历史上的今天
今天是:2025年03月31日(星期一)
2021年03月31日 | 进行精确的电阻测量 -测量参数第六章
2021-03-31 来源:eefocus
电阻测量原理
乍一看到把电阻测量作为一章可能感到奇怪。毕竟每一位电子工程系的学生第一周内就会学到确定阻值的最简单的欧姆定律:
V = I ×R (公式6.1)
尽管这一公式非常简洁,但精确测量电阻实际是极富挑战性的参数测量。因为公式过于简单化,忽略了电阻会产生热量,继而又反过来影响电阻值本身这一事实。因此应将上述公式更准确地重写为:
V = I×R (T) (公式6.2)
公式中电阻(R) 是温度(T) 的函数。通常把这种被测电阻实际值随电流产生热量而变化的现象称为焦耳自热效应。
另一项需考虑的因素是电阻测量所用电缆的电阻。在测量非常小的电阻时,必须使用开尔文测量技术。我们已在前面几章中介绍了开尔文测量基础知识,您可以把这些技术直接用于电阻测量。但须指出的是焦耳自热效应和电缆电阻的组合使电阻测量更具挑战性。为减少焦耳自热,您需要减小流入被测电阻的电流(降低功率)。但为区别小电流流过电缆的压降和流过被测电 阻的压降,将要求测量设备具有非常精确的电压测量能力。基于上述原因, 电阻测量往往要求1 mV 以上的电压测量分辨能力。
电阻测量要考虑的最后一项因素是电动势(EMF)。EMF 是机械继电器断开或闭合时所产生突发电噪声的技术名称。当SMU 被激活时,在输出路径上有机械继电器(干簧继电器) 的所有SMU 都会产生EMF。 EMF 对所有各种类型测量的测量准确度都有显著影响,尤其是对低阻测量,因为低阻测量要求非常灵敏的电压测量分辨率。

电阻率
电阻率是材料的一种基本特性。如果在一块具有统一剖面的均质材料上施加电压和测量电流,就能通过公式R = V/I 确定电阻值。如果已知样品的剖面面积(宽×深) 和长度,就能根据电阻测量结果计算相关材料的电阻率特性,如下图所示。

图6.1 — 根据电阻测量结果计算电阻率
一般需要测量所有埋入层和金属互连层的薄层电阻率。通常把电阻率用“每平方欧姆”表示,即不管面积大小,方形均质材料的电阻始终相同。

图6.2 — 无论面积如何,同样厚度的方形均质材料具有相同的电阻值。
范德堡(Van der Pauw) 测试结构
在进行电阻率测量时,因被测电阻可能非常小(毫欧量级) 而必须使用开尔文测量技术。因此能够非常容易地通过开尔文测量技术与简单几何结构的结合确定给定材料的薄层电阻。这样的通用配置被称为范德堡结构,在范德堡于1958 年首先提出这种测量技术之后得到这一名称。如下图所示,范德堡结构是四角带有电气接触的方形样本。

图6.3 — 确定电阻率的范德堡测试结构
范德堡在他最初的论文中确认下述关系式成立:

这里d 是样品厚度, 是样品的薄层电阻,电阻测量按如下定义。

图6.4 — 从范德堡测试结构计算薄层电阻
从公式和测量结果能容易地计算电阻率。
计入焦耳自热效应
焦耳自热因改变被测电阻值而限制了电阻测量的准确度。但如果您选择了可容忍的最大电阻变化,也就确定了允许的最大功耗。电阻耗散功率的方程式是:

通过重新排列上面的方程式和求解电压,就能把最大功耗转换成能够满足电阻测量要求的最小可接受电压分辨率。描述这一关系的公式为:


图6.5 — 二氧化硅的热特性
这意味着如果您在这一厚度的 1 cm 方金属结构上施加 1W 功率,温度将上升0.007℃; 但如果在这一厚度的10 µm 方金属结构上施加1W 功率,温度将上升 7000℃。当然,在这一例子中,在温度达到 7000℃ 以前,SiO2 上面的金属将完全蒸发。这个例子是要说明不能为了弥补测量硬件精度的不足而在电阻上任意增加功率(=电流)。室温附近铜线或铝线的电阻变化约为0.35%/℃。对于上面的情况,我们可以计算出10 mm x 10 mm 铜或铝金属片产生0.1% 电阻变化能耗散的最大功耗。

为在具有等效每平方 10 mΩ 电阻的铜范德堡结构 (1 mm 厚薄膜) 中实现0.1% 的准确度,我们能得到:

