历史上的今天
今天是:2025年02月15日(星期六)
2020年02月15日 | 讨论示波器有效位ENOB,以及ENOB对实际信号测试的影响
2020-02-15 来源:elecfans
衡量示波器测试系统质量的关键指标有很多,而“有效位数”对于了解整个测量系统至关重要。本文将讨论示波器有效位ENOB,以及ENOB对实际信号测试的影响,并结合实际应用,给出EXCEL求解的方法。
1. 前言

图表 1数字示波器系统结构图
由图表 1数字示波器系统结构可知,信号通过探头系统进入示波器后,经过衰减器和前置放大器调理后进入ADC。衰减电路和放大器通过继电器进行协同工作,在调整垂直分辨率时可快速切换使用。衡量ADC性能指标的参数有很多,比如采样率、DNL、INL、信噪比、有效位等。本文主要讨论ADC的有效位指标以及示波器系统的有效位。
2. ADC有效位定义

图表 2 ADC采集的正弦波频域分布
ADC的有效位指标是对正弦波信号进行FFT频谱分析间接计算得到的。图表 2是正弦波经过AD采样再经过fft变换得到的频域分布图,除了主要的正弦波分量外还存在很多噪声、谐波和杂散信号。
ADC的有效位定义为


式中:1.76为理想ADC的量化噪声;6.02为将log2转化为log10的系数比。
3. 示波器的有效位ENOB
ENOB参数被业界广泛接受为是一种通用的判定A/D数模转换、示波器系统或其它数字化系统性能优劣的指标。所有的数字化系统中都存在多种误差,这些误差会影响系统获取的电压与 “理想” 电压存在偏差。对一个理想的示波器系统而言,在最大输入带宽范围内,系统有效位数应和A/D的转换分辨率相同。在现实中,所有的仪器都不可能是理想的,ENOB通常是低于其A/D转换分辨率的。
由图表 1数字示波器系统架构图可知,前端采集电路及ADC采样电路对ENOB有较大影响。实际工作时,偏置误差、非线性误差、增益误差、随机噪声以及ADC交织引起的噪声都会影响ENOB。

图表 3示波器ENOB曲线
4. ENOB对实际信号测量的影响

图表 4两台示波器测量同一信号
-示波器的ENOB指标好,时间误差、频率杂散(通常由拼接误差引起)都比较小,同时宽带噪声也比较低;
ENOB没有考虑相位不一致和频响失真等;
理想情况下所有示波器都具有平坦的相位和频响曲线以及相同的滚降方式。但事实上一般在示波器指标手册里都找不到相位和频响曲线,同样ENOB也没有考虑频响平坦度或相位的不一致性。图表 4显示了一个输入信号在两台不同的示波器上的测量结果。两台示波器的ENOB是相同的,但示波器1显示的波形更加接近真实的输入信号,而示波器2显示的波形就失真比较大。
ENOB没有考虑到示波器可能引入的偏置误差;
两台有相同ENOB的示波器可能显示的波形形状完全一样,但是绝对电压偏置不一样。对于这一点,测量示波器在不同偏置下的底噪声或者评估直流增益指标可以提供更好的评价方法。
5. 示波器ENOB的测量
l 示波器ENOB的测量需要考虑以下几点因素:
1) 测试源的ENOB要比被测示波器的ENOB大。
2) 被测信号是否充满示波器量程会影响ENOB的测试结果。
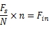
3) 被测信号频率与示波器采样率会影响ENOB的测试结果。这一点很重要,在实际测试中必须满足以下条件。(详细可在“ZLG立功科技-致远电子”微信公众号文章搜索‘千万别错过!这些FFT干货真的很受用’)
![]()
式中:
n:质数;
N:FFT的分析点数,此处取4096个点;
Fs:示波器采样率;
Fin:被测信号频率。
根据以上几点,示波器ENOB的测量的大体思路和相关步骤如下:
1) 示波器设置合适的垂直档位、时基档位、储存深度和采样率。采样率可通过调节时基档位和储存深度改变;

图表 5示波器ENOB测试截图
2) 导出数据报表.SCV文件;

