历史上的今天
今天是:2024年12月24日(星期二)
2021年12月24日 | 介质损耗测试仪哪家好_抗干扰介质损耗测试仪
2021-12-24 来源:eefocus
MS-101D抗干扰介质损耗测试仪
一、概述
介损绝缘试验可以有效地发现电器设备绝缘的整体受潮劣化变质,以及局部缺陷等,在电工制造、电气设备安装、交接和预防性试验中都广泛应用。
抗干扰介质损耗测试仪采用变频电源技术,利用单片机和电子技术进行自动频率变换、模/数转换和数据运算,达到抗干扰能力强、测试速度快、精度高、操作简便的功能。
变频电源采用大功率开关电源,输出45Hz和55Hz纯正弦波,自动加压,可提供最高10kV的电压;自动滤除50Hz干扰,适用于变电站等电磁干扰大的现场测试。
二、性能特点
1、具备CVT的自激法测试,一次接线,同时测量C1、C2的电容和tgδ。
2、具有外施电压和外加CN的测量功能。
3、仪器测量准确度高,可满足油介损测量要求,因此只需配备标准油杯,和专用测试线即可实现油介损测量。
4、采用变频技术来消除现场50Hz工频干扰,即使在强电磁干扰的环境下也能测得可靠的数据。
5、接地保护功能,当仪器不接地线或接地不良时,仪器不进入正常程序,不输出高压。
6、过流保护功能,在试品短路或击穿时仪器不受损坏。
7、内附标准电容和高压电源,便于现场测试,减少现场接线。
8、仪器采用大屏幕液晶显示器,测试过程通过汉字菜单提示既直观又便于操作。
三、技术指标
1、测量范围:电容值:4~60000pF
介损值:0~100%
2、最大误差:电容精度:±(1.0%×读数±1pF)
介损精度:±(1.0%×读数±0.04%)
3、分辨率:电容分辨率:最小可分辨0.001pF
介损分辨率:最小可分辨0.001%
4、高压输出:0.5~10kV45Hz和55Hz,电流输出≤200mA
5、低压输出:输出电压3~50V输出电流3~30A
6、供电电源:AC220V±10%,50Hz或发电机供电
7、工作环境:环境温度:0~40℃;
环境湿度:≤90%RH,不结露
8、外形尺寸:400×315×350mm2
9、重量:20kg
四、接线方法
仪器引出端子说明:
HV---仪器的测量引线高压端(带危险电压)。
CX---正接线时试品电流输入端。
---仪器的接地端,使用时与大地可靠相接。
1、正接法(见图5)
当被测试设备的低压测量端对地绝缘时,可以采用该接线法测量。

(1)高压屏蔽线皮接被试设备高压端;
将黑色专用低压电缆从仪器面板上的Cx端引出,低压芯线接被试设备低压端L(见图11);低压屏蔽线接被试设备屏蔽端E。(试品无屏蔽端则悬空)
HVx及Cx的芯线与屏蔽线之间严禁短接,否则无法取样,无法测量;

2、测量标准电容BR16,见图4和图5所示:
图4为标准电容器BR16的标准接线方法,为正接线方式。
图5为反接线方式,将标准电容BR16一端强行接地。
注意:HV插口输出10kV危险电压,将高压绝缘电缆插在HV插口上

3、测量标准电容BR26或标准介损器DB-100等,见图6和图7所示:

图6标准电容正接线BR26或标准介损器DB-100等(非接地试品)接线法

图7标准电容器BR26或标准介损器DB-100等反接线(接地试品)接线法
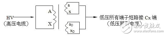
4、串级式电压互感器:
1)常规法:采用正接法测量,见图8所示:

图8常规接线法
X接地点打开,使A,X相连后接仪器HV端,低压端所有绕组短接后接Cx端。
注意:此试验电压为2~3kV,并且高压A、X短路时要注意X端引线与端子盒保持距离。
2)末端屏蔽法(正接线方式),见图9,可施加10kV电压,由于电压在AX绕组的不等压分布,电容量值比常规法要小很多。

图9末端屏蔽法接线
3)末端加压法(正接线方式)见图10所示,此方法受X点耐压限制,只能施加2.5~3kV电压,同样,电容值误差较大。

图10末端加压法接线
5、电容式电压互感器(CVT):
1)测量中压互感器tgδ的方法
如图11所示,用反接线方式测量,将C2末端δ与C1首端相连,接仪器HV口(用高压电缆)XT悬空,中压互感器二次线圈短路接地。
由于C1+C2远大于CB,所以此方法测得的tgδ≈tgδB。
如果现场CB值较小,现场干扰又较大,反接线所测得的数据误差可能较大,这时可选择正接线方式测量。首先把CVT二次引线全部断开,并将二次线圈短路,然后接仪器的CX测量线。XT悬空。接线方式见图12所示:

