历史上的今天
今天是:2025年01月13日(星期一)
2020年01月13日 | 一文了解ZDS示波器频率计架构分析
2020-01-13 来源:elecfans
本文导读
频率是信号最核心的特征之一,但工程师常有这种困惑:为什么硬件频率计和示波器频率测量结果不同呢?哪个数据才更精确呢?来听听资深硬件工程师的原理剖析分享。
一、频率测量原理
所谓“频率”,就是周期性信号在单位时间(秒)内变化的次数。若在一定的时间间隔T内计数,计得某周期性信号的重复变化次数为N,则该信号的频率可表达为:
f = N / T
所以测量频率就要分别知道N和T的值,由此,测量频率的方法一般有三种:测频算法、测周算法以及等精度测量。ZDS示波器主要用到了测频算法和测周算法,下面将介绍这两种方法原理。
1、测频算法
这种方法即已知时基信号(频率或周期确定)做门控信号,T为已知量,然后在门控信号有效的时间段内进行输入脉冲的计数,原理如图1所示:

图1 测频原理
假设时间基准信号的重复周期为1S,加到闸门的门控信号作用时间T亦准确地等于1S,即闸门的开通时间为1S。在这一段时间内,若计数器计得N=100000个数,根据公式f = N / T,那么被测频率就是100000Hz。
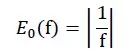
测频方法的结果是精确到Hz的,由于异步采样造成的频率量化误差为±1Hz,因此测频模式下的相对频偏误差为:
可以看到,随着频率的升高,相对频偏误差会不断减小,因此测频算法适用于测高频信号。
2、测周算法
测周算法即:被测信号(频率或周期待测)做门控信号,T为未知量,做门控信号T,然后在门控信号有效的时间段内对时基信号脉冲计数,原理如图2所示:

图2 测周原理
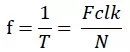
被测信号的周期T,时基信号的频率Fclk,计数值N有如下关系:
从而得出被测信号的频率f为:
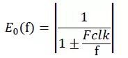
测周模式下的相对频偏误差为:
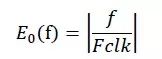
Fclk/f一般远大于1,所以上面公式等价于:
随着频率的降低,相对频偏误差会不断减小,因此测周模式适用于测低频信号。
二、ZDS示波器频率计架构分析
ZDS示波器的频率计分为硬件频率计和参数测量频率计,它们在系统中所处的位置如图3所示:

图3 频率计在示波器系统中所处的位置
硬件频率计是基于存储之前的信号进行的测量,它不受采样率控制,不受屏幕是否有波形限制。硬件频率计内部会根据外部输入信号的频率自动选择测频或测周算法。只要通道有信号输入,并且信号幅值不会太小,硬件频率计都可以将其频率测量出来。
参数测量频率计是基于存储之后的波形信号进行的测量,受限于触发,受限于屏幕是否有波形,因为示波器的测量功能只对屏幕内的波形进行测量统计,所以当屏幕上出现的波形不足一个周期时,频率信息便不会获得。参数测量频率计是基于测周算法,先得出信号周期,然后将周期换算成频率。
三、频率计差别的实例分析
下面通过一个例子来说明,硬件频率计和参数测量频率计之间的差别。如图4所示,CH1输入一个1M的正弦波信号,然后同时打开硬件频率计和参数测量频率计,我们发现右上角的硬件频率计正确测出信号频率,但是左下角的参数测量频率计并没有测出信号频率。造成这种差异的主要原因,参数测量频率计是基于屏幕波形的,参数测量中周期定义为两个邻近上升沿之间的时间,下面波形由于没有出现2个邻近的上升沿,导致测不到周期,进而导致频率测量不出来。

图4 硬件频率计和参数测量频率计之间的差别
四、总结
利用示波器测信号频率是用户经常用到的功能,本文主要介绍了ZDS示波器频率测量原理,并介绍硬件频率计和参数测量中的频率计的差异,通过此文可以加深对ZDS示波器频率计的认识和理解。
上一篇:使用示波器的过程中遇到的常见问题
史海拾趣
|
新手学习电子的好网站: (电子风暴) mcs-51单片机技术学习: www.laogu.com www.mcu51.com www.c51bbs.com www.21icbbs.com ========================================================================= 要购买的书: 《图表细说电子技术 ...… 查看全部问答> |
|
现在关于2.4G的应用传的沸沸扬扬,什么无线抄表、无线语音、无线鼠标键盘等等, 不同的应用使用不同的协议,在2.4G上可以有IEEE802.15.4,JenNet,ZigBee等可以选择。 无线抄表:网络比较大,需要通讯的数据量比较小。电表的抄送没有功耗的要求 ...… 查看全部问答> |
|
请教一下,T/C1工作在ctc模式时,当允许比较匹配A中断时,是把TCON1和OCR1A比较,那当允许比较匹配B中断时是不是TCON1和ICR1比较啊?当允许比较匹配B中断时是不是OCR1B的内容就是ICR1的内容啊? 谢谢 … 查看全部问答> |
|
是一块i2c总线的a/d芯片,现在在读取转换结果时地位数据一直是ff,高位数据倒是能根据前端送的电压的不同而改变,但也就是在0,3,7,F之间变化。驱动方面应该没什么问题,其他也有i2c器件用了该驱动,用示波器看了下时序也符合datasheet的要求。 ...… 查看全部问答> |
|
mobile c++ 如何实现camera自动对焦功能?为什么我这样都没有对焦效果? mobile c++ 如何实现camera自动对焦功能?为什么我这样都没有对焦效果? IAMCameraControl gcap.pCamControl if ( (gcap.pCamControl) ) { ...… 查看全部问答> |









