历史上的今天
今天是:2025年01月12日(星期日)
2020年01月12日 | STM32的Code/RO/RW/ZI区、Flash/Ram的占用情况、堆栈大小的设置
2020-01-12 来源:eefocus
以cortex-M3为例,例如STM32F103
这篇文章要讲2个问题:
1、编译出的程序(指令)、变量的存放位置、大小?
2、在代码和keil中,“堆、栈”两者的大小如何设置?
keil编译完成后,会有提示,形如:
Program Size: Code=1148 RO-data=424 RW-data=20 ZI-data=1636
其中:
① Code为代码,本质上就是一大堆ARM指令;
② RO为只读的数据,例如,char *name = "TOM";//TOM三个字符就存放在ROM中作为RO-DATA;又如,为了减小sin的计算量,把sin的各个值直接制作成表,const float sinVal[]= {.....};
③ RW为非初始化的全局和静态变量占用的RAM大小,同时还要占用等量的ROM大小用于存放这些非0变量的初值;
④ ZI为0初始化的内存区的大小(该区域3个用途:0初始化的全局和静态变量+堆区+栈区)。
下面是keil自动生成的.map文件中的信息:

Flash的占用量就是上图中ROM Size的大小,它包含了①+②+③的大小【ARM指令代码+只读数据+非0初始化变量的初值】
RAM的占用量包含上述③+④的大小,也即【非0初始化变量、0初始化RAM(又分为0初始化静态变量区+堆区+栈区)】
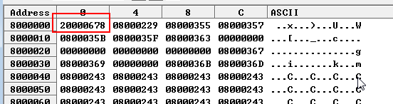
我们用jflash或者其他软件打开hex文件,看一下前四个字节:

0x2000678-0x2000000=0x678=1656,而观察一下前文编译出的信息,正好1656 = RW-data(1636) + ZI-data(20)的大小,这就证明了RAM的大小确实=RW+ZI的大小。
注:hex文件的前4个字节为主堆栈指针MSP的初值。
在STM32的启动文件(.s汇编文件)中,一开始我们会看到 Stack_Size、Heap_Size 这两个汇编宏定义:

Stack指的是栈,栈是由堆栈指针MSP/PSP自动管理的,理论上初始化时给堆栈指针赋值为RAM的最高地址即可,但是用keil编译时,keil并不是按RAM的最高地址生成的HEX前4字节(也即MSP的初值),而是按照:全局和静态变量的容量+Heap_Size+Stack_Size三者之和,作为HEX文件的前4字节。
设置某块芯片的RAM的总大小,是在keil的这个地方设的:

其实讲道理,我觉得keil还是把这个值+RAM起始地址(0x2000000)作为MSP的初值更好,只不过keil不是这么做的,keil仅仅是把这个值用作编译检测:检查全局和局部静态变量(含0初始化和非0初始化两部分)所占的空间+堆区+栈区,它们所占空间之和是否超过了上图红框里的这个值,如果超了就编译报错。这就是上面红框里的值唯一的作用。
根据这段理论,我们也就知道了启动文件中Stack_Size该设为多少了,只要【全局变量+局部静态变量+Heap_Size+Stack_Size】的大小不超过芯片的RAM容量即可。
keil编译时,会把C库函数支持的malloc、free所需的内存指向heap内存区,并且当我们不断的malloc吃内存堆时,malloc函数会检测程序已吃掉的内存堆是否超过了Heap_Size,超了的话就会返回NULL。
keil是这样为【全局变量 + 局部静态变量 + Heap_Size + Stack_Size】分配内存的:

