SLED激光器驱动设计
2025-07-09 来源:21ic
摘要:激光驱动电流的稳定性是影响激光驱动器性能的重要参数,但激光驱动器的高电流值难以维持稳定。此外,驱动电流的范围应尽可能地宽以适用于不同种类的激光器。针对以上问题,文章以超辐射发光二极管(SLED)激光驱动器为应用实例,并采用闭环控制技术以保持驱动电流稳定,该系统能够产生4mA至200mA随外部电阻值变化的稳定的电流。
1 前言
超辐射发光二极管(SLED)产生的宽波段光具有高的光功率,波长范围1.53nm至1.56nm,光功率可超过5mW。光纤传感器是由2Km长的保偏 (PM)光纤紧贴组合而成的线圈,PM线圈检测到机械系统的振动并将其转换到集成光学芯片,由芯片处理的信号被耦合到信号检测器,并转换为电子信号。光学功率噪声检测器被用来检测该光功率的噪声信号,并用数字信号处理器(DSP)来过滤噪声。用这种高光功率源,该系统的信号噪声比(SNR)被由光源产生的噪声,而不是分散的噪声所限制。光功率源是光纤陀螺仪的关键部件,它必须提供稳定,充足的光功率。在实践中,它通常是一个通过一定的电流驱动的SLED。
SLED具有电流输入光功率输出的传递函数,如图1所示。当SLED的驱动电流超过ITH,SLED的光功率将正比于驱动电流。因此,该SLED的光功率可以很好地通过控制SLED的驱动电流进行控制。
2 电路设计
该激光驱动器电路可提供输出从4mA到200mA范围的一个稳定的驱动电流。

2.1 功率控制器构建
该功率控制器的构建块如图2所示,其设计是基于光电反馈理论。当系统稳定后,电源控制器提供给SLED稳定的电流,从而使SLED的光功率恒定。当系统稳定时,输出电流由外部电阻决定;当外部环境变化时,光纤系统的光功率改变,从而导致由监控二极管产生的变化的电流。然后,光电流被反馈到功率控制器,并经由外部电阻转换成相应的电压值,用它与基准电压进行比较。比较的结果经放大器传送到驱动电流的控制系统,调节电流源的驱动电流,使得电流源阵列变化的输出电流相应地变化。通过这种方式,SLED的驱动电流可保持不变,这意味着当环境发生变化时光纤系统的光功率保持恒定。
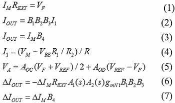
如图2,当系统稳定时,驱动电流IOUT的电流值由外部电阻REXT确定。假定I2/I1,I3/I2,IOUT/I3是B1,B2和B3,那么IOUT 的值可通过改变N2,N3,P1,P2,Q1/Q3和Q2/Q4的值很容易地实现。IM对B4的比值是由所使用的监控二极管的规格确定。REXT和 IOUT之间的关系如(1)至(5)五个方程,其中有6个变量(包括REXT),这意味着REXT与IOUT一一对应,式(6)为传输函数。在公式中,监控电流的变化由式(7)决定:

其中AOC为A1的共模增益,AOD为A1的差模增益,并且gmN1是N1的跨导。在设计中,A1和A2是单级级联放大器,这样系统的极点是由放大器的输出和电流镜产生的。由电流镜产生的磁极为fT(2+B),这是非常高的频率值,其中B是电流镜的增益。要获得一个足够的相位裕度,A1的输出是由一个高电容和高电阻连接到地,所以A1的输出是主极点。
2.2 输出级
激光器输出级如图3所示,它提供电流来驱动激光器,并直接影响SLED的输出。

输出晶体管被设置为10*10的双极级联阵列。为提供足够的电流,输出晶体管的基极电流需要足够大,基极电流由Q2和M9提供。在这个设计中,输出电流为 200毫安,假设双极性的β电流增益是100,因此,基极电流至少为200mA/β。M8/M7和Q2/Q1等于4,这意味着I3等于 16I1,M3/M1,M4/M2,M5/M1和M6/M2等于2。所以Q3的基极电流的电流是14,这限制了最大输出电流,并且Q3应大于2 mA。的最小值为2mA/14,它是142μA。所以,基极电流大于142μA经常被用来确保输出晶体管保持在正向有源区的,这里基极电流是155μA。
所述Vbias1,Vbias2,和Vbias3和由偏置电路产生,如图4所示。通过经典低电压级联结构产生Vbias2和Vbias3,Vbias1由放大器产的。电压被反馈到放大器的负端口,以产生稳定的偏置电压,保持系统的稳定性,一个电容被用于增加点A的阻抗,使得它成为主极点。运算放大器被设计成一个单级级联放大器,这确保了系统更好的稳定性。

