历史上的今天
今天是:2024年12月13日(星期五)
2021年12月13日 | 采用安捷伦PNA-X系列网络分析仪对脉冲S参数进行测量
2021-12-13 来源:elecfans
矢量网络分析仪(VNA)的散射参数测量常采用给待测设备(DUT)加上连续波(CW)激励来进行。然而,在有些情况下,可能需要使用脉冲激励S参数测量。例如,CW测量中的热累积可能会损伤没有热耦合的DUT(如功率晶体管),而用脉冲测量就可以安全地测量到其特性。适当地选择脉冲激励的占空比,可将这些测量的平均功率保持在低水平下,避免过热现象的发生。另一个例子是测量可能在脉冲或突发信号下正常工作的DUT,如在雷达系统和很多数字调制通信系统中就有。脉冲S参数测量依靠能产生并能精确测量脉冲正弦信号的VNA。
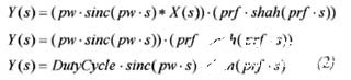
借助某些数学分析可形象化观察脉冲信号谱。方程1描述了一种时域脉冲信号。对脉冲宽度为PW的信号,脉冲信号的视觉表现首先构成矩形窗口[rect(t)]。
然后构成一个Shah函数,此函数由一周期脉冲串组成,间隔为1/PRF,这里PRF为脉冲重复频率。这也可以看作间隔等于脉冲周期的脉冲。窗口形式的信号随后与shah函数卷积分,产生一个与此脉冲信号时间相关的周期脉冲串。

方程2给出了时域脉冲信号的傅立叶变换,它说明脉冲信号的频谱是一正弦函数的采样,采样点数(得到的信号)等于PRF。

图1a为一个信号脉冲谱的例子,信号的PRF为1.69kHz,脉冲宽度为7μs。图1b为相同的脉冲谱在基本频率处受到脉冲激发(曲线的中心)处的放大图。注意:该谱有多个离基频为nPRF的成分。此基频包含有测量信息。PRF频是基频受到激发的伪成分。另外还值得注意的是,靠近基频的谱分量的幅度相对要大。

安捷伦公司的Agilent PNA-X系列VNA能够提供脉冲激励,并可精确测量脉冲响应。此高度集成的S参数测量系统(见图2a)的内部信号布线复杂(见图2b),能产生并分析CW和脉冲激励响应。内部测试信号发生器由内部源调制,产生10MHz~26.5GHz频率的激励脉冲。

VNA的内部源可产生的最小脉冲宽度为33ns(通常比此更窄)。
采用一种集成脉冲发生器产生脉冲测量时序,这种集成脉冲发生器有4个主输出通道,每个通道的延迟和宽度都是独立的。可以在PNA-X内部对输出通道进行连接,以驱动调制器和采样电路,和/或在外部连接以驱动外设。脉冲发生器的定时建立在60MHz时钟基础上,因而时间分辨率为16.7ns。因为这些脉冲发生器的测量通道相互独立,每个通道都能有独立的脉冲发生器设定。这样,就可以同时测量并在单独一个显示器上显示多种测量结果,包括脉冲成形、脉冲内取点、增益压缩。PNA-X接收器专为CW和脉冲信号设计,使其有最佳灵敏度。
PNA-X VNA能以宽带和窄带模式进行脉冲测量,两种模式各有优缺点。现代VNA(如PNA-X)两种检波模式都有,操作者可以灵活选择测量,使其适合DUT的特性。
宽带检波适合多数脉冲RF谱落在VNA的接收器带宽范围内这种情况,可用模拟电路或数字信号处理(DSP)技术实现。对于宽带检波,VNA的各接收检波器与脉冲流同步,仅在脉冲处于“开”状态时,才进行数据采集。因为这一方法包含一个同步到PRF的脉冲触发器,用以触发分析仪,所以常常称作同步采集模式(图3)。这种模式下的时间分辨率是接收器检波带宽的函数。确定近似时间分辨率的一个好方法是使用带宽的倒数,即1/BW。

