历史上的今天
今天是:2025年03月11日(星期二)
2020年03月11日 | PIC16F874单片机为中心处理器的直流电机调速设计
2020-03-11 来源:elecfans
现代工业生产中,电动机是主要的驱动设备,目前在直流电动机拖动系统中已大量采用晶闸管(即可控硅)装置向电动机供电的KZ—D拖动系统,取代了笨重的发电动一电动机的F—D系统,又伴随着电子技术的高度发展,促使直流电机调速逐步从模拟化向数字化转变,特别是单片机技术的应用,使直流电机调速技术又进入到一个新的阶段,智能化、高可靠性已成为它发展的趋势。本调速系统采用PIC16F874单片机作为中心处理器,充分利用了PIC16F874单片机捕捉、比较、模/数转换模块的特点作为触发电路,其优点是:结构简单,能与主电路同步,能平稳移相且有足够的移相范围,控制角调整量可达10000步,能够实现电机的无级平滑控制,脉冲前沿陡且有足够的幅值,脉宽可设定,稳定性与抗干扰性能好等。
1 直流电机调速原理
直流电动机的转速n和其它参数的关系可用下式来表示:

(1)
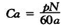
(1)式中: Va-电枢电压,Ia-电枢电流,Ra-电枢回路总电阻,Ca-电势常数,Φ -励磁磁通。

(2)
(2)式中: p-磁极对数,N-导体数,a-电枢支路数。
CaΦ=K (3)
(3)式中:当电机型号确定后,CaΦ常数,故式式(1)改变为

在中小功率直流电机中,电枢回路电阻非常小,式(4)中IaRa项可省略不计,由此可见,直流电机的调速当改变电枢电压时,转速n随之改变。
2 系统工作原理
本系统主要由主控开关,电机激磁电路,晶闸管调速电路(包括测速电路),整流滤波电路,平波电抗器及放电电路,能耗制动电路组成,系统采用闭环PI调节器控制。当主控开关闭合后,单相交流电经晶闸管调速电路控制后,又经过桥式整流、滤波、平波电抗器后,获得脉冲小,连续的直流,提供给电机,同时,交流电通过激磁电路整流后,使电机获得励磁,开始工作。调节触发电路中的速度设定电位器RP1,使得当AN1输入电压减小时,PIC16F874单片机输出的控制角也相应减小,晶闸管导通角随之增加,主电路输出电压增大,电机速度增大,同时测速电路输出电压也增大,经PI调节器作用后,电机在设定的速度范围内稳定运转。
3 系统各部分电路设计
3.1 主电路设计
主电路中各元件参数如图1所示:

按一下启动按钮SB1,接触器KM线圈通电,KM常开触点闭合,常闭触点打开,启动按钮自锁,主电路导通。晶闸管调速电路通过改变双向晶闸管控制角大小来控制交流电输出,再经桥式整流,滤波后,得到直流,同时,电机通过激磁电路整流后,获得励磁,开始工作。
按一下停止按钮SB2,接触器KM线圈断电,KM常开触点打开,常闭触点闭合,自锁解除,主电路断电,电机停止工作。
为了限制直流电流脉动,电路中接入平波电抗器,电阻 在主电路突然断电时,为平波电抗器提供放电回路。
为了加快制动与停车,本装置中采用能耗制动,由电阻R4与主电路接触器常闭触点组成制动环节。电动机激磁由单独整流电路供电,为了防止电动机失磁而引起飞车事故,在激磁电路中,串接欠电流继电器KA。动作电流可通过电位器RP进行调整。
3.2 晶闸管触发电路设计
晶闸管触发电路及参数具体如图2所示,来自主电路中A、B两点电压经变压器变压为-20 V,再经过桥式整流后,在2点产生100 Hz左右的半波信号,通过R6,R7分压后接入NPN三极管进行放大,在三极管集电极产生过零脉冲,利用CCP1模块先捕捉过零脉冲上升沿,记下其发生时间,紧接着捕捉过零脉冲下降沿,两者的时间差即为过零脉冲宽度,其值的一半即为脉冲中点,采用这样的捕捉方式可以精确地得到交流电的实际过零点,同时利用ADC模傲转换模块转换PIC16F874引脚RA1/AN1模拟电压的值作为晶闸管控制角的设定值(电机速度设定值),改变电位器RP1设定值,相应改变晶闸管控制角大小,同时测速电路输出值由PIC16F874引脚RC0/T1CKI输入,经过TMR1计数器计数,算出转速,作为速度反馈值。本系统中单片机的振荡频率采用4 MHz,由PIC16F874单片机指令周期的特点可知,晶闸管控制角的分辨率是单片机振荡频率的四分之一的倒数,即1us,对于工频电的半波时间10 ms来说,控制角可达10000步,完全能够实现电机的无级平滑控制。