2.3 校准参考电流
在该设计中,输出是一个电流,并且许多偏置电压通过基准电流产生。这样,参考电流的精度对于激光驱动器的驱动能力,稳定性和精度非常重要。
参考电压是由一个简单的一阶补偿电路产生,基于参考电压,所述参考电流产生并在图5校准。它是由一个误差放大器,一个参考电压源,一个比较器,一个逐次逼近寄存器(SAR)的逻辑电路,和一个6位数字-模拟转换器(DAC)组成。
参考电流是通过由基准电压电路,埃罗放大器和反馈网络构成的反馈电路产生的。电压被反馈到误差放大器的正极端口与基准电压进行比较,误差放大器放大该差压到M1的栅极电压,以这种方式,产生一定的电流。为获得更高精度的电流,消除误差的校准是必需的。

校准是通过一个特区逻辑电路和一个6位的DAC。当校准开始时,6位的DAC输入数据被定义为011111,或半满刻度。特区逻辑将修改DAC的输入数据,并改变其输出电流,直到该参考电流值可以等于IREF,如果参考电流等于IREF,校准停止。
3 仿真结果
该激光驱动器输出能力的仿真结果示于图6,这是不同条件下的仿真结果图:(a)常温(25℃)下激光驱动器随外部电阻值变化的输出仿真结果;(b)低温 (-40℃)中激光驱动器随外部电阻值变化的输出仿真结果;(c)高温(125℃)中激光驱动器随外部电阻值变化的输出仿真结果;(d)电压4.5V,温度-40℃时激光驱动器随外部电阻值变化的输出仿真结果。通过对在不同条件下仿真结果图的对比可得,该系统能够产生随外部电阻值变化的稳定电流。图中y是外部电阻的值,单位是kΩ,Y0是输出电流,单位mA。

4 结论
所述系统设计出一个以闭环控制技术来维持激光驱动器驱动电流稳定的SLED激光驱动器,并基于光电反馈理论设计了功率控制器,可实现激光器自动功率控制。该系统的电路详细,在初始设置后能够产生稳定的范围从4mA到200mA的电流。设计和仿真结果表明,在不同的外部条件下该系统能够产生随外部电阻值变化的稳定电流。实验表明该设计可以很好地工作,在稳定驱动激光器的前提下,还可以使激光器安全长时间运行。
- 嵌入式的风向变了:2026纽伦堡嵌入式展透露这些趋势
- 高通确认不在GDC 2026发布新款骁龙G系列掌机处理器SoC
- 行业评论 从工具到平台:如何化解跨架构时代的工程开发和管理难题
- 阿里达摩院发布玄铁C950,打破全球RISC-V CPU性能纪录
- 面向嵌入式部署的神经网络优化:模型压缩深度解析
- Mujoco中添加Apriltag标签并实现相机识别教程
- 摩尔线程MTT S5000全面适配Qwen3.5三款新模型
- 英飞凌与宝马集团携手合作,基于Neue Klasse架构塑造软件定义汽车的未来
- 物理AI仿真新突破:摩尔线程与五一视界共建全栈国产化生态
- 爆火的OpenClaw! 告别云端,米尔RK3576开发板本地部署
- 中国芯片研发重要成果!中科院发布香山、如意系统
- Miniconda环境隔离教程:解决Python版本冲突的完整指南
- Jetson GPU Burn烤机测试与PTX编程详解
- LabelImg安装使用教程:YOLOv12训练数据标注完整指南
- 根据题意,水位上升记为正,下降记为负。汛期水位上升3分米(即0.3米)记作+3分米,此时达到最高水位12.5米,因此基准水位(记作0时的水位)为: 12.5米 - 0.3米 = 12.2米。 汛期过后水位下降4分米(即0.4米),是从最高水位下降,故实际水位为: 12.5米 - 0.4米 = 12.1米。 实际水位相对于基准水位的变化量为: 12.1米 - 12.2米 = -0
- YOLOv12训练实战:train.py常用参数详解
- Altera 与 Arm 深化合作,共筑 AI 数据中心高效可编程新方案
- 莱迪思加入英伟达 Halos生态系统,通过Holoscan传感器桥接技术提升物理人工智能安全性
- 芯科科技闪耀2026嵌入式世界展 以Connected Intelligence赋能,构建边缘智能网联新生态




