水下机器人运动控制系统设计与实现
2025-08-19 来源:eepw
引言
目前,世界上各大国家都在大力发展海洋事业。但海洋中存在各种不确定和未知因素,水下机器人因其体积小、安全性高、作业深度大、航行时间长等特点成了替代人类作业最好的工具。在海洋开发中得到了广泛应用。水下机器人是一个强非线性系统,各个自由度的运动相互耦合,另外,由于ROV在水下的重力、浮力和推进器安装情况未知,给控制器的设计带来困难[1]。建立ROV普遍、规范、实用的数学模型是对其进行控制研究的前提。数学模型过于复杂会导致控制系统的复杂,实现难度较大;而模型过于简单,则不能反映系统真实的运动过程,导致其控制性能的下降[2]。虽然在ROV航行过程中,各自由度的运动会发生相互耦合现象,但针对ROV操纵的性能需要,在实际控制时,可以尽量避免水平和垂直方向的联动操作。虽然ROV各个自由度的推力与推力器发出的力之间的关系一般都不复杂,但仍存在差异[3]。可以进行各个自由度解耦,而在每一个自由度上设计一个控制器,然后再通过推力分配,实现对ROV的航行控制。本文以定向控制为重点,研究了控制器的设计过程,并对控制效果进行仿真和模拟验证。
1 ROV运动学模型建立
1.1 参考坐标系
为了详细地描述ROV的运动,需要建立适合描述ROV运动的坐标系[4]。一般建立两种坐标系:固定坐标系
和运动坐标系
。
固定坐标系的原点E为海面或者海中的任意一点,η轴指向地理东,
轴指向地理北,
轴指向地心,如图1所示。运动坐标系的原点一般取为ROV上的一点,x轴与ROV主对称轴一致,y轴与ROV辅助对称轴一致,z轴按照右手定则选取,如图1所示。

由于运动坐标系不是惯性坐标系,在分析ROV运动情况的时候,应当先在地面坐标系中建立运动方程,然后转换到运动坐标系中。地面坐标系到运动坐标系转换的变换矩阵为[5]:

1.2 空间运动方程
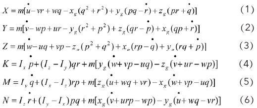
ROV在水下做6自由度的空间运动,具体定义如下[6]:进退:沿x轴正向为前进,沿x轴反向为后退;侧移:沿y轴正向为右移,沿y轴反向为左移;潜浮:沿z轴正向为下潜,沿z轴反向为上浮;回转:以z轴为中心的转动,艏向右转为正,左转为负;横摇:以x轴为中心的转动,右倾为正,左倾为负;纵倾:以y轴为中心的转动,抬艏为正,反之为负。水下机器人在6个自由度上的运动方程为[7]:

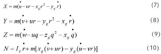
忽略相互垂直面内的运动耦合,运动方程可化简为[8]:

如果ROV重心和运动坐标方程原点重合,则其运动方程又可化简为:

2 水下机器人航向闭环控制系统设计及仿真试验
2.1 航向闭环控制结构
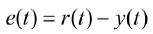
航向控制系统的功能是维持水下机器人的航向角恒定,控制回路采用罗经作为反馈传感器,以罗经测出的实际航向角和设定航向角的偏差
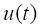
作为闭环输入,通过PID调节后输出控制电机的电压
,叠加至上位机操作机构发出的进退、横移航行指令上,然后经推力分配环节和限幅后,输出至各直流电机,作用于水下机器人载体,使它保持设定的航向,回路控制结构如图2所示。

2.2 ROV转向运动传递函数
ROV水平面内推进器为环形分布,在进行航向调节时,假设推进器输出的推力大小相同,力矩的作用方向相同,总的推力矩可表示为:


2.3 电机与推进器传递函数
(1) 直流电机传递函数
一般直流电机的动态特性为惯性环节,其传递函数为:

系统闭环传递函数为:


在MATLAB Simulink环境下进行模型搭建,如图3所示。

输入一个阶跃信号,用以模拟航向设定值,信号如图4所示。反复调整PID参数,获得了比较理想的响应曲线如图5所示。
从响应曲线可得,系统较快地上升到设定值附近,在经过一个较小的超调后,稳定在设定值。响应时间约为8s左右,能够满足对ROV定向控制的要求。