也就是说测量仪器必须能够分辨低至1 mV 的电压! 注: 范德堡结构是比较极端的例子。一条 1 mm 宽、100 mm 长金属线要得到 0.1% 准确度,通常要求测量仪器能够分辨到 10 mV 量级。我们知道最大允许电压与(Pmax x R) 的平方根成正比,要求的电压分辨率随电阻值的平方根增加。由于这是对阻值相对弱的相关性,因此10 mV 是大多数电阻测量对要求测量分辨率的很好估计。
消除电动势(EMF) 影响
什么是电动势EMF?
电动势 (EMF) 是干簧继电器接通和断开时所产生瞬态电压的名称。各种源中使用的传统干簧继电器开关在接通或断开后,通常会产生数十微伏至数百微伏的热电动势。所造成的电压漂移能持续几分钟之久,这对于要求精确测量的参数测试是不能接受的。下图是商用干簧继电器所产生热电动势的例子。

图6.6 — 典型干簧继电器产生的热电动势
必须注意上图并非参数测量仪器中使用的干簧继电器特性(基于显而易见的原因)。安捷伦公司开发出一种称为“冷保护”的专利干簧继电器技 术。用于参数测量设备的这些继电器可把电动势影响减到最小,并进而改进测量吞吐率和准确度。下面示出冷保护继电器的性能特性。

图6.7 — Keysight 冷保护继电器产生的热电动势
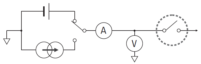
为简化起见,前面第三章讨论的 SMU 电路图中未涉及输出继电器开关。但必须了解所有SMU 的输出路径中都有开关,它们在接通或断开是也都会产生电动势。下面是经修正的SMU 电路图。

图6.8 — 示出输出连接继电器的SMU 电路图
在通过仪器前面板使用 SMU 时,软件按需要接通和断开继电器,因此用户看不见它的存在。但在使用程序控制下的仪器时,用户必须发布连接("CN") 命令闭合继电器,继电器将保持闭合,直到发布命令(如"* RST") 断开继电器。
减轻EMF 影响
减轻电动势对参数测量的影响相对比较简单。应指出技术指标中已经计入了热电动势,因此在一般测量中可不必考虑热电动势。但在进行极其敏感的测量,或试图实现参数测量设备的更高测量准确度时,遵循以下原则可最大限度地减小或消除电动势效应:
确保输出继电器已闭合和稳定到它的最终值。这意味着仪器已经过预热和SMU 输出继电器保持闭合。
尽可能快地完成任何测量(在10 秒以内)。这将使测量漂移保持在几毫伏内。
有一种既能消除电动势影响,又能消除测量设备任何失调电压的电阻测量技术,它采用开尔文测量技术进行两次电阻测量,在第二次测量时反转驱动电流的极性。如果对该电路执行基尔霍夫电流定律(KCL) 和基尔霍夫电压定律(KVL),就可看到通过平均两次测量结果,将能抵消失调电压和电动势, 得到真实的电阻值。

图6.9 — 通过测量电阻两次和平均测量结果,就能消除电动势和电压失调的影响
总结上述技术的关键点:
确保施加的电流小到能消除任何焦耳自热效应。
反转施加电流极性进行两次电阻测量,然后平均两次测量结果。
如有可能,用电压表代替SMU 测量电压,因为电压表一般有更高的测量准确度。
史海拾趣
|
一、引言 过去工业控制计算机系统的软件功能都靠软件人员编程实现。工作量大,软件通用性差,且易产生错误。随着工业控制要求的不断提高,专门用于工业控制的组态软件应运而生,它是一套功能齐全的组态生成工具软件,通用性强,而 ...… 查看全部问答> |
|
_irqHandler PROC 1. STMFD sp!,{r0-r4,r12,lr} 2. mov r4,#0x80000000 //中断控制寄存器首地址(假设的) 3. ldr r0,[r4,#0] ...… 查看全部问答> |
|
最近在做sd卡驱动的移植,读手册时有几个参数看不明白。比如,我板子的sd卡控制器寄存器有两个位可以设置sd卡dma的类型,原文如下: DMA type: It indicates which DMA transaction type is used. These 2 bits are valid when the DMA_EN is e ...… 查看全部问答> |
|
首先我的程序在某些主板上是可以正常工作的(具体型号我也搞不懂),设置的是从设备,内部只有从设备状态机。没有接入奇偶检验,仲裁和热插拔。 问题是在一些主板上发现设置为从设备时无法找到设备,设置为主设备可以找到,但是通过软件读取配置信 ...… 查看全部问答> |
|
RAW_TASK.C具体教学问题1 raw_task_create教学问题: 1 代码是怎么实现系统只能创建一个 idle 任务的? 2 RAW_TASK_OBJ 结构体第一个成员task_stack 的地址等于结构体的地址吗? 3 RAW_TASK_OBJ 结构体成员中task_stack 为什么是放在第 ...… 查看全部问答> |
|
最近申请了一个省创项目,关于无线通信的战术动作命令腕表,不知带怎么开始,望大... 二、项目研究背景(可以是已有的基础,与本项目有关的研究积累和已取得的成绩,已具备的条件,尚缺少的条件及方法等) 随着社会的发展,人们身边的不安全因素越来越多。当人们处于特殊紧急环境,并且需要及时对威胁自己或他人的生命安 ...… 查看全部问答> |