3.3 测速电路设计
测速电路由附着在电机转子上的光码盘及电脉冲放大整形电路组成。电脉冲的频率与电机的转速成固定的比例关系,光码盘输出的电脉冲信号经放大整形为标堆TTL电平从PIC16F874单片机引脚RC0/T1CKI输入,通过TMR1计数器进行计数,从而算出转速,将这个转速与预置转速进行比较,得出差值,PIC16F874通过对这个差值进行PI运算,得出控制增量,在CCP2送出晶闸管控制角的大小,从而改变加在电机两端的有效电压,最终达到控制转速的目的。
4 系统软件设计
将速度闭环控制设计成为典型I系统,即PI调节器,用来调节晶闸管控制角时间Td,其控制算法为:

其中a1=Kp,Kp-控制器的比例系数,T1-积分时间常数,Ti-采样周期。
本系统的软件设计模块主要包括CCP1上升沿捕捉模块,CCP1下升沿捕捉模块,控制角设定值A/D转换模块,测速电路脉冲定时计数模块,PI调节器模块,CCP2比较输出模块等,各模块程序流程图的关系如图3所示。

图3 CCP1,CCP2模块中断程序流程图
假设我们得到过零点时间为Tσ,晶闸管控制角时间为Td,那么送入CCP2寄存器CCPR2H:L比较值Tf=Tσ+Td,比较一致后,将在CCP2引脚上输出高电平,使晶闸管导通,然后根据所需的触发脉宽值,再次修改CCPR2H:L值,使输出高电平触发脉冲维持一定的时间后再回到低电平,这样就完成一个双向晶闸管触发脉冲输出。
5 结束语
本系统软件、硬件设计充分利用了PIC16F874单片机捕捉、比较、模/数转换模块的特点,以及单片机振荡频率高,响应快等优点,设计出相应的触发电路,使得PIC16F874单片机的模/数转换模块能迅速、准确的转换速度设定值;CCP1模块能精确捕捉交流电的过零点;测速电路的定时计数模块能准确地计数,算出反馈转速;CCP2模块能及时地比较Tf值输出触发脉冲,在中小型直流电机调速系统应用中,具有结构简单,运行可靠,调节范围宽,电流连续性好,响应快等特点。
上一篇:单片机独立按钮防止连按
史海拾趣
|
前几天还是很有耐心 细细的看任哲和邵贝贝的书 看啊看啊 看到消息那里了 突然感觉脑死了 看不下去了 开始暴跳 不知道该怎么办 感觉江郎才尽了,也没人可以问 前面看的也稀里糊涂的 接触新的知识 ...… 查看全部问答> |
|
板上有烧好的U-BOOT,开起电源打印以下信息:Texas Instruments X-Loader 1.44 (Jun 24 2010 - 15:48:14) ...… 查看全部问答> |
|
利用实验系统的硬件资源设计一个“带LED显示的电磁炉控制器”。控制面板如下: 工作流程如下:(1) 通上电源,电源指示灯亮,初始状态:功率指示灯750W亮。LED灯灭。(2) 通过“+”、“-”键来选择功率。(3) 按下时间键,LED显示全0 ,此时“ ...… 查看全部问答> |




