历史上的今天
今天是:2024年12月23日(星期一)
2019年12月23日 | TOSM和UOSM校准方法的基本原理与误差分析研究
2019-12-23 来源:elecfans
1.1 传统(已知)直通校准方法的误差模型
传统的同轴系统校准方法通常叫TOSM----Through Open Short Match(又称SOLT----Short Open Load Through),是基于早期的网络分析仪的3接收节架构的一种校准方法(以2端口网络分析仪为例,可以统称为N+1结构,即端口数为N,接收机数目为N+1)。该架构中,参考接收机是两个端口之间共享的,通过开关分别在两个端口之间切换。因此误差模型是12项误差模型,这也是经典的网络分析仪误差模型,如图1和2所示,一般分为正向和反向两个子模型,通常可以省略串扰项ex和ex’,即简化为10项误差模型。该模型里面的各个误差项eij的含义如表1。实际网络分析仪中,e10、e32、e23、e01或e'01、e'23、e'32、e'10值不会等于0,因此可以将这8个项中的某2项指定为非零的任意值,这会改变波量(wave quantity)的绝对值,但是不会影响波量之间的比值(S参数的定义是波量之间的比值)因此这里假设e10=1和e'23=1,这样就得到10个独立的误差项,即10个独立的未知数。

图1 3接收机架构中前向测量的误差模型

图2 3接收机架构中反向测量的误差模型

表1 10项误差模型中误差项的物理意义
所谓校准,就是测量一组已知器件(即校准件或称标准件),根据仪器接收机实际测试的结果和已知校准件的特性比较,联列方程组,解出上述的误差项eij,从而为后续的测量提供修正。
这里需要对校准件做进一步说明,在同轴系统中,校准件通常是开路、短路、匹配和直通,但是由于现实中无法实现理想的开路、短路、匹配和直通,因此需要正确的标定校准件的“特征数据(characteristic data)”,例如开路应该表征为一个寄生电容和一段传输线;短路表征为寄生电感和一段传输线,匹配一般表征为一个理想50欧姆,现代网络分析仪也可以对匹配的不理想性进行表征。如图3所示。
因此下面的公式推导中,我们使用ΓopenΓshortΓmatch 分别表示开路、短路、匹配校准件的实际反射系数,由于匹配通常定义为理想50欧姆,所以一般Γmatch =0,且上述3个参数为已知量,一般在校准件的附带的存储设备里面,都以文件形式定义,对于低频的同轴校准件,其差异性不是很大,所以大部分商用网络分析仪都内置了常见型号的校准件“特征数据”的典型值(typical)。
对于直通校准件,必须精确的表征(或者说“告诉”网络分析仪)其插损和电长度,严格来讲还需要知道其S11和S22,但是目前网络分析的模型都是把直通当一个理想50欧姆的有损传输线来处理的。

图3 常用校准件的电路模型,特征数据描述了校准件的不理想性
1.2 校准的步骤
分别测试开路、短路、匹配(1和2端口分别测试,共6次)这三种单端口校准件,可以列出6个方程,再测试一次直通件,可以列出4个方程。
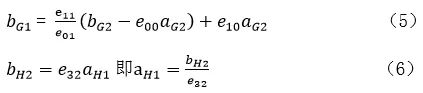
由于参考接收机是共用的,前向和反向测试的时候需要用2个独立的子模型,其中前向误差模型如图1,其中真正到达参考面的信号波量(wave quantity)为aG1 和bG1;网分内部接收机实测信号波量为aG2 和bG2,两者的关系如下面公式:

当测量单端口校准件时,可以得到

分别在两个端口连接Open、Short、Match校准件可以得到6个方程,其中bG2/aG2 和bH2/aH2 是接收机真正接收的数据,是实测数据,在方程组中当作已知数处理。Γstd 分别为Γopen 、Γshort 和Γmatch,可以用图3中的模型描述。
对于直通件Through的测量

当正向测试直通校准件Through的时候,会得到两个结果,即两个方程,分别是Through校准件的插损S21-T,Through校准件串联负载匹配e22之后,整体的反射系数ΓTHR FWD

类似的反向误差子模型如图2:
测试直通校准件Through的时候,方程如下,其中ΓTHR REV代表反向负载匹配e'11和Through串联之后总体反射系数

公式(7)(8)(9)(10)中的aG2、bG2 、aH2、bH2是接收机真正接收的数据,是实测数据,在方程组中当作已知数处理,又可以列出4组方程,和上面的6组方程一共构成10组方程,而误差项刚好也是10个,正好可以解出每个误差项,即可完成校准过程。
1.3 未知直通校准方法和模型
现代网络分析仪普遍采用了2N接收机架构,例如2端口网络分析仪的接收机数目为4,即每个端口都有自己的参考接收机和测量接收机,因此仪器端口的反射系数e11和e22无论在前向测试还是反向测试中,始终保持不变,即反向测试的负载匹配和前向测试的源匹配相同,反之亦然。因此其误差模型如图4所示,对应的误差项如表2,其中源和负载匹配部分用灰色底色表示。和1.1节类似,实际网络分析仪中,e10、e32、e23和e01 的值不会等于0,因此可以将这4个项中的某一项指定为非零的任意值,这会改变波量的绝对值,但是不会影响波量之间的比值(S参数的定义是波量之间的比值)因此这里假设e32=1,因此共有7个独立的误差项(即7个未知数)【3】。

