历史上的今天
今天是:2025年03月15日(星期六)
2018年03月15日 | 用单片机测量三相电网功率因数角的接口电路
2018-03-15 来源:eefocus
为了测量时间r,又为使测量的φ角的精度不受电网频率(或周期T)的影响,采用图所示的接口电路。
由变压器TR取得的UCA线电压信号和由电流互感器取得的线电流iB信号均由检查器转换成相应的方波信号。电压方波信号经G1门反相后,作为测量T/2脉宽的门控脉冲加至G3门输入端,由“或非”门G2得到UCA与iB同时为负的正极性方波脉冲,作为测量时间r的门控脉冲加至G4门输入端。计数脉冲是用8031的ALE脉冲四分频后获得的。因ALE脉冲频率在8031执行非MOVX类指令时是稳定的,且为1/6×晶振频率。因而可用8031内部定时器/计数器T0和Tl对G3与G4门输出脉冲进行计数。上述各点的波形及对应关系已经表示于图1中。
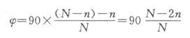
图2中,8031的P3.0用来检测UCA电压过零点。当UCA从正到负过零点时,对应图1中uc(即P3.0)由0变为1,两个计数器T0、Tl同时开始计数;当UCA到了由负到正过零点时,uc则由1变0,计数器T0与Tl同时停止计数。设T0计数器计数值为N,T1计数器计数值为n,所测相角φ可按下式算出:

由8031很容易完成上述计算。若再进一步完成查表程序,则按φ角查正弦或余弦表,即可得功率因数cosφ。

程序框图
程序流程见下图。此处设计成子程序形式,执行完成后,φ角的二进制整数在31H中,小数部分在30H中,符号在33H中:OOH表示阻性或感性;80H表示容性。φ角的十进制结果则在32H中。cosφ在34H、35H中。

开始执行本程序时,不论UCA处于正半周,还是处于负半周,是否过零点,均可确保是从uCA由正变负过零点时开始计数,由负变正过零点时停止计数。
史海拾趣
|
LDO LDO是low dropout regulator,意为低压差线性稳压器,是相对于传统的线性稳压器来说的。传统的线性稳压器,如78xx系列的芯片都要求输入电压要比输出电压高出2v~3V以上,否则就不能正常工作。但是在一些情况下,这样的条件显然是太苛刻了,如 ...… 查看全部问答> |
|
最近一段时间,接触了好几个具有 I2C 接口的从设备器件; 也对 I2C 的 WinCE 流驱动也有所了解。 开始用【查询】方式实现了一个 I2C 流驱动; 现在准备用【中断】方式实现 I2C 流驱动; 但是看了好几遍【2410数据手册】,都没有看明白; 2410 ...… 查看全部问答> |
|
安装了IAR5.2,破解失败,怎么回事啊,用5.2的朋友进来看看 Fatal Error[Cp001]: Copy protection check, No valid license found for this product对程序进行编译就会有这个错误,用软件破解了啊,也在网上查了,但是还是没有解决我卸载好几遍了希望高手帮助啊… 查看全部问答> |
|
在线MSP430编辑编译无需本地电脑安装CCS或IAR之类开发环境 在线MSP430编辑编译无需本地电脑安装CCS或IAR之类开发环境看了一下,支持代码彩色显示编写完了以后还可以在其网站服务器上进行编译,然后可以下载编译后的可烧写文件。使用google帐户登陆,无需注册。对于帐户安全,一般可以放心,使用OpenId方式来 ...… 查看全部问答> |
|
浴室的排风扇一直开着的话一方面浪费电源,另一方面不利于周围洗浴温度的上升。使用这样一款浴室湿度调节器,就可以及时的调节浴室内的湿度,使其控制在一个可视的,温度舒适的合理范围内。这样既可以节约能源又可以,避免浴室湿度过大视线受阻带来 ...… 查看全部问答> |




