历史上的今天
今天是:2024年09月18日(星期三)
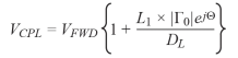
2019年09月18日 | RMS检测器集成双向桥,用于测量RF功率和回波损耗
2019-09-18 来源:EEWORLD
定向耦合器用于检测RF功率,应用广泛,可以出现在信号链中的多个位置。本文探讨ADI公司的新器件ADL5920,其将基于宽带定向耦合器与两个RMS响应检测器集成在一个5 mm×5 mm表贴封装中。相比于要在尺寸和带宽之间艰难取舍的传统分立式定向耦合器,该器件具有明显的优势,尤其是在1 GHz以下的频率。
在线RF功率和回波损耗测量通常利用定向耦合器和RF功率检波器来实现。
图1中,双向耦合器用于无线电或测试测量应用中,以监测发射和反射的RF功率。有时希望将RF功率监测嵌入电路中,一个很好的例子是将两个或更多信号源切换到发射路径(使用RF开关或外部电缆)。


图1.测量RF信号链中的正向和反射功率。
定向耦合器具有方向性这一重要特性,也就是它能区分入射和反射RF功率。当入射RF信号在通往负载的路程中经过正向路径耦合器(图2)时,耦合一小部分RF功率(通常是比入射信号低10 dB至20 dB的信号),输入RF检波器。当正向功率和反射功率均要测量时,须再使用一个耦合器,其方向与正向路径耦合器相反。两个检波器的输出电压信号将与正向和反向RF功率水平成比例。


图2.采用定向耦合器和RF检波器的典型RF功率测量系统
表贴定向耦合器的基本问题是须在带宽和尺寸之间进行取舍。虽然频率覆盖范围为一个倍频程(即FMAX等于两倍FMIN)的双向定向耦合器通常采用小至6 mm2的封装,但多倍频程表贴定向耦合器要大得多(图3)。宽带连接器式定向耦合器具有多倍频程的频率覆盖范围,但显著大于表贴器件。

图3.连接器式定向耦合器、表贴定向耦合器以及带定向桥和双RMS检测器的ADL5920集成IC
图3还显示了ADL5920评估板,它是一款新型RF功率检测子系统,检测范围高达60 dB,采用5 mm×5 mm MLF封装(ADL5920 IC位于RF连接器之间)。ADL5920的功能框图如图4所示。

图4.ADL5920框图
ADL5920不是利用定向耦合器来检测正向和反射信号,而是采用一种专利的定向桥技术来实现宽带且紧凑的片内信号耦合。要了解定向桥的工作原理,我们需要先回顾惠斯登电桥。
惠斯登电桥
定向桥的概念基于惠斯登电桥(图5),即在平衡时产生的差分电压为零。在惠斯登电桥中,两条支路之一中的一个电阻是可变的(R2),而另外两个电阻(R1和R3)是固定不变的。总共有四个电阻——R1、R2、R3和Rx,其中Rx是未知电阻。如果R1 = R3,那么当R2等于Rx时,VOUT= 0 V。当可变电阻具有合适的值,使得电桥左右两边的分压比相等,从而在产生VOUT的差分检测节点上产生0 V差分信号时,认为电桥处于平衡状态。

