历史上的今天
今天是:2024年10月09日(星期三)
2021年10月09日 | 电压探头关键因素对高频暂态电压测量精度的影响分析
2021-10-09 来源:eefocus
一、仿真电路
高频暂态电压由图a所示的双脉冲测试电路产生,采用Saber软件进行电路仿真,仿真波形如图b所示。所用开关器件为有开尔文源的MOSFET,在各目标信号中,VGs1为高共模电压低压差分信号,VDs1为高共模电压高压差分信号,VGs2为低共模电压低压差分信号,VDS2为高压对地信号。根据信号类型,VGs1、VDs1和 VGs2需采用差分探头测量,VDS2既可采用高阻无源探头测量,也可采用差分探头测量。当开关器件无开尔文源时,S2驱动回路源端接地,VGs2也可采用高阻无源探头或具有宽输入范围的有源单端探头测量。
a 电路原理

b 主要电压信号暂态波形
双脉冲测试电路及其仿真结果
二、带宽与上升时间
对于n个模块级联而成的线性时不变系统,记各级阶跃响应的上升时间为tr,m,当各级的阶跃响应皆为高斯函数(高斯响应)时,系统的上升时间可表示为
(1)

当各级阶跃响应有过冲现象且过冲幅度大约为阶跃幅度的5%或10%时,系统的上升时间将比式(4)给出的上升时间略短,系统的过冲幅度约为各级过冲幅度总和的二次方根。
考虑目标信号、电压探头和示波器级联形成的系统,各级阶跃响应的上升时间依次记为 tr,sign、tr,probe、 tr,scope。其中后两级组成的测量系统通过示波器的前端放大器相互隔离,使得这两者的上升时间相互独立,常用的电压探头和示波器一般具有高斯响应,由式(1)可得测量系统的上升时间为

(2)
进一步地,假设目标信号和电压探头的上升时间也相互独立,则整个系统的上升时间,即示波器显示波形的上升时间为
(3)

实际上,电压探头对目标信号有负载效应,目标信号的上升时间将因探头的加入而改变。负载效应模型如图1所示。图中,Vs为单位阶跃信号源,Rs为信号源电阻,Cs为负载电容,Vsign为目标信号,Ri与Ci为电压探头的输入阻抗。未施加探头时,由RC电路的阶跃响应函数易得目标信号的上升时间tr,sign为2.2RsCs。同理,施加电压探头后,目标信号的上升时间变为2.2(Rs//Ri)(Cs+Ci)。目标信号上升时间因电压探头的负载效应而变化的程度可表示为
(4)


图1 电压探头对目标信号的负载效应模型
开关器件的栅源电压和漏源电压对应的等效负载电容Cs可分别用器件的输入电容和输出电容近似,tr,sign可由数据表直接读出,因此开关器件等效信号源电阻Rs可表示为tr,sign/(2.2Cs),取现有商售SiC器件进行估算,可得目标信号的等效负载电阻约在100Ω的数量级上,而常用的高阻无源探头和有源高压差分探头的输入电阻数量级约为MΩ,于是,式(4)可近似为

(5)
高阻电压探头的输入电容越大,其对开关器件的负载效应越明显。然而,由于开关器件的输入电容和输出电容是变量,不能用式(5)来准确计算。为考虑到电压探头的负载效应,式(5)可修正为
(6)

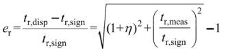
进而可定义测量系统产生的上升时间误差为
(7)

可知,为减小目标信号的上升时间测量误差,应使电压探头的输入电容足够小,并且使测量系统的上升时间远小于目标信号的上升时间。
带宽和上升时间成反比,对于高斯响应型的测量系统,两者间关系可近似表示为
(8)

暂态信号含有丰富的频率分量,理论上需要用全部的频率分量才能重构暂态信号,实际上频率过高的分量对暂态信号的重构影响甚微,为此定义拐点频率,在暂态信号重构过程,高于拐点频率的分量将被舍弃。对于目标信号,其拐点频率表示为
(9)

