历史上的今天
今天是:2025年02月17日(星期一)
2021年02月17日 | 浅析几种迁移率概念——DJ from进化半导体材料有限公司
2021-02-17 来源:爱集微
“碳化硅的电子迁移率是900,碳化硅MOSFET的沟道迁移率是50,体迁移率是1000” 看到这样的介绍,或许你非常疑惑,为什么同一种材料中有这么多的迁移率?我们在听讲座或者看相关文献的时候,也经常会遇到不同的迁移率:霍尔迁移率,漂移迁移率,沟道迁移率,体迁移率等等。这里,就让我来为大家具体分析一下这些不同的迁移率。大体上来说,迁移率的概念可以分为三种:1. 最基础的迁移率定义(microscopic mobility); 2. 体材料里的迁移率(根据不同的测试方法得出不同的迁移率名称); 3. 晶体管中的迁移率。
1. 最基础的迁移率定义—microscopic mobility
Microscopic mobility 是根据迁移率的定义计算而来的迁移率。它是指不同载流子在它们各自的能级上的迁移率。某一能级上的载流子迁移率可以表述为:

其中q是元电荷,τ是散射迟豫时间,而m*则是载流子的有效质量。其中最重要的参数τ可以由求解玻尔兹曼方程得到。
2. 根据不同测试方法得到的迁移率
同一种半导体材料,根据不同的测试方法可以得到不同的迁移率的数值,由于每一种测试方法都有其局限性,为了使读者能够更好的理解这个迁移率数值是由何种方法而来,每种测试方法下的迁移率都有不同的命名:(1)电导迁移率(conductivity mobility)(2)霍尔迁移率(hall mobility)和(3)漂移迁移率(drift mobility)接下来,我将具体分析这几种不同的迁移率。
(1)电导迁移率
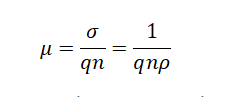
电导迁移率是通过半导体材料的电导率或者电阻率得到的迁移率,可以由以下表达式:

其中q是元电荷,n是载流子浓度,σ是电导率,ρ是电阻率。这种方法的优势是可以直接得到材料的电阻或者电导率,然后可以计算迁移率。其缺点是需要由独立的测试得到载流子浓度,增大了测量误差。
(2)霍尔迁移率
霍尔迁移率是利用霍尔效应测量得到的迁移率,它跟电导迁移率的不同在于其需要测量其霍尔系数:

其中RH 是霍尔系数。利用霍尔效应测量迁移率的优势在于它可以适用于大多数常见半导体,其缺点在于需要对待测样品进行特殊设计,并且在计算过程中,无法精确的对霍尔散射因子进行赋值。
(3)漂移迁移率
漂移迁移率一般是用来测量少数载流子在电场中的迁移率,其公示可以表示为:

其中v是漂移速率,E是电场强度。利用少数载流子在高电场下的漂移来测量迁移率,其优点在于可以得到高电场下的漂移速率和迁移率。对于一些半导体器件,比如MESFET,非常适合利用这种方法进行迁移率测量。这种方法的缺点是对实验仪器和操作员的经验要求高,它需要极快响应的电子和光学设备。
3. 晶体管中的迁移率
在分析器件,尤其是晶体管的时候,我们也会遇到不同的迁移率:沟道迁移率,有效迁移率,场效应迁移率等等。这里,我以MOSFET为例子来解释晶体管中的这些不同迁移率。
从大的方面来说,根据在MOSFET中的位置可以分为沟道迁移率和体迁移率:当MOSFET导通时,栅极下方的沟道内的迁移率我们称之为沟道迁移率;在远离栅极和材料表面的区域,我们称之为体迁移率。其中,体迁移率可以根据电导或者霍尔等方法来测,而沟道迁移率则需要通过测量MOSFET的输出特性来得到:这里又可以将其分为(1)有效迁移率;(2)场效应迁移率;3)饱和迁移率。
(1)有效迁移率
给定一个MOSFET的栅极长度L和器件宽度W,当漏极电压很小时(50毫伏),其漏极上的电流可以表示为一个关于迁移率的函数。根据栅极电感得到沟道内的载流子浓度,则可以得到器件沟道内的有效迁移率:

其中gd是漏极电导,Cox是栅极电容,Vt是阈值电压。由于器件阈值电压VT不能非常精确的知道,所以在VGS-VT的数值较大的时候,有效迁移率比较准确,而当VGS-VT趋近于0的时候,有效迁移率的数值就会偏差很大。当然,也有更复杂的计算方法,可以使其精确度增加,这里就不介绍了。
(2)场效应迁移率
前面我们介绍过,根据漏极的电导我们可以得到有效迁移率。那么根据栅极的跨导gm,我们可以得到场效应迁移率:

由于场效应迁移率的计算过程中,不需要另外测量阈值电压,其不存在在有效迁移率在Vgs接近阈值电压时不精确的问题。但是,由于在场效应迁移率的推到过程中,忽略了电场对于迁移率的影响,所以,场效应迁移率的数值往往较有效迁移率偏低。
(3)饱和迁移率
前面两种迁移率都是在器件的线性区求解,如果是在器件的饱和区求其迁移率,则可以得到饱和迁移率。求解饱和区的迁移率的思路跟有效迁移率一样,区别就在于漏极电流的表达式略有不同。
4.总结
在评价MOSFET的性能时,我们常说的体迁移率一般是指利用霍尔效应测的迁移率,其主要由声子散射、杂质散射决定。而沟道迁移率则通常为场效应迁移率,其数值主要是由界面粗糙散射决定。
总体原则是:随着器件额定电压的提升,沟道迁移率的重要性下降,体材料迁移率影响权重上升。大概来说,对于低压器件来说(300V以下),沟道迁移率主导;高压器件(3000V以上),体材料迁移率主导,此时沟道迁移率的影响可以忽略。300-3000V之间,两者都有贡献,但是越高压,沟道迁移率的影响越小,体迁移率影响越大。
史海拾趣
|
主要是设计一个比较器,以前写状态机时都没出现这个问题。编写过程中出现毛刺都通过修改敏感信号给消除了,状态定义也是完整的,怎么会出现未定义态,且时序仿真两个互斥的信号却出现同时相当的情况。希望高手帮看看,给予建议和指导,深表感谢。 ...… 查看全部问答> |
|
我现在的开发板用的是vivi的bootloader,前段时间我一直研究u-boot的代码,总算是按照一些资料编译好了,现在的问题是: 我对编译好的u-boot没有把握一定正确,所以想下载到开发板验证,但是不想抹掉原来的vivi,我的开发板现在已经有linux系统了! 请指 ...… 查看全部问答> |
|
TIVA Launchpad 四:Hello EEworld解析 开发环境搞明白了,跑串口自然就方便了。 我打开串口例程改了下变成“Hello EEworld\",真不错,开发板开始向我们问好: 见下图 下面解析一下,以后的程序我想都按照这个模板写下去啦:// Enable lazy stacking for interrupt handlers. & ...… 查看全部问答> |