图5.惠斯登电桥
单向桥
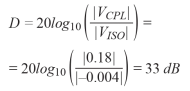
图6是单向桥原理图,非常好地解释了这种器件的基本操作。首先要注意的是,定向桥需要针对特定Zo进行设计,并将插入损耗降至最低。如果RS = RL= R = 50Ω,则电桥的检测电阻为5Ω,这样插入损耗(<1dB)与信号检测便实现了良好的折衷。从负载回头看来计算ROUT,得到精确的50Ω端口阻抗,而计算RIN将得到50.8Ω端口阻抗(|Γ| = 0.008;RL = –42 dB;VSWR = 1.016)。如果在RFIP施加图示信号,由于RIN约为50Ω,所以RFIP处的电压约为电源电压的一半。暂时假定RFIP处的电压等于1 V,则RFOP处的电压约为0.902 V。
该电压进一步衰减10/11 = 0.909,使得差分放大器的负输入为0.82V,所得差分电压为(1 – 0.82) = 0.18 V。电桥的有效正向耦合因子(Cpl)为
(1)
就电桥而言,平衡意味着当信号反向施加时(RFOP至RFIP),VFWD检波器(或Cpl端口)在理想情况下将看到零差分电压,而当信号正向施加时(RFIP到RFOP),看到的将是最大信号。为了在这种结构中获得最大的方向性,精密电阻最重要,因此将其集成是很有益的。
在单向桥中,为了确定计算回波损耗所需的隔离,需要翻转器件,然后将输入信号施加于RFOP。在这种情况下,电桥是平衡的,差分放大器的正负输入相等,因为相同的分压比0.909 = (10R/(10R + R) = (R/(R+0.1R))导致差分电压(V+减V-)= 0 V。

图6.简化单向桥电路图
双向桥
图7是双向桥的简化图,与ADL5920中使用的类似。对于50Ω环境,单位电阻R等于50Ω。因此,电桥的检测电阻值为5Ω,而两个分流网络的电阻值均为约1.1 kΩ。
这是一个对称网络,因此当RS和RL也等于50时,输入和输出电阻RIN和ROUT相同且接近50Ω。
当源阻抗和负载阻抗均为50Ω时,内部网络的欧姆分析告诉我们,与VREV相比,VFWD将相当大。在实际应用中,这对应于从信号源到负载的最大功率传输。这导致反射功率很小,进而导致VREV非常小。
接下来,我们考虑如果RL为无限大(开路)或零(负载短路),会发生什么情况。在这两种情况下,如果重复欧姆分析,我们会发现VFWD和VREV大致相等。这反映了一个实际系统在开路或负载短路情况下,正向和反射功率相等。下面将对这些情况进行更详细的分析。

图7.简化双向桥电路图
VSWR和反射系数
在网络分析中对误差进行全面分析太复杂,超出了本文的范围,但我们想在这里概述一些基本概念。Marki Microwave撰写的应用笔记“方向性与VSWR测量”是一篇出色的文章,可供参阅1。
行波是描述传输线路上电压和电流的重要概念,因为其是位置和时间的函数。传输线路上的电压和电流的一般解包括一个前向行波和一个反向行波,它们是距离x的函数2。
(2)
(3)
在等式2和等式3中,V+(x)表示向负载行进的电压波,而V–(x)表示由于失配而从负载反射的电压波,Z0为传输线路的特征阻抗。在无损传输线路中,Z0由以下经典方程定义:
(4)
传输线路的最常见Z0为50Ω。如果这样的线路用特征阻抗端接,那么在50Ω信号源看来,它是一条无限长线路,因为沿着线路行进的任何电压波都不会产生可以在信号源或线路上任何其他地方检测到的反射。但是,如果负载不是50Ω,那么沿着线路会产生一个驻波,这是可以检测到的,其由电压驻波比(VSWR)定义。
更一般地,反射系数定义为:
(5)
其中Γ0为负载反射系数,γ为传输线路的传播常数。
(6)
)
(7)
(8)
R、L、G和C分别为传输线路单位长度的电阻、电感、电导和电容。
回波损耗(RL)是反射系数(Γ)的负值,以dB为单位。这点很重要,因为反射系数和回波损耗经常被混淆而互换使用。
(9)
除了上述负载失配以外,回波损耗还有一个非常重要的定义,即根据阻抗不连续处的入射功率和反射功率来定义,如下所示:
(10)
其广泛用于天线设计。VSWR、RL和Γ0的关系如下:
(11)
(12)
(13)
式14和式15分别代表驻波电压的最大值和最小值。VSWR定义为波上最大电压与最小电压之比。线路上的峰值电压和最小电压分别为:
(14)
(15)
例如在50Ω传输线路中,如果前向行进电压信号的峰值幅度A = 1,并且线路与一个理想负载匹配,则|Γ0| = 0,没有驻波(VSWR = 1.00),线路上的峰值电压为A = 1。但是,如果RLOAD为100 Ω或25 Ω,那么|Γ0| = 0.333,RL = 9.542 dB,VSWR = 2.00,|V(x)|max = 1.333,|V(x)|min = 0.666。
图8是图7的副本,但所示信号采用默认正向配置,并且指示了行进功率波,参考平面位于负载。在低频时,波长相对于物理结构而言较长,电压和电流同相,电路可以根据欧姆定律来分析。