图4 现代网络分析仪4接收机架构的误差模型

表2 7项误差模型中误差项的物理意义

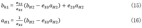
由此可以得出真正到达参考面的信号aG1 和bG1和网分内部接收机实测信号aG2 和bG2的关系:

同理可得在端口2,到达参考面的信号aH1 和bH1和网分内部接收机实测信号aH2 和bH2的关系

对于单端口校准,可以使用公式(3)和(4)列出6个方程。对于直通校准件分别仅测试其插损S21和S21

注意,(17)和(18)中,4个接收机实测信号都是参与的,因此要正向的测试一次直通校准件,把4个接收机的结果带入(17),再反向测试一次,把4个接收机的结果带入(18)。只要保证直通校准件是互易的,即S21=S12,即可以使(17)和(18)相等,得出一个方程。和上面单端口校准的6个方程联列,一共有7个方程,和7个未知数,就可以解出各个误差项eij【3】。
2.1 采用校准件进行验证的结果和常见误区
在介绍验证之前,先简单介绍一下有效系统数据(effective system data)这个概念:通过系统误差校准,对误差网络进行数学补偿后,剩余的系统测量误差称为“有效系统数据”。
对于网络分析仪测试精度(包括校准)的验证方法有很多,例如T-check,失配负载、50Ω-25Ω-50Ω阶跃空气线等,并且还带有可溯源的参数文件。验证的方法也比较复杂,主要是面向计量单位的。普通用户通常会直接使用校准件做一些简单的验证。
首先这里要强调,用校准件去验证,实际测试的结果不是“理想”参数,而是校准件“特征数据”。
因此直接测试Open,并不是在史密斯圆图最右端开路位置的一圈点,而是一个沿等驻波比圆,向源(generator)方向的一条曲线。这是因为如图3中的开路校准件实际上是一个寄生电容串联一段有损传输线,对于不同频率传输线引起的相移(包括损耗)是不一样的,因此聚在一起的数百个扫频点,每个点的频率是不一样的,相移各不相同,就显示成一个曲线了,如果看S11的相位,也不是0度,原因同上。
同理如果测试Short校准件的S11,看到的也是在史密斯圆图左端短路点附近,沿等驻波比圆,向源(generator)方向的一条线,曲线的长度和扫频范围有关。
至于Match,由于目前的网络分析仪一般把它当作理想50欧姆匹配来处理的。所以校准完再次接上Match校准件,其反射系数非常低,一般能达到-60dB左右,这个值可以理解为“有效系统数据”即补偿后的剩余误差。值得注意的是,对于Match会有一个特殊的所谓“记忆(re-recognition)”现象,也就是说用某套校准件校准,如果还是测刚刚校准用的那个Match,反射系数可以到-60dB左右,如果换任何其他一套校准件中的Match,都不可能达到-60dB,一般只能达到-30dB左右。这主要是因为,低频段的网络分析仪都把Match当作理想50欧姆,校准算法仅仅根据当前测试的这个Match的结果来补偿,而实际上每个Match的物理特性都是略有差别的,因此换上另外的Match就不可能达到-60dB左右的反射系数。当然理想的50欧姆也是不可能实现的,这也是影响测量不确定度的一个因素,目前商用网络分析仪在测试反射系数,特别是反射系数特别小的器件的时候(-25dB到-35dB),不确定度一般都能达到2-3dB。
因此有必要再次强调,任何匹配校准件真实的S11(反射系数)达不到-60dB,一般只有-30到-40dB左右。在校准时,系统将它当作理想的匹配,就得到了-60dB这样低的结果。
现代网络分析仪也支持用S参数包来定义校准件,如果采用S参数包文件定义,校准后再测量Open,Short和Match,测量的结果就和S参数定义包里面的数据完全一样。值得注意的是,目前的商用校准件通常只是对Open、Short、Match使用S参数包,对Through还是使用有损传输线的模型。这主要是由于传输线模型已经能比较精确的描述其特性了,由于Through是2端口器件,必须是有S2P文件,而如果用了S2P文件,文件的参数必须和校准件的连接的方向有关,而实际中也不方便规定校准的时候Through的连接方向。
2.2 直通校准件的验证
无论是TOSM还是UOSM校准方法,最后一个接的校准件就是Through。因此校准完之后直接看Through的结果也是最方便和最常用的简单验证方法。下面对在TOSM和UOSM两种方法下Through测量的结果进行详细分析。
和上面类似,使用TOSM校准之后,直接测量Through的结果就是校准件模型中对应的“特征数据”,有一定的插损和相位。这一点是需要注意的,很多使用者一直有一个认识的误区,认为这时候的插损应该是0,相位也是0,这是不正确的。
对于UOSM校准,校准后直接测量Through校准件,这时网络分析仪就把Through直接当成一个被测件来处理,测到的插损和相位就是这个校准件实际的特性。值得一提的是,UOSM校准非常适合两端为不同接头类型的器件的测试。例如一个被测件的输入是N型接头,输出是SMA接头。在测试这种器件时,可以在网分的一端使用N型电缆,另一端使用SMA型电缆,校准的时候,可以在N型接头这边使用N型的Open、Short、Match校准件校准,在SMA型接头这边使用SMA的Open、Short、Match校准件。在校准Through的时候,使用任意一个质量较好的N-SMA转接头即可,校准完之后,参考面就是电缆的N型接头和SMA型接头的末端。因此UOSM校准方法也可以用于测试一些接头适配器和射频电缆。
TOSM校准完之后,Through校准件不拿掉,直接测试S11或S22,此时测得的是有效负载匹配(可以当做接近理想50欧姆)串联一段有损传输线的结果,如图5所示,是在史密斯原图中心匹配点附近的一个小圆圈,随着频率的变化呈现一定的复数阻抗特性,逐步偏离50欧姆原点。由于如图3,Through校准件是当作理想50欧姆的有损传输线来处理的,没有考虑Through本身的S11反射,这个值换算成反射系数用dB表示仍然很小,一般网络分析仪在8GHz以下,仍然有-50dB左右。
如公式(8)和(10),TOSM校准在测量直通时,仍然要测试S11和S22,并对其补偿,因此校准之后,对当前使用的这个Through校准件也有所谓“记忆(re-recognition)”现象,此时换成另外任何一个Through之后,都不可能达到-50dB的回波损耗的,甚至仅仅把当前这个Through换一个方向连接,也达不到-50dB这个量级。

