两种可控硅整流器的运行原理
2025-07-09 来源:21ic
在平时的工作中,可控硅整流器作为一种常用到的重要元件,在工程师们的设计方案中出现频率是很高的。其中,6脉冲可控硅整流器和12脉冲可控硅整流器都非常受欢迎。那么,这两种整流器可以通用吗?二者有哪些不同呢?在今天的文章中,小编将会从他们的运行原理入手,为大家简析一下他们的不同之处。
首先要为大家介绍的是6脉冲可控硅整流器的运行工作原理。这里所谓的6脉冲,指的是以6个可控硅组成的全桥整流,由于有6个开关脉冲对6个可控硅分别控制,所以我们一般称之为6脉冲整流。这种6脉冲整流器的基础结构如图1所示。

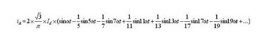
里我们以图1所示的6脉冲整流器运行结构为基础,来对它的运行特点进行简要分析。我们暂时忽略三相桥式可控硅整流电路换相过程和电流脉动,假定交流侧电抗为零,直流电感为无穷大,延迟触发角a为零,则交流侧电流傅里叶级数展开可以计公式为:

由上文中的公式,我们可以得出以下一个结论,那就是在6脉冲整流器的电流中,含6K(k为正整数)次谐波,即5、7、11、13...等各次谐波,各次谐波的有效值与谐波次数成反比,且与基波有效值的比值为谐波次数的倒数。

对上文中两个公式的计算,我们可以得出结论,那就是在12脉冲可控硅整流器运行过程中,两个整流桥产生的5、7、17、19、...次谐波相互抵消,注入电网的只有12k次谐波,即11、13、23、25等各次谐波,且其有效值与与谐波次数成反比,而与基波有效值的比值为谐波次数的倒数。

在这种12脉冲的可控硅整流器运行过程中,其本身桥1的网侧电流傅立叶级数展开可得出公式为:

由此可见,在12脉冲的可控硅整流器运行过程中,两个整流桥产生的5、7、17、19、...次谐波相互抵消,注入电网的只有12k(k为正整数)次谐波,即11、13、23、25等各次谐波,且其有效值与与谐波次数成反比,而与基波有效值的比值为谐波次数的倒数。

以上就是本文针对两种可控硅整流器的运行原理,所进行的简要分析和介绍,希望能够对各位工程师的研发设计工作有所帮助。
下一篇:自适应均衡器系统电子电路剖析
- 嵌入式的风向变了:2026纽伦堡嵌入式展透露这些趋势
- 高通确认不在GDC 2026发布新款骁龙G系列掌机处理器SoC
- 行业评论 从工具到平台:如何化解跨架构时代的工程开发和管理难题
- 阿里达摩院发布玄铁C950,打破全球RISC-V CPU性能纪录
- 面向嵌入式部署的神经网络优化:模型压缩深度解析
- Mujoco中添加Apriltag标签并实现相机识别教程
- 摩尔线程MTT S5000全面适配Qwen3.5三款新模型
- 英飞凌与宝马集团携手合作,基于Neue Klasse架构塑造软件定义汽车的未来
- 物理AI仿真新突破:摩尔线程与五一视界共建全栈国产化生态
- 爆火的OpenClaw! 告别云端,米尔RK3576开发板本地部署
- 中国芯片研发重要成果!中科院发布香山、如意系统
- Miniconda环境隔离教程:解决Python版本冲突的完整指南
- Jetson GPU Burn烤机测试与PTX编程详解
- LabelImg安装使用教程:YOLOv12训练数据标注完整指南
- 根据题意,水位上升记为正,下降记为负。汛期水位上升3分米(即0.3米)记作+3分米,此时达到最高水位12.5米,因此基准水位(记作0时的水位)为: 12.5米 - 0.3米 = 12.2米。 汛期过后水位下降4分米(即0.4米),是从最高水位下降,故实际水位为: 12.5米 - 0.4米 = 12.1米。 实际水位相对于基准水位的变化量为: 12.1米 - 12.2米 = -0
- YOLOv12训练实战:train.py常用参数详解
- Altera 与 Arm 深化合作,共筑 AI 数据中心高效可编程新方案
- 莱迪思加入英伟达 Halos生态系统,通过Holoscan传感器桥接技术提升物理人工智能安全性
- 芯科科技闪耀2026嵌入式世界展 以Connected Intelligence赋能,构建边缘智能网联新生态




