历史上的今天
今天是:2025年02月22日(星期六)
2020年02月22日 | LC谐振频率的测试方法和基本原理
2020-02-22 来源:elecfans
研究背景
传统上LC谐振频率的测试方法是通过逐点改变加在 (直接或者间接 )LC谐振回路上信号频率来找到最大输出时的频率点,并把这一频率点定义为 LC谐振频率。很明显这种测试方法的缺点是:测试方法比较复杂,测试时间长,测试精度低,而且直接受到谐振体尤其含磁芯谐振体由于较长测试时间所引起温度变化的影响。本论文中所要介绍的应用在PLL基础上对LC谐振频率进行测试的原理和方法具有快速,高精度和不受温度变化的影响,并且还具有测试方法简单的特点。本论文主要从理论上简明使用PLL对LC谐振频率进行测试的原理。
基本原理
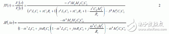
测试LC谐振频率可以通过图1所示的2次耦合回路形式来完成。其中 L2C2组成一个待测LC谐振回路, L1是发射线圈,Li是只有单匝的接受线圈。一般测试时可以满足: 1/ωCi》Ri》ω Li,M2》M1》M3的测试条件。这里ω是实际工作角频率,Ri,Ci与 R1,C1分别是接受线圈与发射线圈的接入回路的电路参数, M2是待测LC谐振回路与接受线圈间的耦合系数,M1是待测LC谐振回路与发射线圈间的耦合系数,M3是发射线圈与接受线圈间的耦合系数。满足上述测试条件下从图1可以得出。

这里V1是发射信号的电压, V2是接受信号的电压,则测试回路的传输函数是由下式所决定的。

图1LC谐振测试回路的原理图

根据LC谐振回路的性质可以得到:
这里ω 01与ω 02(ω02》ω01)分别是由发射线圈 LC谐振回路与待测 LC谐振回路的谐振角频率,实际应用时 Q2在100左右,而 Q1小于1。此时式3可简化为:
所构成。其中:
如果实际工作角频率与待测谐振角频率间的角频率差 Δω控制在远小于 ω02,这样可以无视 Δω的高次项,式5可以作进一步简化。
所以振幅函数和相位函数可以分别简化为下式。
谐振时振幅为最大,此时振幅和相位函数可以分别由下式给出。
设定电路参数为f02=83kHz、f01=800Hz、Q1=0.1、Q2=70、M2/L2=0.2、M1/L1=0.1、M1/L2=10-4、R 2/Ri=10-3时在Mathcad下仿真结果如图 2所示,其中振幅特性是归一化后的特性, d=Δf。从图中可以看出有跳周现象,这是由于式 8分式中分母部分发生归零引起的。该点角频率差定义为 Δω0,则由式 8可以得出以下关系式。
上式满足了PLL工作条件,即使用上记相位信号的 PLL回路最终锁定在待测 LC回路的谐振频率上。实际使用中根据测试条件很容易达到 A、B《1,由图1所组成的回路感度是由:
所决定的[2]。所以即使ω02有相当大的变化θ 0的变化也是很小的,即 θ0可以看作为常数。以下我们仅讨论 PLL动作范围在谐振角频率附近时的工作情况,有。则式8作以下变更。
使用式10对相位进行补偿,经过补偿后式8的实际相位Δθ是:



补偿方法一般可以使用双向延迟回路。由于实际应用时是使用固定延迟回路的,测量到谐振角频率与真实谐振角频率间会产生一个误差,假设这个谐振角频率差为Δω02,并且工作角频率范围满足Δω《ω 02。假设真实所需补偿的相位是由式10所决定的,则与固定相位补偿会产生一个相位差 Δθ0,则有式 10可以得到以下关系式。
这里Δω 02是当PLL回路工作在锁定状态下由于固定延迟所产生的谐振角频率差,对于一个具体的 LC谐振回路这是一个常数。当测试条件满足时,即使引进固定相位进行补偿其产生的误差也是很小的,几乎可以忽略不计。
实例
根据本文中所推出的原理试作了LC谐振频率测试机分别对6个种类LC谐振体样本(产品)进行测试。本LC谐振测试机已应用在6个种类LC谐振体的生产和产品检验上。具体结果参照表1和表 2。


.结论
本论文提出了一种快速,高精度和不受温度变化影响的测试LC谐振频率的原理,并通过具体实例验证了上述原理的有效性,作为今后一种研究的课题是如何解明针对发射和接受端为相同频率状态下 PLL工作特征与发射和接受端为不同频率状态下 PLL工作特征的差异性。
史海拾趣
|
在网上看到许多有关MCU的问题和评论 也许其中有很多是枪手写的 其实我没有真正的用过任何的MCU 说以有错的地方请高手指正 STC 最国产 频率打五折用 AVR 最老龄死 就他没样片 超级孤寒 PIC 卖广告最多 超常在教材上花心思 MSP430功耗最大 说 ...… 查看全部问答> |
|
BridgeWave Communications是能够提供完整的点到点毫米波链路解决方案的公司之一,公司在全球部署有数千台60和80GHz的无线千兆比特设备。该公司的毫米波无线设备支持局域网(LAN)干线扩展、移动电话回传应用以及大容量互联网接入。他们提供的无线系 ...… 查看全部问答> |
|
我编写了一个基于Windows ce的应用程序,其中要求能支持打印。要想实现,需要做哪些工作?请指教。 开发板使用的是ICOP的VDX6354,是支持打印的。 但是我将打印机插上(通过usb,并且是hp打印机)以后,系统没有自动显示新添加的打印机。 这是什 ...… 查看全部问答> |
|
我们在为客户开发一款机器,使用pxa270的cpu,客户要求可以在线播放youtube视频。 使用IE上Youtube的网站,总是自动转到youtube的mobile版,视频是3gp格式的,点击播放自动弹出mediaplay,但是提示连接不上服务器。如果上youtube的桌面版,则提示f ...… 查看全部问答> |
|
各位,我现在想实现这样的功能: 1、从数据库中获取电话号码后(如:12345),通过拨号按钮直接拨到此电话上(12345)。 2、拨通后,接受的电话(12345)可以听到一段录音,然后按提示选择对应的功能健。比如按1同意,按2不同意,按3转人工。 3 ...… 查看全部问答> |
|
我想用flash magic下载提供的例程hex文件到板子中。我有个串口线&USB通讯电源线。串口线连接到COM1,然后将P0.14所在的JP2短接,电源部分JP7短接。不知为什么始终连接不成功。期间看到板子介绍说,可以全自动ISP下载,于是将JP2,JP1,JP3都短接(R ...… 查看全部问答> |