上面论述的是,使用C库函数提供的mallloc时,内存堆heap的使用情形,如果我们不打算使用C库提供的动态内存分配,而打算使用自己写的内存堆管理程序,甚至干脆不打算使用动态内配功能,这些情况下,请直接把Heap_Size设为0。
最后总结一下Stack_Size的设置方法:①在keil中正确设置芯片的RAM大小, ②确定堆区Heap_Size的大小,这个值可以通过调试自己估计出来,如果不使用C库的malloc的话,直接设为0,③把Stack_Size设的越大越好,只要编译不报错,就把Stack_Size往尽可能大了配。over
PS:自己写的动态内存管理程序,本质上就是申请一个大数组,自己管理这个数组而已,相当于自己写一套malloc/free函数,很多操作系统中有这样的例子,比如freeRtos、ucos等,这些操作系统都提供了好多种动态内存管理方法,最简单的一种,跟切火腿似的,malloc出来之后就释放不掉了,直到把这个大数组切完拉倒,看似很low的内存管理方法,实际上在很多小型项目上却用起来很方便。更好的内存管理程序,那自然是支持动态切,还要支持把动态释放的空间合并起来,以便把刚才合并起来的空间再次malloc,这些更好的内存管理程序,用起来更方便,但是同时,这种功能强大的内存管理程序自身也会占掉很多RAM / ROM / CPU资源,矛盾利弊共存。到底要使用简单的内存管理还是高级的内存管理,要看项目需求,一般嵌入式操作系统会提供4种以上的内存管理程序供我们选用。
史海拾趣
|
Intel82551网卡大包(65535 bytes)不通问题 小弟正在做MPC8377的板子,板载一片Intel82551 PCI网卡,还有Intel82574 pci-e网卡,vxworks的版本是6.6,之前我是使用命令行编译的,这两个网卡的大包(65535字节)都不通.后来,使用workbench编译,通过比较prjParams.h文件,添加了大包的相关组件后, 82574 ...… 查看全部问答> |
|
在wince 4.2 的引用过程中碰到如下几个问题,由于版本过老,很难找到资料,望高手指点 1.原IE是4.0,需要升级到6.0,网上很难找到IE升级包,有没有什么方法可以解决呢?主要是用在远程监控的IE访问,要安装插件(诚风的远程监控 硬盘录像机),有 ...… 查看全部问答> |
|
请大家帮帮忙,怎么才能在PB5.0与开发板之间建立内核调试关系。急!!! 请大家帮帮忙,怎么才能在PB5.0与开发板之间建立内核调试关系。 我希望能够在开发板启动的时候,PB5.0能够对WinCE5.0镜像进行单步调试,断点调试。 很急呀!!!… 查看全部问答> |
|
目前在wince6 R3环境下开发Silverlight程序,计划采用DirectDraw作为2D加速方式。处理器为pxa310,是支持DirectDraw的2D硬件加速的。 按照msdn上的介绍配置好环境变量,SYSGEN_XAML_RUNTIME,BSP_XRPLUGIN_DDRAW and BSP_XRPLUGIN_OPENGL。在系统b ...… 查看全部问答> |
|
我下了个uclinux-dist-200608...tar.gz,里面的linux-2.6.x不好用,编译gcc的时候会找不到头文件,我看了下arm-elf声称的头文件中小而且东西齐全,我该怎样去制作这个头文件,对了我的板子lpc22xx,有什么下补丁的地方吗?… 查看全部问答> |
|
我在XST综合时,未接输出端口的寄存器被优化掉了,但我需要保留这些寄存器以获得一些功耗方面的信息。 请问如果约束优化,使这些寄存器得以保存下来呢?? 等待高手解答!!!!!!!!!!!!!!!!… 查看全部问答> |
|
uart1 需要自己搭外设。 看着datasheet配置完uart1 还是不行。到后来才发现 板子上的uart0 “对应”PC机上的虚拟串口在这里写下来,让有出现同样情况的朋友们明白下·~共同学习~~… 查看全部问答> |
|
真正使用430是这次换工作以后,新项目是用430单片机来实现的,主要是430的微功耗功能,确实让我感受到这款单片机的强大。以前做项目采用c8051单片机,功能在10mA左右,认为这种功耗已经很小了,接触430后才感觉到TI对MCU的设计的水平,能够很好的把 ...… 查看全部问答> |




