0 的范围。
(5)整个频段内损耗平坦,基本不出现“高峰”和“深谷”。

3.分频电感电容参数值的计算
下面以三分频分频器为例说明其参数的计算,如图3 所示。

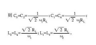
(1)计算分频电感L1,L2,L3,L4 和分频电容C1,C2,C3,C4。
为了得到理想的频谱特性曲线,理论计算时可取:C1=C4,C3=C2,L1=L3,L4=L2,分频点频率为f1,(f2 见图2),则分频点ω1=2πf0,ω2=2πf2。并设想高、中、低扬声器阻抗均相同为RL。每倍频程衰减12 dB。

(2)实验修正C1,C2,C3,C4,L1,L2,L3,L4 的值。
为精确起见,可用实验方法稍微调整C1,C2,C3,C4,L1,L2,L3,L4 的值,以满足设计曲线﹙见图2﹚的要求。即通过实验描绘频响曲线,从而得到C1,C2,C3,C4,L1,L2,L3,L4 的最佳值。如果没有实验条件,这一步也可不做。求出电容电感的值后就可计算电感值了。
上一篇:三分频最佳分频点是多少?
下一篇:音箱分频器需要哪些电子元件
史海拾趣
|
51制作的 红外、315M、433M等遥控编码波形分析板(全套资料) 秀一下我做的小工具,HOHO! 相当于数字脉冲示波器,并具波形分析功能(单片机通过USB与计算机通讯显示波形),也是USB通讯学习板。 主要用来实现以下功能: 1)可采集红外遥控 ...… 查看全部问答> |
|
我用的单片机是mc9s12dg128,现在在调最小系统,情况是: 1、板子上只焊了电源部分、复位电路部分、主芯片,电源部分正常。没有向单片机下载过程序,是新的芯片。 2、复位电路应该是在按键按下之前是高电平,但是实际上接通电源后发现复位电路输 ...… 查看全部问答> |
|
我使用2440+wince5与PC通过jrtplib通信,现在发现pc可以发送数据到网络,但是wince方面好像不行,抓包发现icmp:port unreachable, 是不是port被占用了呢?而且icmp、udp、tcp刚好是占用同一个字节(指定网络包协议),会不会是字节顺序问题?但 ...… 查看全部问答> |
|
求助高手 msp430 P1口中断的问题 弄了好长时间了,还是不行啊 帮忙看看一下程序有错吗? #include unsigned char i; void main() { WDTCTL=WDTPW+WDTHOLD; //关看门 &nb ...… 查看全部问答> |
|
在做一个项目,要求开机后能自动检测线路的通断状态,能够让主控设备知道。觉得这个只能检测电流,于是查了查霍尔传感器,但是每条线都得用一,线有十多根,传感器占的空间太大了。请问谁知道体积小的电流传感器IC?或者谁知道更好的检测方 ...… 查看全部问答> |