图表 6示波器导出.SCV文件
3) 利用EXCEL对数据进行傅里叶变换,并计算ENOB。
(EXCEL模板百度云链接:https://pan.baidu.com/s/1ciUuB3oKfco-10QkR4o3TA 提取码: x8i5)

图表 7EXCEL处理数据求解ENOB
不同幅度和频率被测信号的情况下,利用EXCEL处理数据求解示波器ENOB。结果如图表 8所示,虽然ZDS2020B Plus采用8位ADC,由于被测信号幅度的影响,实际测量的ENOB是没法达到理想状态的;
图表 8示波器ENOB记录表

ENOB是衡量示波器ADC数模转换性能的指标之一,但更高的ENOB并不是示波器能够真实重现输入信号的必要条件。这主要取决于测量什么信号,以及ENOB是否会影响到测量结果。在实际应用中,可以通过以下几点提高示波器的ENOB以获得较高的测量精度。
示波器选择带宽限制滤波器,这样可以抑制交织误差和噪声等高频分量,从而获得更高的ENOB。
在测量重复性的或低频信号时,使用平均或高分辨率的采集模式,这样可以减少宽带噪声。综合使用这些模式可以有效进行更高精度测量。
选择合适的垂直量程,一般波形占屏80%~90%。
上一篇:正确挑选示波器的12大秘诀
史海拾趣
|
本帖最后由 paulhyde 于 2014-9-15 03:17 编辑 有那位高人能提供智能循迹小车驱动电路的pcb呀 核心板芯片是pc9s12xs128的 电机驱动电路的芯片是33886的 或是其他的芯片耶可以 还有能否提供光电探测板的电路图和pcb 在这 ...… 查看全部问答> |
|
手册上只说了超过设定值,告警标志位会置位,但是如何查询到呢?单片机在那个Alarm Search(ECh)命令发出后,18B20里面也没有寄存器可以读到报警位啊? 现在只能用软件方式查询,当前温度值与实现设定好的TH,TL的比较关系,从而判断是否超过了温 ...… 查看全部问答> |
|
Microsoft Communication Controls Version 6.0 不支持此接口 RT. 我用vc6.0新建了个对话框的工程,添加MSComm控件时,出现了上面的提示,无法插入该控件。 这个该如何解决?… 查看全部问答> |
|
24系列存储器内部没有型号标志信息,在我的板上装有不同型号的24IC,写个程序来判断该24系列IC的地址、存储容量和页写缓冲。各位大虾给个思路啊… 查看全部问答> |
|
因为平时使用CAN总线很多,所以这次专门找时间,试用了一下lm3s8962的CAN功能,附件就是我简单试用时,使用的程序。(接收指定ID的CAN数据,并通过串口输出)程序中还有不明之处,望指点!! 例程中对CAN报文对象设置时: // CAN接收报文对象设置tC ...… 查看全部问答> |
|
LED具有低功耗、寿命长、环保等鲜明的特点,在从小尺寸背光应用领域向大尺寸面板背光进行渗透之后,现在进一步向通用照明应用领域扩张,目前已经在景观、建筑、商业、汽车、移动照明等领域快速发展。 面对LED照明的众多应用领域,由于市场并没 ...… 查看全部问答> |
|
实现功能:我用串口接收PC端一串数据 然后在把数组中的数据发送给串口 传到PC 遇到问题:串口接收正常 但是发送每次只能发送一两个数据 环境 :串口5 中断接收 请大家帮忙分析下原因 谢谢! ...… 查看全部问答> |
|
用点阵做了一个时钟程序 用timer0 控制点阵刷新 用timer2 使用异步时钟32768计时 现在遇到一个问题 做了一个滚动字幕 希望每十分钟显示一次 那么应该每十分钟关闭一次timer0 的溢出中断 在 ...… 查看全部问答> |
|
interrupt[PORT2_VECTOR] void Port2(void) { LcdMain(); } 这个是我的中断服务程序,可是编译出错,显示 Error[Pe077]:this declaration has no storage class or type specifier Error[Pe065]:expected a ";" Warning[Pe012]:parsin ...… 查看全部问答> |