图8.带信号的简化双向桥
端口定义如下:输入端口(端口1)为RFIP,输出端口(端口2)为RFOP,耦合端口(端口3)为VFWD,隔离端口(端口4)为VREV。由于结构是对称的,当信号在ZL处反射或施加于RFOP时,端口反转。
在负载匹配且发生器电压连接到端口1 (RFIP)的情况下,ZS = ZL = Z0 = R = 50 Ω,
(16)
(17)
VL/VS+为插入损耗LI或IL,单位为dB。
(18)
0.1×R主线路电阻任一侧的两个并联支路的衰减因数为:
(19)
图8中的|VREV|和|VFWD|公式显示了正向施加信号时的电压值。这些公式指出了简化原理图的基本方向性限制,原因是隔离端口的抑制性能(33 dB)不理想。
(20)
从图8中可以看出,线性域中双向桥的方向性由下式确定:
(21)
这表明:为了提高方向性,α需要等于插入损耗L1。
在硅片中,峰值方向性通常比简图表明的要好(图9)。
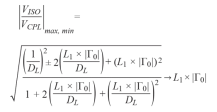
如果ZL不等于ZO(正常情况下),则耦合和隔离端口电压(复数)将为:
(22)
(23)
其中,VS+是端口1(节点VS)处的正向电压,VL-是端口2(节点VL)处负载的反射电压。Θ是反射信号的未知相位,
(24)
(24)
用(24)代替(22)和(23)中的VL-,并用(21)简化结果,另外
(25)
导致输出电压非常复杂。
(26)
(27)
从(26)和(27)可以看出,当DL>>1时,
(28)
在ADL5920中,电压VREV和VFWD分别通过两个60 dB范围的线性dB RMS检测器映射到电压VRMSR和VRMSF,分别为(VISO/VSLP)和(VCPL/VSLP)。所以器件的差分输出VDIFF(单位为dB)表示
(29)
其中检波器斜率VSLP约为60 mV/dB。
使用(28)中(29)的电压到dB映射,
(30)
并在式30中使用式9,得到:
(31)
(32)

图9.ADL5920方向性与频率的关系输入电平为20 dBm。
图10显示ADL5920被正向驱动时正向功率检测RMS检测器的响应。每条曲线对应于所施加的特定功率水平下输出电压与频率的关系。曲线停止在10 MHz,低至9 kHz的频率下的操作已得到验证。图11中,相同数据表示为输出电压与输入功率的关系,每条迹线代表不同的频率。

图10.多种输入功率水平下正向路径检测器的典型输出电压与频率的关系

图11.多种频率下正向路径检测器的典型输出电压与输入功率的关系
当ADL5920的RFOUT引脚用一个50 Ω电阻端接时,不应有反射信号。因此,反向路径检测器不应该会记录任何检测到的反向功率。但是,由于电路的方向性是非理想的,会随着频率变化而滚降,所以反向路径中会检测到一些信号。图12显示了在500 MHz频率下,当扫描RFIN且RFOUT用50Ω电阻端接时,正向和反向路径检测器测得的电压。这些迹线之间的垂直压差与电桥的方向性直接相关。

