历史上的今天
今天是:2025年01月09日(星期四)
2020年01月09日 | 示波器探头的对波形上升沿有哪些影响?
2020-01-09 来源:elecfans
当你换怀疑你测试的信号是否是真实的信号波形的时候,应该从4个方面分析示波器对波形的劣化。
1.示波器探头的对波形上升沿的影响
示波器测试的测试波形并不是实际波形,可能跟实际波形相差很大,而探头在里面起到主要因素。因为它上面有很多寄生参数。


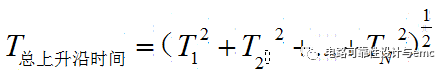
针对是串联级联的情况。而我们接触的是探头的带宽这个参数。对于矩形波带宽与上升沿有个转换关系。

从公式上可以看出,用一个3倍是待测信号频率带宽的探头,探头的上升沿时间就已经等于被测信号的上升沿时间了。
假设100mhz的信号,测试一个33m的矩形波。上升沿时间为30ns,但是经过100m带宽探头示波器测试变成42ns。此时还没有加上示波器本身的带宽。
有些探头的厂商标的是RMS带宽,计算公式如下。

2 探头接地环路的自感对波形的影响

示波器探头等效电路图
对于一般示波器探头的接地线规格为awg24,接地环路为1*3in,电感大概是200nh,输入电容10pf,时间常数

对于这种临界阻尼电路,10%-90%上升沿时间是lc时间常数的3.4倍,也就是4.8ns。对于一个300mhz的探头,上升沿时间为3.3ns,而3in的接地导线把上升沿时间劣化到4.8ns。
3 探头对信号振铃的影响
Q值的概念:存储在电路中的总能量与每次震荡消耗的能量之比。

Rs是信号源的内阻。
Q对信号频率响应的影响

后面尖峰越高表示q值越大,振铃约严重,在阻抗匹配的概念中也存在一个振铃,如果信号源的输出阻抗跟走线阻抗不匹配也出现振铃,这其实是描述同一个问题从不同的角度。本质原因还是q值过大,引起的过阻尼震荡。
另外如果信号的截止频率要低于谐振频率,即使q值很大(小于无穷大)或者说阻抗不匹配也不会引起问题。如果电路q值大而且信号速度快满足这两个条件,信号可能就出现问题。
对于矩形波信号

4接地环路测试到的串扰信号

a环路输出信号和它的信号回流形成一个环路,根据右手螺旋定则形成变化的磁场是垂直于环路向外辐射,穿过示波器探头和接地线形成的环路。
假设di/dt=1*10^7a/s.这也就是个开关电源开关电流1a,开关信号为10m。
根据图示的假设计算两个环路在空气中的互感


这个电压完全可以忽略,但是旁边的干扰源如果是24bit的rgb信号,信号会相互叠加起来,就不小了,这不仅会影响测量信号其实也会同时影响电路上的其它信号,可能通过空气也可能通过pcb介质。其实在现在pcb设计中会使用铺铜,就有效的减小了信号回流面积。
不过利用这个原理图可以制作一个简易的磁场检测器,把示波器的接地的夹子夹住探头就形成一个环路,变化的磁感线穿过这个环路就感应出变化的电流变化的电流跟环路上的寄生电感就形成变化的电压。可以把地线夹子去掉串一个大的电感上去可以提高灵敏度。
上一篇:关于示波器的用途介绍
史海拾趣
|
核心提示:近日美国官方公布了一段关于军用机械狗的录像,视频中机械狗展示了它惊人的活动能力和适应性,一举在互联网上造成轰动。研发公司称经过测试,该机械狗能在战场上为士兵运送弹药、食物和其他物品。 这个形似机械狗的四足机器人被命名为“ ...… 查看全部问答> |
|
我现在做的是一个windows CE下传感器的项目,其中有一个过程,是给传感器发一个读指令(16进制),然后传感器会自动返回一组数据(16进制);传感器的数据刷新是50次每秒,所以在20ms内必须主动接受数据并进行处理。这里的主动是细节上的,文章题目 ...… 查看全部问答> |
|
《evc高级编程及其应用开发》例程中这样用OnOk(),OnClose(), 为何? void CDlgSeriesSetup::OnBtnopen() { CComboBox *pCmbName = NULL; CComboBox *pCmbBaud = NULL; CComboBox *pCmbParity = NULL; &nbs ...… 查看全部问答> |
|
有哪位前辈有意出售的吗?现在我们急需这些,为明年的比赛做准备,谢谢各位了,有闲置的也有意出售的请联系qq362313998,谢谢… 查看全部问答> |




