优化差分放大器电路!高精度只需这几步
2026-03-13 来源:微信公众号:亚德诺半导体
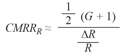
在各种应用领域,采用模拟技术时都需要使用差分放大器电路,如图 1 所示。例如测量技术,根据其应用的不同,可能需要极高的测量精度。为了达到这一精度,尽可能减少典型误差源(例如失调和增益误差,以及噪声、容差和漂移)至关重要。为此,需要使用高精度运算放大器。放大器电路的外部元件选择也同等重要,尤其是电阻,它们应该具有匹配的比值,而不能任意选择。

理想情况下,差分放大器电路中的电阻应仔细选择,其比值应相同 (R2/R1 = R4/R3)。这些比值有任何偏差都将导致不良的共模误差。差分放大器抑制这种共模误差的能力以共模抑制比(CMRR) 来表示。它表示输出电压如何随相同的输入电压(共模电压)而变化。在最佳情况下,输出电压不应该改变,因为它只取决于两个输入电压之间的差值(最大 CMRR);但是,实际使用中情况会有所不同。CMRR 是差分放大器电路的重要特性,通常以 dB 来表示。
对于图 1 所示的差分放大器电路,CMRR 取决于放大器本身以及外部连接的电阻。对于后者,取决于电阻的 CMRR 在本文下述部分以下标'R'表示,并利用下式计算:

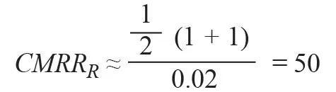
例如,在放大器电路中,所需增益 G = 1 且使用容差为 1%、匹配精度为 2% 的电阻产生的共模抑制比为

或者

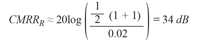
在 34 dB时,CMRRR 相对较低。在这种情况下,即使放大器具有非常好的 CMRR,也无法实现高精度,因为链路的精度总是取决于其精度最差的环节。因此,对于精密的测量电路而言,必须非常精确地选择电阻。
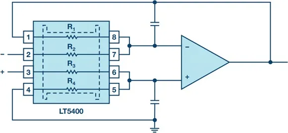
实际使用中传统电阻的阻值并不恒定。它们会受机械负载和温度的影响。根据需求的不同,可以使用具有不同容差的电阻或匹配电阻对(或网络),其大部分使用薄膜技术制造并具有精确的比值稳定性。利用这些匹配的电阻网络(如LT5400 四通道匹配电阻网络),可以大幅提高放大器电路的整体 CMRR。LT5400 电阻网络在整个温度范围内具有出色的匹配性,结合差分放大器电路使用则匹配性更佳,因而可确保 CMRR 比分立电阻提高两倍。

LT5400 提供 0.005% 的匹配精度,从而使 CMRRR 达到 86 dB。然而,放大器电路的总共模抑制比 (CMRRTotal) 由电阻 CMRR 和运算放大器共模抑制比 CMRROP 的组合构成。对于差分放大器,可利用公式 3 计算:

例如,LT1468提供的 CMRROP 典型值为 112 dB,采用 LT5400 的增益为 G = 1,其 CMRRTotal 的值为 85.6 dB。
或者,可以使用集成式差分放大器,如LTC6363。这种放大器在单芯片中内置放大器和最佳匹配电阻。它几乎消除了上述所有问题,同样也可提供最大精度,其 CMRR 值达 90 dB 以上。
结论
必须根据差分放大器电路的精度要求仔细选择外部电阻电路,以便实现系统的高性能。或者,可以使用集成式差分放大器,如在单芯片中集成了匹配电阻的 LTC6363。
- 是德科技推出AI推理仿真平台,用于验证与优化AI基础设施
- 结构优化与增长分化并行,2月动力电池产业呈现新变局
- 让AI为你优化代码,提升MCX MCU程序开发效率!攻略在此~
- 是德科技携手联发科技推进AI驱动的上行优化与无线接入网模型全生命周期管理
- 村田开始提供《优化下一代数据中心 AI 服务器的供电网络技术指南》
- 面向嵌入式部署的神经网络优化:模型压缩深度解析
- 远光更聪明了?特斯拉矩阵大灯迎来更新及优化!
- 释放Zephyr实时操作系统的深度优化潜能
- 补偿 N+4:曝汽车零部件供应巨头博世在华启动人员优化,燃油车项目成“重灾区”
- 光二极管运算放大器T形反馈电路-直接反馈电路-差分放大器电路
- 嵌入式的风向变了:2026纽伦堡嵌入式展透露这些趋势
- 高通确认不在GDC 2026发布新款骁龙G系列掌机处理器SoC
- 行业评论 从工具到平台:如何化解跨架构时代的工程开发和管理难题
- 阿里达摩院发布玄铁C950,打破全球RISC-V CPU性能纪录
- 面向嵌入式部署的神经网络优化:模型压缩深度解析
- Mujoco中添加Apriltag标签并实现相机识别教程
- 摩尔线程MTT S5000全面适配Qwen3.5三款新模型
- 英飞凌与宝马集团携手合作,基于Neue Klasse架构塑造软件定义汽车的未来
- 物理AI仿真新突破:摩尔线程与五一视界共建全栈国产化生态
- 爆火的OpenClaw! 告别云端,米尔RK3576开发板本地部署
- Altera 与 Arm 深化合作,共筑 AI 数据中心高效可编程新方案
- 莱迪思加入英伟达 Halos生态系统,通过Holoscan传感器桥接技术提升物理人工智能安全性
- 芯科科技闪耀2026嵌入式世界展 以Connected Intelligence赋能,构建边缘智能网联新生态
- 边缘计算主机盒选购指南:五大核心指标解析
- Arm AGI CPU 更多细节:台积电 3nm 制程、Neoverse V3 微架构
- Arm AGI CPU 重磅发布:构筑代理式 AI 云时代的芯片基石
- Arm 拓展其计算平台矩阵,首次跨足芯片产品
- 阿里达摩院发布RISC-V CPU玄铁C950,首次原生支持千亿参数大模型
- 边缘 AI 加速的 Arm® Cortex® ‑M0+ MCU 如何为电子产品注入更强智能




