历史上的今天
今天是:2025年03月12日(星期三)
2019年03月12日 | 【STM32】PWM DAC基本原理(实验:PWM实现DAC)
2019-03-12 来源:eefocus
虽然STM32F103ZET6具有内部DAC,但是也仅仅只有两条DAC通道,并且STM32还有其他的很多型号是没有DAC的。通常情况下,采用专用的D/A芯片来实现,但是这样就会带来成本的增加。
不过STM32所有的芯片都有PWM输出,并且PWM输出通道很多,资源丰富。因此,我们可以使用PWM+简单的RC滤波来实现DAC的输出从而节省成本。
PWM DAC
PWM DAC的构成原理
PWM本质上其实就是是一种周期一定,而高低电平占空比可调的方波。实际电路的典型PWM波形,如下图所示:

针对PWM的波形进行以下分析:
高电平阶段:计数器当前值从0-CCRx阶段(总时间=CCRx*每两个计数之间的间隔时间);
低电平阶段:计数器当前值从CCRx-ARR-1阶段(总时间=(ARR-1-CCRx)*每两个计数之间的间隔时间)。
如果PWM内容如果不太懂,可以参考链接:【STM32】通用定时器的PWM输出(实例:PWM输出)。
根据PWM的波形,可以用分段函数来进行表示:

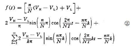
其中:T是STM32中计数脉冲的基本周期,也就是STM32定时器的计数频率的倒数;N是PWM波一个周期的计数脉冲个数,也就是STM32的ARR-1的值;n是PWM波一个周期中高电平的计数脉冲个数,也就是STM32的CCRx的值;VH和VL分别是PWM波的高低电平电压值;k为谐波次数;t为时间。
我们将分段函数①式展开成傅里叶级数,得到公式②:

从②式可以看出,式中第1个方括弧为直流分量,第2项为1次谐波分量,第3项为大于1次的高次谐波分量。
式②中的直流分量与n成线性关系,并随着n从0到N,直流分量从VL到VL+VH之间变化。而STM32的DAC功能也就是电压输出,这正是电压输出的DAC所需要的。
因此,如果能把式②中除直流分量外的谐波过滤掉,则可以得到从PWM波到电压输出DAC的转换,即:PWM波可以通过一个低通滤波器进行解调。式②中的第2项的幅度和相角与n有关,频率为1/(NT),其实就是PWM的输出频率。该频率是设计低通滤波器的依据。如果能把1次谐波很好过滤掉,则高次谐波就应该基本不存在了。
PWM DAC的具体实现
通过上面的了解,我们可以得到PWM DAC的分辨率,计算公式如下:分辨率=log2(N)
这里假设n的最小变化为1,当N=256的时候,分辨率就是8位。而STM32的定时器都是16位的,可以很容易得到更高的分辨率,分辨率越高,速度就越慢。不过我们在本章要设计的DAC分辨率为8位。
在8位分辨条件下,我们一般要求1次谐波对输出电压的影响不要超过1个位的精度,也就是3.3/256=0.01289V。假设VH为3.3V,VL为0V,那么一次谐波的最大值是2*3.3/π=2.1V,这就要求我们的RC滤波电路提供至少-20lg(2.1/0.01289)=-44dB的衰减。
STM32的定时器最快的计数频率是72Mhz,8为分辨率的时候,PWM频率为72M/256=281.25Khz。如果是1阶RC滤波,则要求截止频率为1.77Khz,如果为2阶RC滤波,则要求截止频率为22.34Khz。
二阶RC滤波截止频率计算公式为:f=1/2πRC
以上公式要求R55=R56=R,C63=C64=C(R55*C63=R56*C64=RC)。根据这个公式,我们计算出图25.1.2的截止频率为:33.8Khz超过了22.34Khz,这个和我们前面提到的要求有点出入,原因是该电路我们还需要用作PWM DAC音频输出,而音频信号带宽是22.05Khz,为了让音频信号能够通过该低通滤波,同时为了标准化参数选取,所以确定了这样的参数。实测精度在0.5LSB以内。
PWM DAC实例
硬件连接
单片机:STM32F103ZET6
硬件资源:指示灯DS0,WK_UP和KEY1按键,ADC,PWM DAC
具体的硬件连接的图如下所示:

STM32控制程序
//设置输出电压
//vol:0~330,代表0~3.3V
void PWM_DAC_Set(u16 vol)
{
float temp=vol;
temp/=100;
temp=temp*256/3.3;
TIM_SetCompare1(TIM1,temp);
}
int main(void)
{
u16 adcx;
float temp;
u8 t=0;
u16 pwmval=0;
u8 key;
delay_init(); //延时函数初始化
NVIC_PriorityGroupConfig(NVIC_PriorityGroup_2); //设置NVIC中断分组2:2位抢占优先级,2位响应优先级
uart_init(115200); //串口初始化为115200
KEY_Init(); //KEY初始化
LED_Init(); //LED端口初始化
usmart_dev.init(72); //初始化USMART
LCD_Init(); //LCD初始化
Adc_Init(); //ADC初始化
TIM1_PWM_Init(255,0); //TIM1 PWM初始化, Fpwm=72M/256=281.25Khz.
TIM_SetCompare1(TIM1,100);//初始值为0
POINT_COLOR=RED;//设置字体为红色
LCD_ShowString(60,50,200,16,16,"WarShip STM32");
LCD_ShowString(60,70,200,16,16,"PWM DAC TEST");
LCD_ShowString(60,90,200,16,16,"ATOM@ALIENTEK");
LCD_ShowString(60,110,200,16,16,"2015/1/15");
LCD_ShowString(60,130,200,16,16,"WK_UP:+ KEY1:-");
//显示提示信息
POINT_COLOR=BLUE;//设置字体为蓝色
LCD_ShowString(60,150,200,16,16,"PWM VAL:");
LCD_ShowString(60,170,200,16,16,"DAC VOL:0.000V");
LCD_ShowString(60,190,200,16,16,"ADC VOL:0.000V");
TIM_SetCompare1(TIM1,pwmval);//初始值
while(1)
{
t++;
key=KEY_Scan(0);
if(key==WKUP_PRES)
{
if(pwmval<250)pwmval+=10;
TIM_SetCompare1(TIM1,pwmval); //输出
}else if(key==KEY1_PRES)
{
if(pwmval>10)pwmval-=10;
else pwmval=0;
TIM_SetCompare1(TIM1,pwmval); //输出
}
if(t==10||key==KEY1_PRES||key==WKUP_PRES) //WKUP/KEY1按下了,或者定时时间到了
{
adcx=TIM_GetCapture1(TIM1);
LCD_ShowxNum(124,150,adcx,4,16,0); //显示DAC寄存器值
temp=(float)adcx*(3.3/256); //得到DAC电压值
adcx=temp;
LCD_ShowxNum(124,170,temp,1,16,0); //显示电压值整数部分
temp-=adcx;
temp*=1000;
LCD_ShowxNum(140,170,temp,3,16,0x80); //显示电压值的小数部分
adcx=Get_Adc_Average(ADC_Channel_1,20); //得到ADC转换值
temp=(float)adcx*(3.3/4096); //得到ADC电压值
adcx=temp;
LCD_ShowxNum(124,190,temp,1,16,0); //显示电压值整数部分
temp-=adcx;
temp*=1000;
LCD_ShowxNum(140,190,temp,3,16,0x80); //显示电压值的小数部分
t=0;
LED0=!LED0;
}
delay_ms(10);
}
}
史海拾趣
|
中华人民共和国国务院令 第276号 《医疗器械监督管理条例》已经1999年12月28日国务院第24次常务会议通过,现予发布,自2000年4月1日起施行。 总理 朱镕基 2000年1月4日医疗器械监督管理条例第一章 总则&nb ...… 查看全部问答> |
|
什么是CCD与CMOS传感器 CCD:电荷藕合器件图像传感器CCD(Charge Coupled Device),它使用一种高感光度的半导体材料制成,能把光线转变成电荷,通过模数转换器芯 ...… 查看全部问答> |
|
求SCIS752/762中关于通过SPI去控制UART读写的例子--急!!! 各位大哥,我现在要写关于SCIS752/762 中通过SPI去控制UART读写的代码,我看过这颗IC的SPEC,上面有写怎样通过SPI去控制UART内部寄存器的格式,可是上面的UART内部寄存器很多,我不知道具体去控制UART读,或者UART写应该用哪些寄存器阿,顺序是什么 ...… 查看全部问答> |
|
在EVC里如果要把程序下载到板上调试,需要一个和开发板对应的SDK,好像有的开发板厂商会提供,而我的这个没有,需要自己用platform builder来编译一个。我的问题是,使用platform builder编译SDK的过程很顺利,问题是在装完编译得到的SDK后,进入EV ...… 查看全部问答> |
|
一塊修改過的board pxa270把pcmcia的功能拿掉了 ,那在bsp要如何刪掉該組件,直接刪除好像沒用,會編譯錯誤 在memmap.inc有如下 EXPORT OEMAddressTable[DATA] &nb ...… 查看全部问答> |