3 航向控制闭环模拟试验
设计如图6所示的闭环结构对ROV进行航向控制闭环回路的模拟。
上位机发送定向设定值120°至PC104,PC104生成推进器的输出信号。工业控制计算机采集PC104生成的4路水平方向上的DA输出信号。工业控制计算机上运行仿真计算程序,将采集的信号作为输入量,经闭环传递函数处理后,得到航向输出量,并在界面上显示,同时将航向数据由串口发送至PC104的罗经串口,再由PC104采集后,继续进行数字PID运算,以此实现闭环回路。
将采集的4路电压信号和航向变化来说明航向控制的调节过程,以偏差2°作为间隔,记录每次数据,实验数据如表1所示。

从表1中数据可得:转向调节时,4路推进器的输出电压所产生的力矩方向一致,以便ROV能尽快达到设定值附近。设定航向为120°,随着控制过程的进行,航向偏差由高到低变化,到0之后,形成一定超调量,此时航向会继续增大,在到达顶点后开始下降,并进入振荡过程,系统经过短时间的振荡,最后会趋于稳定。模拟实验的结果验证了控制系统的可靠性。
4 结论
本文主要研究了ROV的运动学模型的建立以及航向控制策略。首先对航向闭环控制系统进行研究,推导出了ROV航向闭环控制系统的传递函数。再基于PID算法和Simulink仿真完成了PID控制器的设计。最后,建立模拟闭环仿真系统,对ROV的航向调节控制进行仿真验证,对试验结果和试验数据进行了分析和总结,验证了所使用的控制算法及所设计的PID控制器的可行性。
参考文献:
[1]孙玉山,梁霄,万磊,等.一种开架式水下机器人控制技术的研究[J].四川大学学报.2008,40(2): 147-152.
[2]晏勇,马培荪,王道炎,等.深海ROV及其作业系统综述[J].机器人,2005,27(1):82-89.
[3]朱康武,顾临怡.作业型遥控水下运载器的多变量backstepping鲁棒控制[J].控制理论与应用,2011,28(10):1441-1446.
[4]边宇枢,高志慧,贠超. 6自由度水下机器人动力学分析与运动控制[J].机械工程学报,2007,43(7):87-92.
[5]唐旭东,庞永杰,李晔.水下机器人运动的免疫控制方法[J].电机与控制学报,2007,11(6):676-680.
[6]严卫生.鱼雷航行力学[M].西安:西北工业大学出版社,2005.
[7]李殿璞.船舶的数学建模[M].哈尔滨:哈尔滨工业大学出版社,2001.
[8]黄海.遥控潜水器的控制体系结构及作业技术[M]. 北京:国防工业出版社,2011.
- 嵌入式的风向变了:2026纽伦堡嵌入式展透露这些趋势
- 高通确认不在GDC 2026发布新款骁龙G系列掌机处理器SoC
- 行业评论 从工具到平台:如何化解跨架构时代的工程开发和管理难题
- 阿里达摩院发布玄铁C950,打破全球RISC-V CPU性能纪录
- 面向嵌入式部署的神经网络优化:模型压缩深度解析
- Mujoco中添加Apriltag标签并实现相机识别教程
- 摩尔线程MTT S5000全面适配Qwen3.5三款新模型
- 英飞凌与宝马集团携手合作,基于Neue Klasse架构塑造软件定义汽车的未来
- 物理AI仿真新突破:摩尔线程与五一视界共建全栈国产化生态
- 爆火的OpenClaw! 告别云端,米尔RK3576开发板本地部署
- 中国芯片研发重要成果!中科院发布香山、如意系统
- Miniconda环境隔离教程:解决Python版本冲突的完整指南
- Jetson GPU Burn烤机测试与PTX编程详解
- LabelImg安装使用教程:YOLOv12训练数据标注完整指南
- 根据题意,水位上升记为正,下降记为负。汛期水位上升3分米(即0.3米)记作+3分米,此时达到最高水位12.5米,因此基准水位(记作0时的水位)为: 12.5米 - 0.3米 = 12.2米。 汛期过后水位下降4分米(即0.4米),是从最高水位下降,故实际水位为: 12.5米 - 0.4米 = 12.1米。 实际水位相对于基准水位的变化量为: 12.1米 - 12.2米 = -0
- YOLOv12训练实战:train.py常用参数详解
- Altera 与 Arm 深化合作,共筑 AI 数据中心高效可编程新方案
- 莱迪思加入英伟达 Halos生态系统,通过Holoscan传感器桥接技术提升物理人工智能安全性
- 芯科科技闪耀2026嵌入式世界展 以Connected Intelligence赋能,构建边缘智能网联新生态