因此,从频域的角度看,为减小目标信号上升时间的测量误差,应当要求测量系统的带宽远大于目标信号的拐点频率。
图2比较了在不同的探头带宽下VDs2和VGs2的仿真波形,为简化分析,不考虑示波器的作用,以探头输出电压Vp和衰减系数k的乘积作为目标信号的测量结果。不难看出, 随着探头带宽的降低,目标信号测量结果的上升时间变长,测量误差也相应增大。此外,可以看出探头的测量结果滞后于目标信号,即出现传输延迟现象,这主要是探头的传输线导致的,本文对此不作深入讨论。


图2. 不同的探头带宽下VDs2和VGs2的仿真波形比较
为定量说明电压探头对目标信号测量结果上升时间的作用,取VDs2在50MHz带宽探头作用前后的上升时间来分析。由图2a可知,该探头的负载效应使VDs2的上升时间由10.424ns变为10.875ns,又由式(8)可得该探头的上升时间约为7ns,将这些数据代入到式(6)可解得探头测量结果的上升时间为12.933ns,这与仿真得到的12.915ns一致。由式(7)可得,50MHz带宽探头对VDs2上升时间的测量误差达到23.9%,这表明低带宽探头无法满足高频暂态信号上升时间的测量要求。
电压探头带宽过低,意味着暂态信号的高频分量被极大衰减,当暂态信号波形具有高频振荡或尖刺时,低带宽电压探头将无法还原其快速变化的细节,图2a和图2b的仿真波形分别显示出低带宽探头对目标信号过冲幅度的抑制作用和对目标信号尖刺波形的平滑作用。
综上所述,本节的分析得到以下主要结论:
(1)电压探头对目标信号的负载效应和测量系统与目标信号的级联效应共同导致上升时间的测量误差,且误差随探头的输入电容或上升时间增大而增大。
(2)电压探头的带宽和上升时间成反比。
(3)电压探头带宽过低将使测得信号的过冲幅度下降、尖刺波形平滑。
下一篇:罗氏线圈测量原理图解
史海拾趣
|
Android平台代码很多,关系也很复杂,通常我们调试程序的时候是无法跟踪到Android framework code里的,如果能调试跟踪Android source code将给我们这些初学者带来很多便利,本文将给出一个调试跟踪Android source code 的方法。 1.首先,得到Andr ...… 查看全部问答> |
|
错误内容: JiuArmDlg.obj : error LNK2001: unresolved external symbol CLSID_DataLinks JiuArmDlg.obj : error LNK2001: unresolved external symbol IID_IDBPromptInitialize ARMV4IDbg/JiuArm.exe : fatal error LNK1120: 2 unresolved ext ...… 查看全部问答> |
|
正在用ATmega48在做一个东西,需要在不需要的时候进入掉电模式,然后通过INT0进行喊醒。 现在的问题是:需要用低电平持续一段时间才可以喊醒,那么就必须设置INT0为低电平触发,但是我设成低电平触发后,紧接着进入掉电模式,我并没有给唤醒信号 ...… 查看全部问答> |
|
嘿各位! 在CE5.0上通过GPRS连接上网,当设置APN为CMNET的时候,WWW和WAP网站都能上,但是如果设置为CMWAP用我们的浏览器(仿照iesimple做的)就不能浏览网站,如果用微软自带的浏览器(iesample),设置代理服务器地址为10.0.0.172就 ...… 查看全部问答> |
|
请大家帮忙看下这段mega128串口程序有什么问题,ICCAVR下的,没法接收数据啊 [code]#include #include //================================== void port_init(void) { PORTA = 0xFF; DDRA = 0x00; PORTB = 0xFF; DDRB ...… 查看全部问答> |
|
要求:熟练掌握Windows XP驱动程序编程技术,试工期间工资2000元/月,地址是上海宝山区泰和西路2945号,有意向者请留下联系方式。… 查看全部问答> |
|
公司让我用EVC做个图形程序。 就是,一个对话框内,一个随时间变化而温度发生变化的曲线,横坐标是时间t,纵坐标是温度T,我自己理解就是正弦曲线那种。 小弟刚刚学习EVC图形编程,别说动的曲线,静止曲线都还不会做。所以,没什么思路! 所以请 ...… 查看全部问答> |




