历史上的今天
今天是:2024年09月22日(星期日)
2021年09月22日 | 音叉液位开关工作不可靠原因分析
2021-09-22 来源:eefocus
音叉液位开关广泛应用于石化、冶金、轻工、建材、环保等行业,对液位的上下限位进行报警和控制。其通过安装在音叉基座上的一对压电晶体使音叉在一定共振频率下振动。当音叉与被测介质相接触时,音叉的频率和振幅将改变,这些变化由智能电路进行检测、处理并将之转换为一个开关信号,达到报警或控制的目的。
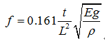
我们知道音叉振动频率的计算公式为:

公式中:
t:叉体的厚度(单位为m)
L:叉体的长度(单位为m)
E:杨氏模量(单位为kgf/m²)
ρ:叉体材质的密度(kg/m³)
g:重力加速度(980cm/s²)
从公式可以看出,调整音叉标称频率的方法可以通过调整音叉的厚度、长度及改变叉体的材料来达到。振动频率与叉长的平方成反比,叉长越长,频率越低;而与叉厚成正比,叉越薄,振动频率越低。
工况环境的随机振动频率一般为0~800HZ,如果音叉液位开关的频率在上述区间很容易产生共振,受到干扰,导致测量工作不可靠。
而目前国内有很多厂家生产的音叉液位开关大部分都是既可以测液体又可以测固体的,这种固液两用的产品常规是通过牺牲部分介质密度来实现的,且其音叉液位开关的频率值通常在600~800HZ,这样势必导致产品应用范围窄,适应性差,且可靠性低,特别对于一些特殊应用场合将失去作用。
音叉液位开关可测最低密度对比表


深圳计为自动化技术有限公司的研发工程师通过大量的实验验证,设计了专用于液体测量的音叉液位开关,其基于检测叉体浸泡于介质时振动频率变化的设计原理,音叉频率设计为1200Hz左右,通过叉体接触介质时振动频率的变化来检测液位。不仅适用于容器、储罐、槽罐中的液位测量,而且还适合于有泡沫、气泡、粘稠液体以及振动干扰的复杂测量场合。可测量液体的最低密度达0.5g/cm³。这就使得计为音叉液位开关能够在更广泛和更复杂的工况下,依然能够稳定可靠的应用。

上一篇:雷达物位计与汽车雷达有关联吗?
下一篇:浅谈物位测量产品的IP防护等级
史海拾趣
|
FlexRay实现的初期功能是迈向全自动无人驾驶(或近乎全自动驾驶)的第一步。虽然最早的设想是实现汽车线控(X-by-wire)(线控驱动、线控驾驶等),然而其他发展趋势也在推动FlexRay技术的发展和应用。主要表现在生产效率、安全法规要求愈来愈高,各种舒 ...… 查看全部问答> |
|
并行编程,最早的编程方法,功能最强大,但需要连接较多的引脚,通常需要12V~24V的高压,以示区别,下面称为高压并行编程。 ISP(In System Programmability) 在系统编程,简称为串行下载。 IAP(In Application Programing) 在应用编程,BootLoad ...… 查看全部问答> |
|
今天刚学完单片机,老师也布置了这个作业,虽然说是最简单的那种,但是对我这个初学者来说还是蛮有难度的。我会尽自己的努力把东西做好。这个主要是通过设置按键来控制计数,还好老师只是要两个数码管显示。希望大家给点建议哈… 查看全部问答> |
|
ARMSYS2440随盘提供的“WINCE应用程序实例”加入了摄像头应用程序 谁有这个应用程序,能否提供给我。 我的邮箱:5iminimao@163.com… 查看全部问答> |
|
make -C /lib/modules/2.6.25-14.fc9.i686/build SUBDIRS=/opt/driver/RT73_Linux_STA_Drv1.0.4.0/Module modules make[1]: Entering directory `/usr/src/kernels/2.6.25-14.fc9.i686\' CC [M] /opt/driver/RT73_Linux_S ...… 查看全部问答> |
|
另: 1.深圳哪里有PB的盘买啊?在网上下不到啊! 2.我买了个mini2440玩,想练习写CE驱动,该怎么做?系统是买来的光盘中自带的,怎么将我的驱动加到系统中?怎么测试驱动啊? 谢谢各位!… 查看全部问答> |
|
三星的系列NandFlash有什么区别?K9F1G08/2G08/4G08/8G08.他们都是大块(2KB每页)的NAND FLASH?他们的驱动可以完全公用? 三星的系列NandFlash有什么区别?K9F1G08/K9F2G08/K9F4G08/K9F8G08.他们都是大块(2KB每页)的NAND FLASH?他们的驱动可以完全公用?还是不同芯片驱动要进行不同的修改?… 查看全部问答> |
|
小的时候看电脑,里面有机器人,变形金钢什么的,想着以后的发展驱式,电影里的东西始终会实现,现在本人在搞JAVA,以有两年多的工作经验了,对单片机非常感情趣,想拜师学艺,我是个好徒弟哦~~ MSN:xiaotgy@hotmail.com… 查看全部问答> |




