历史上的今天
今天是:2024年11月04日(星期一)
2019年11月04日 | 技术文章—采用降压型控制器产生负电压
2019-11-04 来源:EEWORLD
引言
负电压被用于为汽车信息娱乐系统中数量越来越多的 LCD 显示屏供电。同样,在工业和铁路环境中,负电压轨可满足仪表和监视应用的需要。在所有的情况下,负电压轨均必须用正电源产生,但是正至负 IC 不像降压型控制器那样容易获得。制造商不太可能拥有经过测试的合格负输出转换器,却很可能已经有了一些经过核准的降压型控制器,例如 LTC3892 双输出控制器。为避免因测试专用负输出转换器招致额外的耗时和成本,可使用 LTC3892 双输出降压型控制器以 Ćuk 拓扑产生负输出电压。
双输出转换器:–12 V/3 A 和 3.3 V/10 A
LTC3892 是一款双输出控制器,其中一个输出可用于提供一个正电压,而另一个通道则用于产生一个负电压,如图 1 所示。这款解决方案的输入电压范围为 6 V 至 40 V,其中 VOUT1 等于 3.3 V (10 A),VOUT2 等于 –12 V (3 A)。VOUT1 配置为直通式降压型转换器拓扑,具有功率链路组件 Q2、Q3、L1,以及输出滤波电容器。将输出设定为 3.3 V 无需在 VFB 引脚上布设分压器 (直接连接至输出),因为 LTC3892-2 具有固定的 3.3 V 或 5 V 输出 (分别通过将 VPRG1 接地或连接至 INTVCC 来设定)。

图 1.一款用于产生正电压和负电压的解决方案。VOUT1 为 3.3 V (10 A),VOUT2 为 –12 V (3 A)
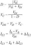
VOUT2 是一个负输出电压 (相对于 GND)。运放 U2 (LT1797) 连线为一个差分放大器,用于检测该负电压并将其调整为 LTC3892 误差放大器 (EA) 的 0.8 V 基准。在这一方法中,LTC3892 的 EA 和这个运放均参考于系统 GND,从而简化了电源控制和功能。用于设定负输出电压的种子公式为:

VOUT2 采用异步 Ćuk 拓扑,并包括功率链路组件 Q1、D1、L2 和输出滤波电容器。Ćuk 拓扑在其他技术文献中有广泛涉及,所以这里就不详细介绍了。功率链路组件上承受的应力可用下面的公式概括:

这款解决方案的评估采用了 DC2727A 演示板,图 2 示出了 VOUT2 效率。另外,这种方法在我们 LTC3892-2 的 LTspice® 仿真模型中也是可用的。

图 2.在 14 V 输入时负输出 (VOUT2) 的效率
结论
LTC3892 是一款通用和灵活的控制器,虽然在表面上是专为同步降压型转换而设计的,但是它也可在 Ćuk 拓扑中使用,为汽车、工业和其他应用产生正电压和负电压。
下一篇:技术文章—基本运算放大器配置
史海拾趣
|
如果同时掌握了arm和cpld会不会有所帮助? 来自EEWORLD合作群:arm linux fpga 嵌入0(49900581)群主:wangkj… 查看全部问答> |
|
能够记录机器里面播放的声音,或者使用麦克可以录音,但就是不能同时实现卡拉ok混音功能。怎么办,网上找到的补丁都用过了,就是不能用混音。 高手在哪里?… 查看全部问答> |
|
我的是一个协议层驱动,有个疑问就是 A.使用CreateService,OpenService,QueryServiceStatus及StartService等一系列API安装起来的驱动 B.使用Inf文件及INetCfg的COM接口安装的驱动 问题是 1.这两种方式有什么不同? 2.为什么A安装后\"本地连接\" ...… 查看全部问答> |
|
我现在做图片解码显示,用的是ze的片子,我开辟了的一个大的数组在sram里,请放心这个数组确实在外部,我去过地址查看,0x6800xxx位置,现在的问题是,我如果把这个数组开辟的小一点,比如几百字节,lcd显示正常,开辟大来人比如几百k &n ...… 查看全部问答> |
|
开关电源组件选择 开关电源组件选择 (Switch-Power-Supply-Component-Selection) 开关电源深入浅出之设计选型篇,作为能量转换的装置-电源,此篇告诉你想了解的储能元器件类型和如何选择,理解并能优化选择电容和电感 课程大纲: 拓扑敏感回路 ...… 查看全部问答> |




