TC237B型CCD图像传感器的原理及应用
2008-02-19 来源:国外电子元器件
摘要:TC237B是美国德州仪器(TI)公司生产的黑白电荷耦合器件(CCD)图像传感器。详细介绍TC237的主要特点,引脚功能和结构原理,最后给出TC237B在嵌入式图像采集系统中的具体应用实例。
关键词:CCD;图像传感器;TC237B;图像采集
1 引言
TC237B是TI公司生产的一款1/3英寸的帧转移方式的电荷耦合器件(CCD)图像传感器。它有340 000个像素,其中有效像素为658x496,能广泛应用在黑白电视系统、电脑、工业检测等需要低成本和小尺寸的场合。
TC237B的图像感光区由500行像素组成,每行有680个像素,其中每行有22个像素用于提供参考黑电平。它的反模糊特性基于一种先进的横向溢出漏级概念。传感器能在低暗电流下,作为一款658(H)x496(V)的传感器在隔行模式下工作;同时,TC237B的另一个重要特性是它能每帧采集340000个像素。传感器还具有高速图像传输特性,并且能在不损失敏感度和分辨率的情况下进行持续电子曝光控制。感光电荷在一个高性能的,带有复位和参考电平发生器的结构中转换成13μV/e的信号电压。产生的信号进一步通过低噪音的二阶信号源输出放大器进行缓冲,从而提高输出的驱动能力。
TC237B型图像传感器采用了TI公司特有的先进虚拟阶段(AVP)技术。AVP技术能使传感器具有高蓝色响应、低暗电流、高光响应一致性和单相时钟等优点。
2 主要特点和引脚功能
图1示出TC237B型图像传感器采用12引脚双列直插封装的引脚排列,其引脚功能如表l所列。TC237B的主要特点如下:


●高分辨率,1/3英寸固态传感器;
●每场可达340 000个像素;
●帧存储;
●具有658(H)x496(V)有效像素,兼容电子调中;
●有多种读出模式特性:逐行扫描方式、隔行扫描方式、双行同时读出模式、图像区行累加、拖影消减;
●快速单脉冲图像区清除特性;
●能进行1/60~1/50 000秒的持续电子曝光控制;
●7.4 μmx7.4 μm像素;
●先进横向溢出漏级反模糊技术;
●暗电流小;
●感光反应一致性高;
●动态范围大:
●光敏感度高;
●蓝色响应高;
●无图像老化、图像残留、图像失真、图像延迟或颤噪效应等现象。
3 内部结构
TC237B由4个基本功能模块组成:图像感光区、图像存储区、串行寄存器和带有电荷检测及独立复位的低噪音信号处理放大器模块,其原理框图如图2所示。

3.l 图像感光区和图像存储区
图像感光区和存储区占据了TC237B的大部分面积,分别拥有340 000个像素。当光射进图像感光区的硅元件时,将产生电子——空穴对,并聚集在势阱之中。在开始一段新的感光时间前,只需在溢出漏级施加1个1μs以上的脉冲就可以消除图像。图像存储区的像素数和感光区的相同,尺寸比感光区的略小,并且被外壳遮盖以免受到外界光的照射影响,这样,感光完成后一场感光电荷就可以传送到存储区。感光电荷从感光区传送到存储区的过程叫做并行传输。并行传输的时间取决于读出模式是隔行扫描还是逐行扫描。当使用逐行扫描模式时,信号还可以选择单通道读出或双通道快速读出。
在图像感光区的左部,每行有22个像素被金属遮光屏覆盖。这些暗像素可以为图像的后继处理电路提供黑参考电平。除此以外,在图像感光区和图像存储区间有4行像素同样被金属遮光屏覆盖,它们的存在避免了感光区的电荷泄漏到存储区中。
3.2 串行寄存器和信号读出
感光电荷在存储区门和串行门的控制下将一行一行地从存储区传送到1个或2个寄存器。使用1个或2个寄存器取决于采用何种读出模式。当使用2个寄存器时,信号的读出是并行的。
当像素被传送到串行寄存器后,它们将随时钟送出并由一个电荷探测节点所检测。探测节点必须在下一个像素到达之前先复位到一个参考电平。而串行寄存器的读出时序需要符合相关双采样(CDS)的要求。当电荷送到探测节点上时,节点上的电势按比例地转变成相应数量的接收电荷。这种转变由一个MOS晶体管感测。信号在适当缓冲后将提供给图像传感器的输出端。
4 在嵌入式图像采集系统中的应用
嵌入式图像采集系统主要由TC237B图像传感器、驱动电路、模拟前端、CPID、ARM7TDMI处理器、FIFO组、SDRAM存储器等组成,其原理如图3所示。