宽带模式的优点是,对于低占空比脉冲,动态范围没有损失,信噪比(SNR)随占空比的变化相对固定。其缺点是可测量脉冲宽度的限值要低。随着信号脉冲宽度越来越窄,谱能量传播的带宽更宽。当落在接收器带宽之外的脉冲的功率足够大时,接收器无法继续正常检测脉冲。在时域范围来看,接收器不能再检测短于接收器上升时间的脉冲。要测量更短的脉冲,必须采用更宽的检波带宽。随着接收器带宽的增加,噪声量也随之提高,降低了测量的动态范围。
PNA-X VNA提供的宽带模式检波带宽可宽至5MHz,这样就具有约250ns的时间分辨率(能精确测量的最小脉冲宽度)。在宽带模式下配置PNA-X很简单。可将脉冲发生器配置为不仅触发内部源调制,而且也可内部触发测量,以便数据采集与进来的RF脉冲同步(不需要外部触发线缆)。于是,PNA-X可配置为脉冲内取点、脉冲成形、或者脉冲-脉冲测量都在一个显示器上显示。
在窄带检波模式中,脉冲宽度通常比数字化并获取一个分立的数据点所需要的最短时间要小得多(见图4)。有了这个技术,除中心频率成分外的所有脉冲谱都可以通过滤波除去,此中心频率成分代表RF载波频率。滤波后,脉冲RF信号表现为正弦或CW信号。采用窄带检波,分析仪取样与进来的脉冲不同步(因此不需要同步测量触发),所以此技术也称作异步采集模式。因为与接收器IF带宽相比,这种方法的PRF要高,所以也称作“高PRF”模式。

安捷伦公司开发出了一种新颖的在IF带宽基础上实现窄带检波的方法,这种IF带宽比窄带模式下正常使用的带宽更宽。这种独特的方法称作“谱归零”(图5)。在此有效的检波模式方法中,在脉冲信号的PRF基础上产生一个“相匹配的”数字滤波器。此技术可让用户牺牲动态范围以换取速度,与用传统滤波来完成的脉冲测量相比,速度几乎总是更高。

由于滤除了谱成分,窄带检波的优点是没有窄脉冲宽度限制,缺点是测量动态范围是占空比的函数。随着占空比的减小(即两脉冲之间的时间更长),平均功率减少,使信噪比(SNR)降低。这样会导致测量动态范围随占空比的减小而减小。这一效应称为“脉冲减敏现象”。在前几代脉冲VNA中,动态范围(单位为dB)的降低量可表示为20log(占空比)。通过增加新型的先进的脉冲检波方案,PNAX大大改善了接收器脉冲减敏现象。
PNA-X采用了新的硬件和软件技术/算法,大大改善了这种局限性,这种技术/算法可充分减小20log(占空比)的脉冲减敏。两个主要进步是增强的硬件选通和软件选通。为改进PNA-X的时间分辨率,在IF路径上加入了选通开关(图6)。选通开关接收其中一个脉冲发生器输出通道的时序,此输出通道设置脉冲周期、宽度和延迟。选通开关的宽度提供脉冲内取点及脉冲成形测量的时间分辨率。

IF路径的噪声指数常由上游接收器级决定。在IF选通之前,给来自上游接收器路径的信号提供尽可能大的增益,可改善IF。设置的水平要使选通开关不压缩,峰值脉冲包络能量可相对无改变地通过。选通开关然后用于时间区分(时间分辨率)。由于占空比随选通开关重复率和宽度而变化,所以噪声功率(单位为dB)以10log(占空比)降低,脉冲谱的中心频率成分以20log(占空比)降低。总结果是动态范围减小近10log(占空比),而非以前VNA实现方案的20log(占空比)。
在不想要的脉冲谱和附加噪声到达下游放大器和数字转换器之前,使用晶体滤波器将其去除。注意:除去这些脉冲谱成分可减小峰值包络响应,因此可防止下游压缩,同时降低系统噪声。在以前的硬件选通中,选通开关后的噪声指数并没有比选通开关前的好多少,所以选通噪声不会使数字化噪声功率下降。这样会导致无噪声功率选通(噪声功率不随选通改变),使动态范围以函数20log(占空比)变化。谱归零匹配滤波器随后被用于数字数据,以除去感兴趣的RF载波以外的所有残留的脉冲谱。
窄带检波模式是一种异步脉冲测量,其中数字转换器在连续测量信号的同时,分析仪在处理所有数字化信息。这就意味着即使选通开关关闭,仍在进行数据采样和处理(图7)。IF选通开关在关闭状态下的任何残留谱隔离和噪声都是不希望的,因为真正感兴趣的是在选通开关打开时所发生的情况。在理想情况下,完美的选通开关在关闭状态没有信号或噪声,以避免数字化额外噪声,否则,这种额外噪声会增加测量噪声,降低测量结果的精度。