图5 TOSM校准之后直接测试当前校准件的S11在史密斯圆图上的结果
但是USOM对Through的S11和S22没有做测量和补偿,Through甚至是未知的,更没有把它描述为一个理想有损传输线,因此就没有所谓的“记忆(re-recognition)”现象。校准完之后,直接测试Through,其S11和S22就是这个Through本身的端口反射系数,一般在-30dB以下。但是这才是合理的,TOSM校准后的结果实际上是“记忆(re-recognition)”效应的结果,是过于理想化的仪器的剩余误差,不能反映校准件和系统的真实特性。
虽然UOSM校准之后,直接测试校准件的结果没有TOSM那么理想,但是UOSM才是更精确的校准方法,其结果更能真实的反映校准件的特性。
3.小结
本文详细介绍了传统直通校准方法TOSM和未知直通UOSM校准方法的基本原理,误差模型,校准件不理想性的表征和所谓的“记忆(re-recognition)”现象,在这个基础上,对比了不同校准方法,校准之后测量当前校准件的结果,指出了一些常见的误区,强调了UOSM校准方法的优点和方便性。为广大网络分析仪使用者的日常使用提供指导。
史海拾趣
|
请教一下这个电路的U4A是什么类型的电路呢,怎么分析它呢,VSR/VAR是用电阻分压得到的一个稳定电压,在这起什么作用呢,还有他的输出为什么要接一个R24与C3的RC滤波呢,再接到比较器呢? 还有就是U4C是由单片机控制的上半周锯齿波发生器,这个我明 ...… 查看全部问答> |
|
Bios密码跟登陆密码不是一个,也就是说现在还是能正常使用。但还是挺闹心的,大家帮帮忙想想办法啊! 拿到厂里去的方法就不要说了,这个我也知道,我希望是一个我自己能解决的办法!先谢谢大家了! 我是新手,分不多,大家体谅啊!!… 查看全部问答> |
|
INT ReceivePacket( IN NDIS_HANDLE ProtocolBindingContext, IN PNDIS_PACKET ...… 查看全部问答> |
|
在ce6.0 nleddrvr.dll是如何生成的呢?在$CEROOT\\PUBLIC\\COMMON\\OAK\\DRIVERS\\NLEDDRVR目录生成的是nleddrvr_lib.lib。 SYSGEN_NLED = 1,SOURCE文件中 WINCETARGETFILES=dummy 就生成了?过程是怎样的呢?… 查看全部问答> |
|
地址宽度21位,是20-0?显示是21-0这个地方有没有问题,以前版本是地址宽度22,才是21~0。 [ 本帖最后由 tianma123 于 2012-4-27 11:20 编辑 ]… 查看全部问答> |




