电路教材解读:单片机晶振负载电容计算详解
2025-09-19 来源:cnblogs
当初我在设计单片机外围电路的时候,单片机旁边的晶振需要并联2颗电容,查看晶振规格书的时候有个参数负载电容,比如9pF,12pF,12.5pF,20pF等等,一开始以为直接找两个这个电容就行了,这是典型的对负载电容的理解不到位,后来慢慢熟悉了,知道其中含义了,也就知道了这两个电容的计算方式。今天我们就再学习下,加深一下印象。
1. 理解负载电容的作用
定义:
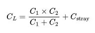
负载电容(Load Capacitance,CL)是晶振两端需要匹配的等效电容,它协调晶体的振荡频率,使其稳定在标称值(如12MHz)。
类比:晶振 ↔ 秋千
负载电容↔ 推秋千的手(推力频率与秋千固有频率同步才能持续摆动)
不匹配后果:频率偏移、不起振、时钟飘移(如一天快慢几秒)。
2. 参数获取:锁定关键输入数值
必知参数:
1.晶振标称负载电容(CL):查看晶振规格书(如12pF, 20pF)。
2.单片机内部电容(Cin):部分MCU内部已集成电容(如STM32约5pF)。
3.PCB杂散电容(Cstray):一般经验值3~5pF(布线密集时取高值)。
3. 计算外部电容值(分情况讨论)
情况①:晶振规格书明确给出 CL
前提:外部仅需添加两个电容C1、C2(通常设计为相等值)。
公式推导:

令C1=C2,则C1=C2=2*(CL-Cstray)
示例:
晶振参数:CL=18pF,假设Cstray=4 pF
计算:C1=C2=2*(18pF-4pF)=28pF
情况②:MCU内部已有电容(如STM32)
公式修正:C1=C2=2*(CL-Cstray-Cin)
示例:
晶振:CL=20pF,Cstray=4 pF,Cin=5pF
计算:C1=C2=2*(20pF-4pF-5pF)=22pF
4. 电容选型实战技巧
① 优先选择NP0/C0G材质的电容
优势:温度稳定性高(如NP0电容温漂±30ppm/℃ vs X7R ±15%容变)。
性价比型号:22pF/33pF的0603封装NP0电容(如Murata GRM1885C1H220JA01)。
② 容差控制
晶振频率要求高时(如WiFi模块、RFID),选容差≤5%的电容。
通用场景(如UART时钟)可用容差10%的电容。
③ 调试预留策略
设计预留:在PCB上为、并联测试点,可临时焊接可调电容(3~30pF)微调。
快捷公式:每增减1pF电容 → 频偏约0.01%~0.05%(实测时用频率计观测)。
| 晶振标称 | 杂散电容 | 推荐外部电容 | 实际选用标称值 |
| 12pF | 3pF | 2*(12-3)=18pF | 18pF或串联15pF+3pF |
| 18pF | 5pF(4层板高频) | 2*(18-5) = 26pF | 27pF |
| 20pF | 4pF(带内部电容5pF) | 2*(20-4-5) = 22pF | 22pF |
动手验证:
用示波器测量晶振引脚波形,正常应为正弦波(无畸变),若幅度不足或频率偏差 → 调整C1、C2值。
- 21世纪大学新型参考教材系列 集成电路B 荒井 159页
- 21世纪大学新型参考教材系列 集成电路A 荒井 159页
- 意法半导体发布Stellar P3E 汽车MCU内置AI加速
- 德州仪器 (TI) 扩展微控制器产品组合及软件生态系统,助力边缘 AI 在各种器件中落地
- 3D打印“狂飙”背后:兆易创新GD32 MCU多元方案驱动性能升级
- 基于恩智浦MCU的人形机器人灵巧手解决方案
- 国民技术发布N32H49x系列MCU:以澎湃性能与全链路可靠赋能工业控制、储能与光通信
- 英飞凌推出基于PSOC™ Control C3微控制器的ModusToolbox™电源套件
- 让AI为你优化代码,提升MCX MCU程序开发效率!攻略在此~
- 六大全新产品系列推出,MCX A微控制器家族迎来创新
- 六大全新产品系列推出,MCX A微控制器家族迎来创新
- 意法半导体全新STM32C5系列,重新定义入门级微控制器性能与价值,赋能万千智能设备
- 模组复用与整机重测在SRRC、CCC、CTA/NAL认证中的实践操作指南
- 有源晶振与无源晶振的六大区别详解
- 从控制到系统:TI利用边缘AI重塑嵌入式MCU的边界
- 英飞凌持续巩固全球微控制器市场领导地位
- 使用 Keil Studio for Visual Studio Code开发 STM32 设备
- 蓝牙信道探测技术原理与开发套件实践
- Microchip 推出生产就绪型全栈边缘 AI 解决方案,赋能MCU和MPU实现 智能实时决策
- LoRa、LoRaWAN、NB-IoT与4G DTU技术对比及工业无线方案选型分析




