历史上的今天
今天是:2025年03月02日(星期日)
2020年03月02日 | 基于PIC单片机控制的RLC智能测量仪
2020-03-02 来源:elecfans
在使用电子元器件时,首先需要了解其参数,这就要求能够对元器件的参数进行精确测量。采用传统的仪表进行测量时,首先要从电路板上焊开器件,再根据元件的类型,手动选择量程档位进行测量,这样不仅麻烦而且破坏了电路板的美观。经过理论分析和实验研究,采用正交采样算法,并由单片机控制实现在线测量、智能识别、量程自动转换等多种功能,可大大提高测量仪的测量速度和精度,扩大测量范围。因此这种RLC测量仪既可改善系统测量的性能,又保持了印刷电路的美观,较传统的测量仪还具有高度的智能化和功能的集成化,在未来的应用中将具有广阔的前景。
1 硬件电路设计
此测量仪硬件设计思路如图1所示。

由于PIC单片机只能正确采集0~5 V之间的电压,而输入的信号是正弦波信号,因此在将此正弦信号送入单片机之前需对其进行电位提升,使整个正弦信号任意时刻的电位均大于或等于0。另外本测量仪具有量程自动转换和增益自动可控的特点,实现电路如图2所示。

图2中U1(CD4051)是一个单刀八掷的模拟开关,用以完成量程电阻挡位的转换;U2(CD4052)是一个双刀四掷的模拟开关,用来选择待测元件或基准电阻信号;U3,U4,U5,U6共同组成一个增益可以控制的仪用差分式放大电路,其中U5(CD4052)是用来切换增益倍数的;U8(74LS273)是一个锁存器,用于将由单片机发出的控制信号锁存并传输给U1,U2,U5实现程控;由于U1,U2,U5开关切换的驱动电压要求达到5 V以上,而单片机的高电平仅为3~5 V,达不到驱动电压,所以要采用一个集电极开路的驱动器(74LS07)才能实现由单片机控制的开关切换(R13,R14,R15,R16,R17为74LS07输出端的上拉电阻)。
这样通过程序控制单片机与74LS273相接端口的高低电位,就可以控制模拟开关选择不同的通道,从而实现自动的量程档位转换和增益控制。
2 软件程序设计
本测量仪的测量原理是以正交采样为基础。首先选用频率恒定的正弦信号作为标准测量信号,然后用待测元件和基准电阻串联对测量信号进行分压,最后由单片机分别对待测元件和基准电阻分压后所得的信号进行正交采样处理。
由于流过电容或电感的电流与其两端的电压存在90°的相位差,因此只需在任一时刻采样得到交流信号瞬时值V1,然后相移90°,再采样得到瞬时值V2,就可用V1和V2表示完整的交流信号:V2=V1+jV2。
软件程序的设计思路如图3所示。

3 实验结果
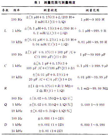
表1给出了该测量仪在测量频率为100 Hz,1 kHz,10 kHz±0.02%三种情况下的测量范围与测量精度。其中L,C,R,Q,D分别表示电感量、电容量、电阻值、品质因数、损耗角正切值。

4 结 语
本文设计了一种基于PIC单片机的RLC智能测量仪,其主要功能如下:
(1) 能够智能地识别出待测元件是电容、电感、还是电阻。
(2) 能精确测量出电容、电感、电阻的参数值。
(3) 可以实现量程电阻的自动转换,无须人工选择档位。
(4) 当测量正弦信号的幅度过小时,可以自动实现增益放大,从而不影响精度。
(5) 对测量仪进行扩充后还实现了二极管、三极管的测量。
由此可见,此测量仪具有高度的智能化和集成化,可精确地对元器件参数进行测量,这正符合当今测量仪器的发展趋势,他将具有广阔的应用前景。
上一篇:单片机脉搏测量仪
下一篇:锻压设备吨位测量仪的研制
史海拾趣
|
据市场研究机构Strategy Analytics的预测,在混合动力车辆应用领域的半导体组件营业额将由今年的5亿美元,在2015年迅速成长到13亿美元;其中以电源组件为大宗,还有模拟微控制器与传感器。 Strategy Analytics表示,包 ...… 查看全部问答> |
|
有没有谁推荐一款能达到这样要求的带adc的芯片?采样速度在1kHz大一点就可以,精度不要太高都行。并且做过相关的实践,保证能实行。非常感谢!现在非常急呀,导师天天催着要结果。… 查看全部问答> |
|
Build target \'Stm32-ucosII-demo\'linking....\\Output\\Stm32-ucosII-demo.axf: Error: L6218E: Undefined symbol BSPInit (referred from app.o)..\\Output\\Stm32-ucosII-demo.axf: Not enough information to list image symbols..\\Output ...… 查看全部问答> |
|
各位大虾,小弟想用AT91SAM7S64的USB,自己对USB协议也基本上了解,但没有ATMEL USB的例程,所以写起代码来,还是觉得无从着手,不知道该怎么具体的实现,ATMEL官网也没找到(应该都有例程的啊),所以麻烦各位大虾能给小弟指点迷津,感 ...… 查看全部问答> |