图12.VRMSF和VRMSR输出电压与输入功率的关系,500 MHz,电桥从RFIN驱动,RFOUT端接50 Ω。
图13显示了改变负载对正向功率测量的影响。将规定的功率水平施加于RFIN输入,RFOUT上的负载回波损耗从0 dB变化到20 dB。正如预期的那样,当回波损耗在10 dB到20 dB范围内时,功率测量精度非常好。但随着回波损耗降低到10 dB以下,功率测量误差开始增加。值得注意的是,回波损耗为0 dB时,误差仍在1 dB范围内。

图13.测得的正向功率与施加的功率和负载的回波损耗之间的关系,在1 GHz下测量。
图14中,ADL5920用于测量负载的回波损耗,频率同样为1 GHz。将一个已知回波损耗施加于RFOUT端口。测量VRMSF和VRMSR,并反推回报损耗。

图14.测得的回波损耗与施加的回波损耗和RF功率的关系,在1 GHz下测量
关于此图,有几点需要注意。首先,可以看到,随着回波损耗的改善,ADL5920测量回波损耗的能力下降。这是因为器件具有方向性。其次,请注意测量精度如何随着驱动功率下降而降低。这是因为ADL5920板载RMS检测器的检测范围和灵敏度有限所致。第三点与迹线中的明显波纹有关。这是由于每次测量都是在单一回波损耗阶段进行的。如果在所有回波损耗阶段重复测量,则会产生一系列曲线,其垂直宽度将大致等于波纹的垂直宽度。
应用
凭借在线测量RF功率和回波损耗的能力,ADL5920可用于多种应用。其小尺寸意味着它可以置身于许多电路中,而不会对空间造成太大影响。典型应用包括在线RF功率监测(RF功率水平可高达30 dBm,其中插入损耗不重要)。回波损耗测量功能通常用于需要监测RF负载的应用。这可以是一个简单的电路,用于检查天线是否遭到损坏或断裂(即灾难性故障)。但是,ADL5920也可在材料分析应用中测量标量回波损耗。这最适合频率低于大约2.5 GHz的应用,其中方向性(从而测量精度)大于15 dB。
ADL5920评估板有两种外形尺寸,如图15所示。左侧所示为传统评估板,检测器输出电压可通过夹式引线和SMA连接器提供。该评估板还包含一条校准路径,可用于校准FR4板的插入损耗。
右侧所示的评估板集成度更高,包含一个4通道12位ADC (AD7091R-4)。此评估板可连接ADI公司的SDP-S USB接口板,其包含的PC软件可计算RF功率和回波损耗,以及执行基本功率校准例行程序。

图15.ADL5920评估板选择
史海拾趣
|
请教一下,arm下linux正在运行,通过串口连接到电脑上,怎样把电脑上的文件传到arm里边的linux去?或者给个关键词我百度一下~… 查看全部问答> |
|
当初选择做技术,最主要的原因,是出于对科学技术的纯洁性的热爱,对人情世故的厌恶。但专于技术的工程师,要想有份有前途的工作,找到可以长久做下去的公司。“良禽择木而栖,贤臣择主而侍”,遇到下面五类性格的老板,能走多远就走多远。在此罗列 ...… 查看全部问答> |
|
想用TIM的外部时钟模式1的下做脉冲计数,可是仔细看了触发源很郁闷TS[2:0]:触发选择这3位选择用于同步计数器的触发输入。000:内部触发器0(ITR0),TIM1 001:内部触发器0(ITR1),TIM2 010:内部触发器0(ITR1),TIM3 011:内部 ...… 查看全部问答> |
|
430解码红外好久勒 怎么也进展 ,这个程序不知道错哪了 调了好久也没调出来 纠结呀! #include <msp430x14x.h>#include \"TFT_LCD24.h\"//#include \"char.h\"#include \"delay.h\" //数组a依次储存用户码、用户反码与键数 ...… 查看全部问答> |