图12中压互感器(正接线)
2)电容C1和tgδ1,C2和tgδ2的测量:
测量主电容tgδ1和C1的接线如图13所示。由中间变压器励磁加压,XT点接地,主电容C1高压端用CX线接仪器的CX端,分压电容C2的δ端用另一条CX线悬空接仪器的HV高压端。由于“δ”端绝缘水平所限,试验电压不超过3kV。

图13电容C1和tgδ1,C2和tgδ2的接线
接线完毕,把测量方式选择到CVT上,测试电压不要超过3.0kV。仪器自动测试,测试完毕会自动或手动打印C1,C2的电容和介损。按“增大”、“减小”建翻页显示C1,C2的电容和介损。
6、套管试验:
1)对于单独的套管(未安装到变压器)测量导电杆对测屏的电容和介损值,高压端HV加导电杆,CX接测屏,用正接线法进行测量。
2)对于安装到变压器上的套管由于导电杆与绕组连接的关系,必须将A、B、C、O套管的导电杆短路接HV高压端,Cx端接不同套管的测屏,用正接线法测量电容和介损值。
7、变压器器身的介质损耗测量:
变压器的外壳因直接接地,所以仪器用反接线方式测量。测量部位按下表进行。
注意:高压由HV插口引出,将高压电缆一端插入HV插口,另一端接被测线圈高压端。Cx插口不用。
测量线圈和接地部位
序号双线圈变压器三线圈变压器
被测线圈接地部位被测线圈接地部位
1低压外壳和高压线圈低压外壳、高压和中压线圈
2高压外壳和低压线圈中压外壳、高压和低压线圈
3高压外壳、中压和低压线圈
4高压和低压外壳高压和中压外壳和低压线圈
5高压、中压和低压外壳
8、断路器断口电容试验:
断口电容的介损及电容测量时,将高压电缆和Cx测量电缆加到断口电容两端,用正接线方式测量。如图14所示:

图14断路器断口电容试验接线
9、电流互感器:
1)链式或串级式结构的电流互感器:这类电流互感器现场测量可按一次对二次绕组用正接线方式测量,或将二次绕组全部接地用反接线方式进行测量。
2)电容型电流互感器:最外层有末屏引出端,试验时,可采用正接线进行一次绕组相对末屏的tgδ及电容的测量。
10、测量时注意事项:
1)在试验现场发生刮风天气时,要人扶绝缘杆、避免高压端接触不良造成测试数据不稳、不对或仪器复位等现现象。
2)高压电缆HV插口的金属体带10kV危险高电压。
上一篇:直流电阻测试仪接线方法
下一篇:电缆故障测试仪电路图
史海拾趣
|
时钟clk由输入量a和b与门产生,作为D触发器的时钟信号,用VHDL语言怎么编啊? 时钟clk由输入量a和b与门产生,作为D触发器的时钟信号,用VHDL语言怎么编啊? 好像clk不能定义成变量variable和signal类型,该怎么编啊… 查看全部问答> |
|
RT我的版本是modelsim SE6.5的,我查了以前其他版本比如6.2的,主菜单“view”下“Encoding”选GB2312,但是版本不一样我找不到,这个软件我也刚用,小白一个,哪位大虾能告知一下,谢谢… 查看全部问答> |
|
0805封装尺寸/0402封装尺寸/0603封装尺寸/1206封装尺寸 封装尺寸与功率关系: 0201 1/20W 0402 1/16W 0603 1/10W 0805 1/8W 1206 1/4W 封装尺寸与封装的对应关系 0402=1.0mmx0.5mm 0603=1.6mmx0.8mm 0805=2.0mmx1.2mm 1206=3.2mmx1.6mm 1210= ...… 查看全部问答> |
|
ubuntu下gedit不能用解决方法 分类: LINUXsu root 后出现不能用gedit命令。如图:jerry@jerry:~$ su root密码:root@jerry:/home/jerry# lsDesktop linux-2.6.35.9 study 视频 下载examples.desktop linux-2.6.35.9.tar.bz2 公共 ...… 查看全部问答> |
|
在已有的“计数 频率LCD显示”(FreqMesa)的基础上,把计数的对象改为“正交脉冲信号” (图中,计数器仍保留着,只用于调试对比用) 定时中断,还是很好用的: 新增加A,B信号也安排了(图中的Pin_1,Pin_2): 正交信号,也是早就预备好了(LPC80 ...… 查看全部问答> |
|
以下是ti提供的TIMERA例程; // MSP-FET430P140 Demo - Timer_A, Toggle P3.4, CCR0 Cont. Mode ISR, DCO SMCLK // // Description: Toggle P3.4 using software and TA_0 ISR. Toggles every // 50000 SMC ...… 查看全部问答> |




