历史上的今天
今天是:2025年03月29日(星期六)
2020年03月29日 | 酸度计的主要结构组成
2020-03-29 来源:elecfans
酸雨是因人类活动导致区域降水酸化的一种污染现象,对公众健康、工农业生产、生态环境以及全球气候变化都有重要的影响。酸雨观测已经是气象业务工作的重要组成部分,是气象台站的基本任务之一。
酸度计简称PH计,主要用来测量液体介质的酸碱度值,是目前我国气象台站广泛使用的测量酸雨的基本仪器
随着现在经济的迅速发展,应用范围和技术在不时扩大和更新,各种各样的PH计,PH酸度计产品被用来精密丈量液体介质的酸碱度值,包括工业上加工,食品行业的丈量等,PH计配上相应的离子选择电极也可以丈量离子电极电位MV值。用PH计酸度计进行电位测量,丈量pH最精密的方法,广泛应用于工业,农业,科研,环保等领域。对于初次使用PH计的用户,下面我来了解一下pH计的主要三大结构部件。
pH计由三个部件构成:
1一个参比电极;
2一个玻璃电极,其电位取决于周围溶液的pH;
3一个电流计,该电流计能在电阻极大的电路中丈量出微小的电位差。
目前酸度计种类、型号很多,但基本构造都相似,都主要由指示电极、参比电极、被测液、导线连接组成一个原电池装置,工作装置如下图所示。

1.参比电极
在工作电池中,电位恒定不变的电极称为参比电极。参比电极是决定指示电极电位的重要因素。最精确的参比电极是标准氢电极,但于其制作比较麻烦,实际应用不多。常见的参比电极是甘电极和银-氯化银电极。
(1)甘汞电极是由汞(Hg)和甘汞的糊状物装入一定浓度的溶液中构成的。
甘汞电极(参比电极)的特点是电位值固定不变,其电极反应式如下:
![]()
电位在t=25℃时表达式为:
![]()
其中为标准甘汞电极电位值。由上式可知,当t一定时,甘汞电极的点位值取决于KC1溶液中CI-浓度。C1-汞电极中氯化钾溶液常用的浓度有三种,每种对应的甘汞电极的电极电位如下:

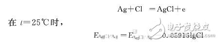
(2)银-氯化银电极
也是一种广泛应用的参比电极,它是将银丝表面镀上一层氯化银,侵入到用氯化银饱和的一定浓度的氯化钾溶液中,其电极反应为:

由上式可知,当l一定时,银-氯化银电极的点位置也取决于KC1溶液中的C1-浓度,银-氯化银电极中氯化钾溶液常用的浓度有三种,每种浓度对应的银-氯化银电极的电位如下:
上一篇:怎么判断酸度计质量的好坏
下一篇:酸度计的常用校准方法
史海拾趣
|
我在BT.656(一个视频数据传输协议)的数据传输协议中看到,对数据的传输格式规定有相当大小的Blanking部分,占到整个数据传输块的很大一部分,我弄不清这个Blanking有什么用处呢?… 查看全部问答> |
|
如果我要扩展串口 用16c554的话 那如果我一个串口用一个中断的话那样中断就太费了 ,我看到网上说可以共享一个中断,不知道怎么操作方法。使用一个irq吗… 查看全部问答> |
|
embedded vb 如何把它编译的程序,转成cab阿。在线等 embedded vb 如何把它编译的程序,转成cab阿。在线等 我初次是用这个软件,在他的模拟ppc 2002上已经可以使用了,但是我想安装在真实的机器上测试,不知道怎么弄 希望搞人指教… 查看全部问答> |