在本系统中,CPID是采集系统的控制核心,也是TC237B的信号时钟发生器。采集时,TC237B在CPLD提供的驱动时钟作用下完成光电转换,并把图像信号串行发送到模拟前端。图像信号经过模拟前端的信号调整和A/D转换后,转化为8-bit的数字量。然后在CPLD的调配下,经过FIFO组的缓冲,由ARM处理器把数字量存放到SDRAM中,从而实现图像的采集。
如上所述.TC237B有多种读出模式,本系统采用的是逐行扫描单通道输出模式。选用这种模式只需要对输出的CCD信号使用1个通道的模/数转换即可,从而使得后继的信号处理变得更为简单,适合于对时间要求不特别高的场合。图4示出TC237B采用逐行扫描单通道输出时采集一帧图像的时序。
采集一帧图像要经过图像清除、感光、并行传输和读出4个阶段。其中,读出阶段需时最长。当需要采集时,ARM处理器发出采集信号,告知CPLD采集开始。在开始新的采集前,TC237B先复位先前所有的状态并清除图像信息。这种清除只需把ODB信号提升至26V并维持lμs以上即可。清除完成后,进入感光期。感光时间也是曝光长度。短时间曝光会使CCD受到较小的光子冲击,形成一幅曝光不足的低照度图像;相反,长时间曝光可形成一幅感光过度的图像。在光线很弱的场所,例如天文摄影,长时间曝光是必要的。设计者应该根据实际情况,配合光学系统,选择适当的曝光时间。
曝光时间完成后意味着光电转换已经完成,将进入并行传输阶段把电荷转移出去。
并行传输是由IAGl、IAG2、SRG、SAG四个信号的一系列时钟脉冲完成的。图像感光区是二相结构的,lAGl门连接感光区的所有奇数行像素,IAG2门则连接了感光区的所有偶数行的像素。因此在并行传输阶段,只要同时给IAGl门和lAG2门发1个脉冲,奇偶行的像素同时下移1个单位,从而实现l行像素下移到存储区。这里lAGl和IAG2脉冲信号必须没有相位差,否则会引起电荷的叠加,使图像失真。由于存储区是单相结构,所以当l行像素下移到存储区后只需往SAG门发送1个脉冲就可以把存储区的所有像素下移1个单位,为接收感光区的下1行像素准备空间。这样,经过500个脉冲后1帧图像就完成了帧存储。

要注意的是,由于在并行传输期间感光区仍在感光,因此如果并行传输的频率太低,像素信号在传送到存储区的同时仍在积累电荷,从而形成带有垂直拖尾的图像。这是在帧间转移CCD中常见的问题。为了避免拖尾效应,并行传输的时间应远小于感光时间。垂直拖尾百分比(rs)可以按下式计算:
其中,txfer是并行传输时间;tint是感光时间;nIA是图像的行数;fxfer是并行传输的频率。
本系统并行传输的频率为2.5 MHz,曝光时间选为1/60 s,按照式(1)可求出垂直拖尾百分比为0.125%。
采集图像的最后1个阶段就是要把存储区的像素经过串行寄存器发送到输出端。读出期包含行传输和串行读出过程,这2个过程均由SAG和SRG的时钟脉冲完成。首先在行传输期间,SAG信号和SRG信号先后各以1个脉冲把一行像素送到串行寄存器2中。然后,SRG信号在684个时钟脉冲驱动下把整个串行寄存器的所有像素逐一送出。如此循环500次,一帧图像就从传感器的输出端发送出去。
整个采集时间大约154 ms,可以满足各种场合的需要。
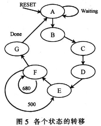
TC237B的整个工作时序的软件设计是在MAX+plus Ⅱ环境中用VHDL语言实现的。根据时序的各个时段进行有限状态机的设计。各个状态的转移如图5所示。

状态A:空闲状态;
状态B:CCD清除状态;
状态C:感光状态;
状态D:并行传输状态;
状态E:把一行像素移进串行寄存器;
状态F:串行读出像素;
状态G:完成。
本文使用海纳锐利编辑并转载, 版权归原作者所有。
- 请问怎样调整工业相机的最低照度与感光度呢?
- 容大感光:半导体光刻胶为公司重点研发产品 主要代表客户为扬杰电子/三安光电等
- Vishay推出峰值感光度波长达950 nm的汽车级PIN光电二极管
- OPPO Reno7系列发布:搭载超感光猫眼镜头
- 总投约6亿元 容大感光拟在珠海建设感光干膜、光刻胶等项目
- 广信材料计划872万元竞拍147亩地 将投建PCB感光材料等项目
- 一种LED点阵模块的感光屏设计及系统实现
- 广信材料计划10亿元在江西龙南投建感光等多种材料项目
- 荣耀 V40 发布:超曲面屏+超感光摄像头,3599元起
- vivo全新 RGBW 排列新原件让传感器感光度提升 160%