一种除去选通开关在关闭状态下不想要的残余谱的方法是使用软件选通(图8)。在VNA内部集成脉冲发生器的优点之一是“”精确的脉冲发生器时序是已知的,因而也可以准确地了解选通开关打开和关闭的时序。一旦数据被数字化,就可以有效地在数字数据上做时序标志,此数字数据对应于选通开关打开和关闭的时间。这样就能知道哪些数字数据成分对应于选通开关的导通状态,哪些成分对应于关闭状态。由于选通开关在关闭状态的残留谱只降低测量精度,所以将此数字数据设置为零,使此数字数据成为极好的无噪声无信号元素。由于极大地降低了SNR的噪声成分,这样可充分提高测量灵敏度。

与以前的窄带检波技术VNA模式比较,增强的硬件和软件选通实现极大地提高了灵敏度。图9说明了在使用不同的脉冲检波技术情况下动态范围提高的情况。由于占空比很低(0.001%),脉冲宽度也非常窄,所以这种情况的测量难度很大。硬件和软件改进恰好补充了本身的不足,因为硬件选通将噪声减少到上游接收器链过度噪声点,之后,接收器选通和软件选通算法通过消除选通开关关闭状态的噪声来进一步减少噪声。在这些方面的增强充分改善了脉冲灵敏度,因此提高了测量精度。

采用像安捷伦PNA-X系列的现代VNA,硬件集成和测量算法的进步极大地提高了灵敏度,脉冲S参数的精度也因此得以提高。宽带和窄带检波模式为精确测量DUT的脉冲S参数提供了灵活的测量场景。这些进步使动态范围比以前窄带检波技术的有了非常大的提高。测量脉冲S参数时,PNA-X系列网络分析仪应该配置为选项021、022、025和H08。
史海拾趣
|
电源模块N+k工作方式对电源系统可靠性的影响 影响高频开关电源系统可靠性的因素主要有电源模块的可靠性,高频开关电源模块的热备份数量对可靠性的改善等。由于电源系统的交直流配电使用的元、器件较少,分析时可认为其可靠度RP(t)=1。 1高频开 ...… 查看全部问答> |
|
晶振频率11.0592MHZ 源程序如下: 问题是 利用串口调试软件运行时,反复输入U后经采样转换数据不一致,即模拟信号转成数字量的值 跳变太大。。。请教专家!!! CS BIT P1.1 &n ...… 查看全部问答> |
|
我用的Sensor是200万的,芯片输出为1600×1200,而我在应用层只采取了 1600×1130,我不确定是不是这样引起图像不同步的原因,还是别的什么原因。 … 查看全部问答> |
|
本人是计算机专业的。由于现在快踏入大三的下学期了,大四下学期也就要找工作了,但我觉得现在自己学的东西还太片面了,也太广了。所以我想找一门自己感兴趣的专业方向作为自己这未来一年的奋斗目标,同时也为了将来的工作需要同,学一门精的课程。 ...… 查看全部问答> |
|
STM32具有12BIT ADC 确实很好,很强大!但也担心它的精度问题,听闻有3BIT线形误差。下面是AT91SAM7S64关于ADC误差的说明。… 查看全部问答> |
|
【低功耗】基于Virtex-4 FPGA的低功耗图像融合系统 基于电源模块、外部存储器和FPGA器件等具体分析了融合系统的低功耗设计.FPGA器件选择了Xilinx公司针对高性能信号处理的Virtex-4 SX35三百万门级芯片,电源模块采用TI公司的两片TPS54310和一片TPS54610,具有低功耗特性,电压调节范围为0.9~3.3 V,调节 ...… 查看全部问答> |




